Heavy metals in fruit and berry crops of garden plots in the conditions of a technogenically polluted geochemical province of the Bashkir Trans-Urals
- Authors: Buskunova G.G.1
-
Affiliations:
- Ufa University of Science and Technology
- Issue: Vol 14, No 1 (2025)
- Pages: 8-16
- Section: Biological Sciences
- URL: https://snv63.ru/2309-4370/article/view/686237
- DOI: https://doi.org/10.55355/snv2025141101
- ID: 686237
Cite item
Full Text
Abstract
The article presents the results of studies on the content and accumulation of heavy metals (Cu, Zn, Mn, Fe, Ni, Co, Cd, Pb) in soils and fruits of fruit and berry crops in household plots. Actual concentrations of heavy metals in soil and plant samples were determined by atomic absorption spectrometry. It was found that the amount of mobile ions of heavy metals in soils did not exceed the maximum permissible levels, with the exception of Zn and Mn, which are priority metals that accumulate to a greater extent in the soils of the study area. Data analysis showed that the content of Cu (6,5–9,8 times), Zn (6,8–23 times), Fe (4,2–11,7 times), Ni (48–72 times) in fruits grown in garden plots exceeded the maximum permissible concentrations in all crops we studied. The highest amount of Cd and Pb exceeding the MAC values were found in red currant and gooseberry fruits. Cobalt concentrations exceeded the norm in the edible part of all studied fruit and berry crops, with the exception of raspberry. It was found that by the intensity of absorption, heavy metals in the fruits of woody and shrubby vegetation decreased in the following series: Fe → Ni → Pb → Cu → Co → Cd → Zn → Mn. Calculations of biogeochemical activity showed that the fruits of Prunus cerasus had the highest metal-accumulating capacity, and the lowest – Ribes uva-crispa.
Full Text
Введение
Башкирское Зауралье (БЗ) протянулось узкой полосой вдоль восточной границы Республики Башкортостан и сливается за ее пределами с Западно-Сибирской равниной. На данной территории находятся Учалинский, Абзелиловский, Баймакский, Хайбуллинский административные районы Республики Башкортостан (РБ). Территория занимает 11,2% площади территории республики и составляет более 15 тыс. км² [1, с. 19]. В настоящее время в Башкирском Зауралье работают крупные горно-обогатительные комбинаты (ГОК) по добыче и переработке медно-цинковых колчеданных руд: Учалинский ГОК, Бурибайский ГОК, ООО «Башмедь» [1, с. 20]. В 2015 году начата промышленная отработка запасов Вишневского месторождения медно-колчеданных руд. Инвестором выступил компания ООО «Башзолото». Вишневское медно-колчеданное месторождение находится в Хайбуллинском районе в 70 км от г. Сибай Республики Башкортостан. Переработкой руды по контракту ведут предприятия – Уральская горно-металлургическая компания (УГМК) и Русская медная компания (РМК). Общие запасы полезных ископаемых, главный из которых медь, а основные – цинк и золото, побочный – серебро, компания оценивает в 12 млн т. Содержание металлов в руде: Cu – 1,2%; Zn – 2,12%; Au – 1,41 г/т; Ag – 23,93 г/т. Горнодобывающие предприятия, ведущие интенсивную разработку месторождений медно-цинковой руды, являются одним из основных источников ухудшения экологического состояния Башкирского Зауралья [2].
Теоретические исследования и практические аспекты влияния горнодобывающих предприятий на компоненты среды представлены во многих работах [3, с. 47; 4, с. 2426; 5; 6, с. 654]. Почвы в районах месторождений медно-колчеданных руд загрязнены тяжёлыми металлами, прежде всего Cu, Zn, Ni, Pb, Cd, Fe Co, содержание которых превышают предельно допустимые концентрации [2; 7, с. 11; 8, с. 375].
Загрязнению подвергаются не только почвы, но и растительность. Плодовые деревья, кустарники, овощные культуры индивидуальных садов, выращиваемые в зоне повышенного техногенного воздействия, выше ПДК способны накапливать практически все исследуемые нами металлы [9, с. 17]. Кроме того, среди живых организмов первичными аккумуляторами тяжёлых металлов являются фитоценозы, поэтому необходимо иметь полное представление о фоновых концентрациях ТМ в растениях [10, с. 166]. Качество плодов плодово-ягодных деревьев и кустарников зависят от количества поступивших в них тяжёлых металлов. Повышенные концентрации токсичных веществ существенно снижают продуктивность и питательную ценность плодов культурных растений [11, с. 3]. Растения, произрастающие на территории геохимической провинции Башкирского Зауралья, подвержены как техногенному, так и природному воздействию, следовательно, загрязнители могут поглощаться растениями из почвы, через корни, и поступать аэрально – через надземные органы [12, с. 148]. Исходя из вышеуказанного видно, что селитебные территории в окрестностях медно-колчеданных месторождений нуждаются в контроле уровня загрязнения почвенно-растительного покрова. В связи с этим изучение содержания тяжёлых металлов в почвах приусадебных участков и в плодах плодово-ягодных культур является актуальной.
