Mechanical stability of Fagus sylvatica L. in the conditions of the south of the East European Plain: the theory of loss of stability
- Authors: Kornienko V.O.1, Yaitsky A.S.2
-
Affiliations:
- Donetsk State University
- Samara State University of Social Sciences and Education
- Issue: Vol 13, No 2 (2024)
- Pages: 42-51
- Section: Biological Sciences
- URL: https://snv63.ru/2309-4370/article/view/642039
- DOI: https://doi.org/10.55355/snv2024132104
- ID: 642039
Cite item
Full Text
Abstract
The paper considers the issues of ecological and biological features of the growth of the European beech in the territory of the steppe zone of Donbass in the conditions of the south of the East European plain. Taking into account the changing climate over the past 10 years, the issues of resistance of introduced species to temperature changes, the effects of snow and ice storms occurring within the seasons are becoming relevant. It was found that the greatest damage, from an ecological point of view, the plant experiences with sudden changes in weather conditions within the season (cyclic processes of freezing/thawing) and uneven heating of wood tissues during thawing, which locally reduces their physico-mechanical properties. As a result, the trunk or skeletal branches lose the property of relative uniformity. The uneven rate of change in mechanical properties leads to a loss of rigidity and increased stress, the upper part of the trunk becomes an additional glaciated mass, while the load on the thawed area approaches critical. The described effects are explained by the state of water in the vessels of woody plants. Thus, in the freezing/thawing cycle (seasonal phenomena), the phase state of free water and, as a result, its physical properties change. When passing through 0°C, ice melts in portions, which over time leads to an uneven decrease in the modulus of elasticity of the wood. As a result, the physical and mechanical properties of wood differ in different parts of the volume and change rapidly during the transitions of water from the solid phase to the liquid phase. The environmental consequences of this phenomenon are irreversible deformations of plant organs, a change in the architectonics of the crown and the angle of inclination of the trunk, in extreme cases, a fragment of the trunk and skeletal branches.
Full Text
Введение
Дерево с точки зрения биомеханики – это механическая конструкция, которая создана природой и является многолетней самоподдерживающейся системой [1]. Понимание адаптации этих живых систем к условиям окружающей среды, устойчивости или неустойчивости к действию экологических факторов (природно-климатических и антропогенных) является серьезной проблемой функциональной экологии современности [2; 3].
Разработано много физических моделей, в которых ученые пытаются раскрыть механизмы онтогенетических изменений механической устойчивости древесных растений [4], распределения биомассы для органов растений [5], достижения максимальной высоты деревьев и влияния биофизических факторов, которые ее ограничивают [6; 7], а также эволюционных, филогенетических и экологических вариаций древесины [8–13]. В таких моделях и подходах к проведению вычислений механическая конструкция дерева определяется механическими свойствами древесины (плотность тканей, их влажность, значения модулей упругости и разрыва древесины) и морфологическими характеристиками (диаметр и высота ствола и/или скелетных ветвей), которые позволяют ей контролировать деформации и противостоять статическим (собственная биомасса, налипание снега и оледенение побегов и ствола, наличие лиан и других видов дополнительной массы, зоофактор и др.) и динамическим (ветровые потоки, снежные и ледяные бури, град) нагрузкам.
На сегодняшний день существует ряд вопросов в области биофизики и факториальной экологии, связанных с определением механизмов и ответных реакций живых систем (на примере древесных растений) на изменение погодно-климатической обстановки в регионах и, как следствие, их механической устойчивости.
Цель работы: исследование механической устойчивости Fagus sylvatica L. в условиях юга Восточно-Европейской равнины.
Материалы и методы
Объект исследования: Fagus sylvatica L., произрастающий в нескольких небольших куртинах на территории дендрария Донецкого ботанического сада (рис