Объектами исследований явились почвы, плоды и листья следующих плодово-ягодных культур садовых экосистем: смородина красная (Ribes rubrum), крыжовник золотистый (Ribes uva-crispa), малина обыкновенная (Rubus idaeus), вишня обыкновенная (Prunus cerasus). В ходе исследований сортовую идентификацию не проводили.
Целью нашей работы явилось изучение особенностей накопления тяжёлых металлов в почвах, плодах и листьях плодово-ягодных культур в садово-огородных участках с. Алибаевское Хайбуллинского района Республики Башкортостан.
Задачи исследований:
- изучить содержание валовых и подвижных форм тяжёлых металлов (Cu, Zn, Mn, Fe, Ni, Co, Cd, Pb) в почвах;
- вычислить степень биодоступности (подвижности) тяжёлых металлов и оценить уровень загрязненности почвенный среды по суммарному показателю загрязнения;
- определить содержание тяжёлых металлов в плодах и листьях плодово-ягодных культур;
- проанализировать степень аккумуляции тяжёлых металлов в плодах и вычислить биогеохимическую активность исследуемых видов.
Материалы и методы исследований
Исследования проводились в июле 2022 г. Мониторингом были охвачены частные сады с. Алибаевское Хайбуллинского района Республики Башкортостан. Село Алибаевское (координаты: 52,238560° с.ш., 58,291823° в.д.) расположено вдоль р. Таналык, в 49 км к северу от районного центра Акъяр и в 77 км к юго-западу от железнодорожной станции Сибай. В селе около 70 частных домов. Для обследования почвенного покрова и плодов плодово-ягодных культур выбрано 15 садово-огородных участков. Исследуемые сады расположены в радиусе 6 км от Вишневского месторождения медно-колчеданных руд.
При отборе растительных проб руководствовались ГОСТ 12430-2019 [13, с. 24–26]. Растительные образцы (плоды и листья) отбирались во время полного созревания плодов. Сбор плодов проводили методом случайного отбора. С каждого участка отбирали по 30 шт. свежих ягод смородины красной, крыжовника золотистого, малины обыкновенной, вишни обыкновенной. Плоды одного вида, собранные с 15 участков, смешивали и готовили объединенные пробы. Количество плодов в объединенной пробе составило 450 шт. Аналогичная работа была проделана и с листьями. Всего было подготовлено 8 объединенных проб. Свежие плоды и листья высушивались до воздушно-сухого состояния, затем измельчались для последующего химического анализа.
Отбор проб почв проводился согласно ГОСТ Р 58595-2019 [14, с. 5]. При отборе почвенных образцов использовался бур. Почвенные образцы отбирались на тех участках, где произрастали исследуемые виды. В 15 участках в отдельные мешки отбирали пробы почв под смородиной красной, крыжовником золотистым, малиной обыкновенной, вишней обыкновенной. Точечные пробы тщательно перемешивали и получили 4 усредненные пробы, которые в дальнейшем подвергались химическому анализу.
Исследуемые почвы представлены черноземами обыкновенными. На садовых и огородных участках окультуренный слой почвы характеризуется оптимальными показателями физических свойств. Агротехнические приемы выращивания кустарников содержит комплекс мероприятий по уходу и содержанию растений: удаление сорняков, рыхление почвы, полив, внесение удобрений, в сельской местности в виде навоза.
Анализ почвенных и растительных образцов (плоды и листья) на содержание Cu, Zn, Mn, Fe, Ni, Co, Cd, Pb проводили в центральной лаборатории Сибайского филиала АО «Учалинский горно-обогатительный комбинат» г. Сибай РБ атомно-абсорбционным методом на аппарате «CONTR AA» с пламенным атомизатором «ацетилен-воздух». В качестве экстрагента применяли 5М HNO₃. Подвижные формы ТМ в почвах извлекались ацетатно-аммонийным буферным раствором (ААБ) с pH 4,8.
Согласно гигиеническим нормативам ГН 2.17.2041-06 [15, с. 10] и ГН 2.1.7.2511-09 [16, с. 6–7], главным показателем для оценки степени загрязнения почв химическими веществами являются предельно допустимые концентрации (ПДК) и ориентировочно допустимые концентрации (ОДК).
Оценку уровня загрязнения почв проводили по коэффициенту техногенной концентрации (Кс) и суммарному показателю загрязнения (Zc). Коэффициент техногенной концентрации (Кс), представляет собой отношение фактической концентрации конкретного элемента в загрязненной почве к его фоновой [17, с. 51; 18, с. 604]. В список приоритетных металлов, загрязняющих почву, включают те, металлы у которых Кс превышает 1.
При наличии нескольких веществ, загрязняющих почву, степень загрязнения среды определяется по суммарному показателю загрязнения (Zc). В зависимости от величины Zc степень загрязнения почвы тяжёлыми металлами может быть допустимой (Zc < 16), умеренно опасной (16–32), высоко опасной (32–128) или чрезвычайно опасной (более 128) [19, с. 38].
Растения, получая ТМ из почвенной и воздушной среды, характеризуют степень загрязнения среды, и для выявления дисбаланса химических элементов в растениях важно применение методов биогеохимического мониторинга.
Интенсивность аккумуляции ТМ в растениях можно вычислить, определив индекс накопления (Iн). Шкала интенсивности аккумуляции ТМ в растительном материале такова: если величина индекса накопления меньше 0,1, то ТМ относится к элементам слабого захвата, если величина индекса накопления от 0,1 до 1, то загрязнитель относится к элементам среднего захвата, при величине индекса от 1 до 10 металл относится к элементам сильного накопления, если величина индекса накопления более 10, то ТМ относится к элементам энергичного накопления [20, с. 93]. Для определения общей способности вида к накоплению элементов вычислялась биогеохимическая активность вида (БХА) как сумма показателей индекса накопления, полученных для каждого элемента отдельно [21, с. 26].
Статистическая обработка данных проводилась с использованием программ Microsoft Excel 2007 и Statistica 6.0.
Корреляционные связи между ионами валовых и подвижных форм металлов в почвах, а также корреляционная зависимость между подвижными формами ТМ в почвах и плодах растений определялись методом корреляционного анализа [22, с. 40].
Для определения изменчивости концентраций тяжёлых металлов в почвах использовался коэффициент вариации (Cᵥ, %). Значения Cᵥ до 10% указывают на низкую; от 11 до 20% – на среднюю; более 21% – на высокую изменчивость показателей [23, с. 7].
Результаты исследований и их обсуждение
В ходе исследований почвах определялись как валовые, так и подвижные формы Cu, Fe, Ni, Mn, Cd, Co, Pb. Показатели валового содержания элементов как природного, так и техногенного происхождения характеризуют их общий запас в почвах, но не отображают степень доступности элементов для растений. Для характеристики состояния почвенного питания растений микроэлементами были использованы только их подвижные формы [24, с. 9].
Загрязненность почвенного покрова валовыми формами тяжёлых металлов оценивали по кратности превышения ориентировочно допустимых концентраций (ОДК): Cu – 132 мг/кг, Zn – 220 мг/кг, Ni – 80 мг/кг, Cd – 2 мг/кг, Pb – 130 мг/кг [16, с. 6–7], предельно допустимых концентраций (ПДК): Mn – 1500 мг/кг [15, с. 10], кларка: Co – 18 мг/кг и Fe – 46500 мг/кг [25, с. 9]. Сопоставление ионов валовых форм ТМ в почвах с нормативами показали, что валовые формы Cu, Fe, Ni, Mn, Cd, Co, Pb не превышали установленные значения, за исключением Zn, для которого характерно превышение в 1,4 раза.
Загрязненность почвенного покрова подвижными формами тяжёлых металлов оценивали по кратности превышения предельно допустимых концентрации (ПДК): Cu – 3 мг/кг, Zn – 23 мг/кг, Ni – 4 мг/кг, Mn – 140 мг/кг, Co – 5 мг/кг, Pb – 6 мг/кг [15, с. 10], фона: Cd – 0,3 мг/кг и Fe – 3800 мг/кг [26, с. 1421]. Концентрации подвижных форм Co, Fe, Ni, Сu, Pb, Cd в почвах оставались в пределах нормы, но отмечено превышение ПДК Zn (в 3,5–4 раза) и Mn (в 4,5–5,3 раза).
Корреляционный анализ показал, что концентрации подвижных соединений ТМ в почвах зависят от содержания его валовых форм. Это доказывает сильная достоверная (p ≥ 0,05) положительная корреляционная связь между подвижным и валовым содержанием Fe (r = 0,99), Ni (r = 0,90), Cd (r = 0,90), Pb (r = 0,88), Co (r = 0,73) в почвах. Установлены слабые положительные корреляционные связи между валовыми и подвижными формами Mn в почвах (r = 0,11). Обнаружена обратная зависимость между концентрациями подвижных форм меди (r = −0,55) и цинка (r = −0,33) и концентрациями их валовых форм в почвах.
Коэффициенты вариации подвижных форм Ni (83,1%), Cd (62,7%), Pb (66,6%) в почвах оказались высокими, средняя изменчивость характерна для Fe (16,3%) и Co (11,8%), низкая – для Cu (6,9%), Zn (5,9%), Mn (8,0%). В литературных источниках указано, что при увлажнении почвы повышается подвижность металлов [27, с. 29]. Уход за плодово-ягодными культурами (полив, внесение навоза) возможно, способствовало увеличению вариации техногенных и понизило изменчивость биофильных элементов.
Коэффициенты техногенной концентрации подвижных форм ТМ в почвах садов уменьшались в ряду: Mn (4,7) → Zn → (3,7) → Cd (0,8) → Cu (0,5) → Pb (0,3) → Ni (0,15) → Co (0,05) → Fe (0,0007). В перечне приоритетных металлов, в большей степени аккумулирующихся в почвах, оказались Zn и Mn (рис. 1).
Рисунок 1 – Коэффициенты техногенной концентрации тяжёлых металлов в почвах
Мониторинг загрязненности почвенного покрова садовых участков выявил, что показатель интегрального суммарного показателя загрязнения (Zс) варьировал в переделах 2,37–3,79, что характеризует допустимый уровень загрязненности почв.
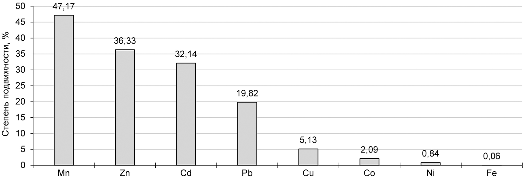
В почвах садовых участков тяжёлые металлы по их степени биодоступности уменьшались в ряду: Mn (47,17%) → Zn (36,33%) → Cd (32,14%) → Pb (19,82%) → Cu (5,13%) → Co (2,09%) → Ni (0,84%) → Fe (0,06%). Максимальная подвижность в почвах характерна для Mn (47,17%), наименьшая – для Fe (0,06%) (рис. 2).
Рисунок 2 – Степень биодоступности тяжёлых металлов в почвах
Уровень загрязнения плодов и листьев садовых культур тяжёлыми металлами определяли путем сопоставления фактических концентрации с показателями предельно-допустимых концентраций (ПДК) установленный для фруктов. ПДК для Cu и Zn в фруктах составила 1 мг/кг, Fe – 50 мг/кг, Ni – 0,5 мг/кг [28, с. 150], Pb – 0,4 мг/кг, а Cd – 0,03 мг/кг [29, с. 43]. ПДК Mn для трав не установлена. Нормальным содержанием Mn в растениях считается 100 мг/кг. Концентрация Mn выше 300 мг/кг считается критической, более 500 мг/кг – фитотоксичной [30, с. 54].
Сопоставление фактических концентраций ТМ с ПДК установленный для фруктов показало, что содержание Cu (6,5–9,8 раза), Zn (6,8–23 раза), Fe (4,2–11,7 раза), Ni (48–72 раза) превышало ПДК во всех растительных образцах. Самые высокие концентрации Cu, Zn, Fe и Ni были зафиксированы в плодах малины обыкновенной, минимальные – в плодах смородины красной.
Концентрации кобальта превысило норму в съедобной части всех изучаемых плодово-ягодных культур, за исключением малины обыкновенной. Наибольшее количество Cd и Pb превышающие значения ПДК отмечены в плодах смородины красной и крыжовника обыкновенной. Если в плодах содержание Mn не превышало норму [30, с. 54], то в листьях малины обыкновенной и смородины красной зафиксированы их превышения в 1,2 и 1,9 раза соответственно (рис. 3).
Рисунок 3 – Содержание тяжёлых металлов (A – Cu, Б – Zn, В – Fe, Г – Ni, Д – Mn, Е – Cd, Ж – Co, З – Pb) в плодах плодово-ягодных культур.
Примечание: концентрации Co в плодах малины обыкновенной, Pb в плодах малины обыкновенной и вишни обыкновенной составляет 0,02 мг/кг, что на графике не отображается
Результаты, полученные в ходе нашего исследования, выглядят вполне созвучными с ранее опубликованными данными. Содержание Cu (1,17–13,45 мг/кг), Zn (3,13–43,54 мг/кг) и Fe (22,3–338,2 мг/кг) в плодах плодово-ягодных культур, выращенных в коллективных садах г. Сибай, варьировали в широких пределах [9, с. 10–12]. Концентрации Cu в плодах Rubus idaeus составил 8,02 мг/кг, в плодах Ribes rubrum – 3,34 мг/кг. Содержание Zn в плодах Rubus idaeus составил 27,7 мг/кг, в плодах Ribes rubrum – 26,1 мг/кг. Выше нормы Fe накапливалось в плодах Rubus idaeus (262 мг/кг) и Ribes rubrum (246,6 мг/кг) [9, с. 15].
Данные о содержании Ni в плодах плодово-ягодных культур в Башкирском Зауралье в работах других исследователей нами не зафиксированы. Имеются данные о содержании никеля в травянистых растениях, произрастающих в условиях техногенного загрязнения Башкирского Зауралья. Например, фактические концентрации Ni в Thymus serpyllum L. колеблются от 108,0 мг/кг до 189,0 мг/кг [21, с. 27], Sisymbrium loeselii L. – от 122 мг/кг до 157 мг/кг [31, с. 273], Berteroa incana L. – от 26 мг/кг до 59 мг/кг [32, с. 147], Lappula squarrosa L. – от 99 мг/кг до 147 мг/кг [33, с. 299], Еchium vulgare L. – от 70 мг/кг до 140 мг/кг [34, с. 185]. Сопоставление наших данных с результатами иных исследований показало, что содержание Ni в травянистых растениях выше, чем в плодах плодово-ягодных культур (24–36 мг/кг).
Исследования показали, что суммарная концентрация ТМ в съедобной части изученных культур варьировало от 295,9 до 706,9 мг/кг. Наименьшим суммарным содержанием элементов выделяются плоды смородины красной (Ribes rubrum), наибольшим – плоды малины обыкновенной (Rubus idaeus). Наибольший вклад в суммарное содержание тяжёлых металлов в плодах растений внес железо, концентрация которого составила 210–585 мг/кг (рис. 4). Суммарная концентрация ТМ в образцах плодов уменьшались в ряду Rubus idaeus → Prunus cerasus → Ribes uva-crispa → Ribes rubrum.
Рисунок 4 – Суммарная концентрация ТМ в исследуемых культурах, мг/кг
При диагностике экологического состояния растений были рассчитаны соотношения Fe/Mn, Pb/Mn и Cu/Zn.
Индикатором нормального развития растений в процессе онтогенеза является отношение Fe/Mn. Установлено, что отношение Fe/Mn в листьях плодовых растений как один из показателей оптимального состояния процессов фотосинтеза составляет 1,6 и 2,4 – в фоновых; 5,8 и 45,4 – в техногенных условиях. В работах других исследователей [35, с. 218] отмечено, что на фоновых территориях отношение Fe/Mn в плодах яблок и груши составило 5,6, а на техногенных участках – 9,3 и 10,4 соответственно. С ростом техногенной нагрузки на окружающую среду соотношение железа и марганца увеличилось [35, с. 218].
В листьях соотношение Fe/Mn для Ribes rubrum составило 3,9, Ribes uva-crispa – 7,1, Rubus idaeus – 2,4, Prunus cerasus – 4,4. В плодах Ribes rubrum оно составило 5,8, Ribes uva-crispa – 10,7, Rubus idaeus – 11,0, Prunus cerasus – 19,4. В листьях соотношение железа и марганца колеблется от 2,4 до 7,1, в плодах – от 5,8 до 19,4, что превышает верхнюю границу оптимального значения в листьях в 1,0–2,9 раза, в плодах – в 2,4–8,0 раза. Таким образом, плоды и листья растений характеризуются различными значениями Fe/Mn в зависимости от видовой принадлежности.
Соотношение между техногенным и биологическим элементами показывает, насколько сильно техногенные вещества влияют на растительный мир. Например, оптимальное соотношение содержания свинца и марганца (Pb/Mn) для растительности в не загрязненных районах составляет 0,006 [36, с. 468], это означает, что доля техногенных элементов в химическом составе растений, не участвующих в биохимических и физиологических процессах, является незначительной. Анализ данных показал, что плоды Rubus idaeus и Prunus cerasus практически не испытывают техногенного пресса, так как отношения Pb/Mn составляют 0,0004–0,0008, что ниже оптимального значения. Однако в плодах Ribes rubrum (0,058) и Ribes uva-crispa (0,085) рассматриваемый показатель превышает уровень для незагрязненной растительности в 9,6 и 14,2 раза.
Нами не обнаружено упоминания других исследователей относительно оптимального соотношения Cu/Zn в плодах плодово-ягодных культур. Поэтому в работе для сравнения использовали оптимальную величину соотношения Cu/Zn для незагрязненной растительности суши равной величине 0,27 [36, с. 469]. В плодах плодово-ягодных культур соотношение меди и цинка составило от 0,426 до 0,955, в листьях – от 0,28 до 0,66, что объясняется высоким содержанием меди в растениях. Величина Cu/Zn в плодах Ribes rubrum составляет 0,530, Ribes uva-crispa – 0,446, Rubus idaeus – 0,426, Prunus cerasus – 0,955. Минимальные значения (0,426) в 1,57 раза, максимальные – 3,54 раза превышают оптимальные (0,27). Соотношение Cu/Zn в листьях Ribes rubrum составляет 0,67, Ribes uva-crispa – 0,60, Rubus idaeus – 0,28, Prunus cerasus – 0,48. Соотношение Cu/Zn в листьях оказалось на уровне оптимальной для Rubus idaeus.
Известно, что аккумуляция ТМ в растительной продукции в первую очередь зависит от видовой принадлежности, избирательности поглощения ХЭ и их биологической доступности, состава и типа почв [37, с. 89]. По интенсивности поглощения в плодах древесно-кустарниковой растительности ТМ располагаются в следующий последовательный ряд: Fe → Ni → Pb → Cu → Co → Cd → Zn → Mn. Сравнение показателей индекса накопления ТМ в плодах плодово-ягодных культур со шкалой показало, что Fе и Ni относятся к группе элементов энергичного накопления (Iн > 100), Сu, Pb, Со относятся к группе элементов сильного накопления (Iн = 1–10), Zn, Сd, Mn – к группе элементов среднего уровня накопления (Iн = 1–0,1).
В ходе корреляционного анализа нами не установлены достоверные положительные корреляционные связи между содержанием ТМ в почвах и плодах растений. Однако менее биодоступные элементы – Ni (степень подвижности 0,84%) и Fe (степень подвижности 0,06%) энергично накапливались в плодах растений. Этот факт, возможно, указывает на аэротехногенное загрязнение плодов плодово-ягодных культур.
Распределение микроэлементов в надземных и подземных частях растениях зависит от индивидуальных физиологических особенностей видов [38, с. 759]. Интенсивность биопоглощения элементов, выраженная через показатель БХА, в плодах плодово-ягодных культур варьировала от 157,4 до 405,5 (рис. 5). Исследованные нами плоды существенно различались по способности накапливать тяжёлые металлы.
Рисунок 5 – Биогеохимическая активность плодово-ягодных культур
Нормативов, определяющих оптимальные показатели БХА в литературных источниках нами не обнаружены. Сравнительно среди изученных культур повышенные показатели биогеохимической активности обнаружены в плодах косточковых культур (Prunus cerasus), наименьшие – в плодах ягодных культур (Ribes uva-crispa). Основной вклад в значения показателя БХА вносили коэффициенты по Ni и Fe.
Таким образом, высокой металлоаккумулирующей способностью обладает Prunus cerasus, низкой – Ribes uva-crispa, что подтверждает видоспецифичность и избирательное накопление микроэлементов в различных видах плодово-ягодной продукции.
Исследования биогеохимической активности травянистых растений на территории Башкирского Зауралья опубликованы во многих работах. Например, представлены биохимические состояния растений в урбоэкосистемах для Lappula squarrosa L. (БХА 64,28–72,05) [33, с. 300], Sisymbrium loeselii L. (БХА 38,47–60,57) [31, с. 274], Berteroa incana L. (БХА 21,38–43,16) [32, с. 148], Еchium vulgare L. (БХА 32,08–66,99) [34, с. 186], Salvia stepposa L. (БХА 32,59–35,24) [39, с. 91]. Сопоставление наших результатов с литературными данными показало, что биогеохимическая активность плодов плодово-ягодных культур (БХА 157,4–405,5) выше, чем у травянистых растений городских территорий. У растений из разных жизненных форм и экологических групп уровень БХА существенно различается. Следовательно, суммарная интенсивность поглощения ТМ растениями зависит не только от экологических условий произрастания, но и от жизненной формы вида.
Заключение
Биогеохимические исследования показали, что в почвах более подвижным и в большей степени аккумулирующимися металлом оказался Mn, но их концентрации в плодах плодово-ягодных культур не превышали ПДК. Концентрации менее подвижных элементов, таких как Ni и Fe, превышали норму в несколько раз, и энергично накапливались в плодах растений. Повышенные концентрации рассматриваемых ТМ визуально не оказывали угнетающего воздействия на исследуемые виды, что позволяет говорить об их толерантности к техногенному загрязнению.
Сопоставление фактических концентрации ТМ с нормативами, показало, что содержание Cu, Zn, Fe, Ni в плодах плодово-ягодных культур превышали ПДК, установленный для фруктов. Повышенные концентрации эссенциальных Cu, Zn, Fe и микроэлементов в плодах возможно учитывать в профилактике развития конкретного микроэлементоза, т.к. плоды плодово-ягодных культур в питании человека традиционно рассматриваются как природные источники биологически активных веществ. Известно, что железо необходимо для кроветворения [40, с. 86], медь и цинк входят в состав большого количества ферментов, медь участвует в синтезе коллагена, цинк участвует в синтезе и функционировании половых гормонов [41, с. 71; 42, с. 87–88]. Однако концентрации никеля превышали ПДК 48–72 раза, соответственно Ni оказался экологически опасным компонентом плодов изучаемых культур. Таким образом, плоды исследованных нами плодово-ягодных культур в условиях геохимической провинции Башкирского Зауралья загрязнены тяжёлыми металлами. Учитывая актуальность проблемы безопасности продуктов питания, необходимы дополнительные исследования химического состава плодов древесно-кустарниковой растительности в условиях техногенного загрязнения Башкирского Зауралья.
About the authors
Gulsina Gilmanovna Buskunova
Ufa University of Science and Technology
Author for correspondence.
Email: gulsyna_busk@gmail.com
candidate of biological sciences, associate professor of Natural Sciences Department; Sibay Institute
Russian Federation, Sibay, Republic of BashkortostanReferences
- Кутлиахметов А.Н., Дьяконов В.В. Техногенно-минеральные образования Башкирского Зауралья и их экологическая роль // Вестник Российского университета дружбы народов. Серия: Инженерные исследования. 2016. № 3. С. 19–24.
- Семенова И.Н., Рафикова Ю.С., Суюндуков Я.Т., Рафиков С.Ш., Биктимерова Г.Я. Эколого-гигиеническая оценка загрязнения почв территорий отработанных рудников тяжёлыми металлами (на примере Башкирского Зауралья) // Современные проблемы науки и образования. 2017. № 1. https://science-education.ru/ru/article/view?id=26021.
- Абакумов Е.В., Суюндуков Я.Т., Биктимерова Г.Я., Пигарева Т.А. Экологическая и санитарная характеристика карьеров по добыче медного колчедана // Гигиена и санитария. 2015. Т. 94, № 6. С. 46–50.
- Кужина Г.Ш., Ягафарова Г.А., Янтурин С.И. Исследование содержания тяжёлых металлов в почвах и растительности в окрестностях недействующих и отработанных карьеров Башкирского Зауралья // Научно-методический электронный журнал «Концепт». 2014. Т. 20. С. 2426–2430.
- Суюндуков Я.Т., Янтурин С.И., Сингизова Г.Ш. Накопление и миграция тяжёлых металлов в основных компонентах антропогенных экосистем Башкирского Зауралья в зоне влияния объектов горнорудного комплекса. Уфа: Гилем, 2013. 155 с.
- Янтурин С.И., Сингизова Г.Ш., Абсалямов Т.А. Влияние горнорудных предприятий Башкирского Зауралья на загрязнение почв тяжёлыми металлами // Вестник Оренбургского государственного университета. 2009. № 6 (100). С. 654–655.
- Асылбаев И.Г., Хабиров И.К. Концентрация химических элементов в почвах и породах Республики Башкортостан // Вестник Ульяновской государственной сельскохозяйственной академии. 2013. № 2 (22). С. 11–16.
- Семенова И.Н., Ильбулова Г.Р., Абдуллина Л.А. Оценка полиметаллического загрязнения почвенного покрова поселка Бурибай Хайбуллинского района Республики Башкортостан // Фундаментальные исследования. 2011. № 12–2. С. 371–375.
- Сингизова Г.Ш. Тяжёлые металлы в системе почва – растениеводческая продукция в условиях техногенного воздействия (на примере г. Сибай): автореф. дис. … канд. биол. наук: 03.00.05, 03.00.16. Оренбург, 2009. 19 с.
- Прохорова Н.В. Тяжёлые металлы в дикорастущих орехоплодных и плодово-ягодных растениях Самарской области // Пищевые ресурсы дикой природы и экологическая безопасность населения: мат-лы междунар. конф. Киров, 2004. С. 166–167.
- Мотылева С.М. Особенности содержания тяжёлых металлов (Рb, Ni, Zn, Fe, Сu) в плодах, ягодах и атмосферных осадках в связи с оценкой сортов для использования в селекции: автореф. дис. … канд. с/х. наук: 06.01.05. СПб., 2000. 23 с.
- Лисецкий Ф.Н., Свиридова А.В., Кухарук Н.С., Голеусов П.В., Чепелев О.А. Аккумуляция тяжёлых металлов в растениеводческой продукции зоны техногенеза // Вестник Оренбургского государственного университета. 2008. № 10 (92). С. 142–149.
- ГОСТ 12430-2019. Карантин растений. Методы и нормы отбора образцов подкарантинной продукции при карантинном фитосанитарном досмотре и лабораторных исследованиях. М.: Стандартинформ, 2019. 45 с.
- ГОСТ Р 58595-2019. Почвы. Отбор проб. М.: Стандартинформ, 2019. 8 с.
- ГН 2.1.7.2041-06. Предельно допустимые концентрации (ПДК) химических веществ в почве: гигиенические нормативы. М.: Федеральный центр гигиены и эпидемиологии Роспотребнадзора, 2006. 15 с.
- ГН 2.1.7.2511-09. Ориентировочно-допустимые концентрации (ОДК) химических веществ в почве: гигиенические нормативы. М.: Федеральный центр гигиены и эпидемиологии Роспотребнадзора, 2009. 10 с.
- Павлова Л.М., Радомская В.И., Юсупов Д.В. Высокотоксичные элементы в почвенном покрове на территории г. Благовещенска // Экология и промышленность России. 2015. Т. 19, № 5. С. 50–55.
- Радомская В.И., Юсупов Д.В., Павлова Л.М., Сергеева А.Г., Воропаева Е.Н. Использование многомерного статистического анализа для исследования эколого-геохимических свойств почв г. Благовещенска // Ученые записки Казанского университета. Серия: Естественные науки. 2017. Т. 159, № 4. С. 602–617.
- Сает Ю.Е., Ревич Б.А., Янин Е.П., Смирнова Р.С., Башаркевич И.Л., Онищенко Т.Л., Павлова Л.Н., Трефилова Н.Я., Ачкасов А.И., Саркисян С.Ш. Геохимия окружающей среды. М.: Недра, 1990. 335 с.
- Сибгатуллина М.Ш., Александрова А.Б., Иванов Д.В., Валиев В.С. Оценка биогеохимического состояния травянистых растений и почв Волжско-Камского заповедника // Ученые записки Казанского университета. Серия: Естественные науки. 2014. Т. 156, № 2. С. 87–102.
- Бускунова Г.Г. Экологическая оценка чистоты лекарственного растительного сырья Thymus serpyllum L. в условиях Зауралья Республики Башкортостан // Самарский научный вестник. 2023. Т. 12, № 2. С. 24–29. doi: 10.55355/snv2023122103.
- Плохинский Н.А. Биометрия: учеб. пособие. 2-е изд. М.: Изд-во Московского ун-та, 1970. 368 с.
- Зайцев Г.Н. Методика биометрических расчетов. Математическая статистика в экспериментальной ботанике. М.: Наука, 1973. 256 с.
- Войтюк Е.А. Аккумуляция тяжёлых металлов в почве и растениях в условиях городской среды (на примере г. Чита): автореф. дис. … канд. биол. наук: 03.02.08. Улан-Удэ, 2011. 22 с.
- Касимов Н.С., Власов Д.В. Кларки химических элементов как эталоны сравнения в экогеохимии // Вестник Московского университета. Серия 5: География. 2015. № 2. С. 7–17.
- Семенова И.Н., Кужина Г.Ш., Ягафарова Г.А., Аминева А.А. Пространственная изменчивость тяжёлых металлов в донных отложениях левобережья северной части Ириклинского водохранилища // Фундаментальные исследования. 2014. № 6–7. С. 1418–1422.
- Водяницкий Ю.Н., Смагин А.В., Яковлев А.С. Факторы изменчивости содержания подвижных форм тяжёлых металлов в почве // Экологический вестник Северного Кавказа. 2016. Т. 12, № 1. С. 27–38.
- Русанов А.М., Савин Е.З., Нигматянова С.Э., Нигматянов М.М., Грудинин Д.А., Степанова М.А. Содержание тяжёлых металлов в плодах яблони в городских условиях // Вестник Оренбургского государственного университета. 2011. № 1 (120). С. 148–151.
- СанПиН 2.3.2.1078-01. Гигиенические требования безопасности и пищевой ценности пищевых продуктов. М.: Минздрав России, Федеральный центр госсанэпиднадзора Минздрава России, 2002. 145 с.
- Прохорова Н.В., Матвеев Н.М., Павловский В.А. Аккумуляция тяжёлых металлов дикорастущими и культурными растениями в лесостепном и степном Поволжье. Самара: Самарский университет, 1998. 131 с.
- Бускунова Г.Г., Шарабасова C.A. Биогеохимические показатели Sisymbrium loeselii L. в городской среде // Экология родного края: проблемы и пути их решения: мат-лы XVIII всерос. науч.-практ. конф. с междунар. участием (г. Киров, 24–25 апреля 2023 г.). Кн. 1. Киров: Вятский государственный университет, 2023. С. 271–275.
- Бускунова Г.Г., Байзигитова А.И., Рахматуллина Ю.Р. Анализ элементного состава травы Berteroa incana (L.) DC. в урбанизированных территориях // Наука сегодня: технические и естественные науки: сб. мат-лов XXXVI междунар. оч.-заоч. науч.-практ. конф. (9 октября 2023 г.). Т. 1. М.: НИЦ «Империя», 2023. С. 145–148.
- Бускунова Г.Г., Киреева О.В., Карасова Л.И. Фиторемедиационные способности растений Lappula squarrosa в урбоэкосистемах // Экология родного края: проблемы и пути их решения: мат-лы XVIII всерос. науч.-практ. конф. с междунар. участием (г. Киров, 24–25 апреля 2023 г.). Кн. 1. Киров: Вятский государственный университет, 2023. С. 296–301.
- Бускунова Г.Г., Утягулов И.И., Утягулов Д.И. Содержание тяжёлых металлов в растениях Еchium vulgare L. в условиях урбанизированных территорий // Исследование различных направлений современной науки: сб. мат-лов XXXVII междунар. оч.-заоч. науч.-практ. конф. (18 октября 2023 г.). Т. 3. М.: НИЦ «Империя», 2023. С. 184–187.
- Ревазян Р.Г., Аветисян М.Г., Араратян Л.А., Сафразбекян Э.А. Особенности изменения некоторых физиологических показателей растений в техногенных ландшафтах // Биологическая рекультивация и мониторинг нарушенных земель: мат-лы IX всерос. науч. конф. с междунар. участием. Екатеринбург: Издательство Уральского университета, 2012. С. 215–222.
- Тимофеев И.В., Кошелева Н.Е. Оценка эколого-геохимического состояния древесных растений в горнопромышленных ландшафтах (г. Закаменск, Республика Бурятия) // Проблемы ботаники Южной Сибири и Монголии. 2016. № 15. С. 463–472.
- Селюкова С.В. Тяжёлые металлы в агроценозах // Достижения науки и техники АПК. 2020. Т. 34, № 8. С. 85–93.
- Минкина Т.М., Манджиева С.С., Чаплыгин В.А., Мотузова Г.В., Бурачевская М.В., Бауэр Т.В., Сушкова С.Н., Невидомская Д.Г. Влияние аэротехногенных выбросов на содержание тяжёлых металлов в травянистых растениях Нижнего Дона // Почвоведение. 2017. № 6. С. 759–768. doi: 10.7868/s0032180x17060077.
- Бускунова Г.Г., Каипкулова Д.А. Биогеохимические показатели растения Salvia stepposa L. в Башкирском Зауралье // Неделя науки – 2022: мат-лы всерос. науч.-практ. конф. (г. Сибай, 27–28 апреля 2022 г.) / отв. ред. Г.М. Насыров. Сибай: Сибайский информационный центр – филиал ГУП РБ Издательский дом «Республика Башкортостан», 2022. С. 89–92.
- Бахтина Г.Г., Ленько О.А., Суханова С.Е. Микроэлементозы человека и пути коррекции их дефицита // Патология кровообращения и кардиохирургия. 2007. № 4. С. 82–89.
- Камилова Н.М., Садыхов Н.М., Алиев Ч.С. Диагностическое и прогностическое значение изучения влияния цинка, меди и селена на состояние здоровья человека // Биомедицина. 2016. № 4. С. 71–77.
- Колесниченко Л.С. Биологическая роль микроэлементов – Fe, Zn, Cu // Сибирский медицинский журнал (Иркутск). 2004. Т. 49, № 8. С. 86–89.
Supplementary files







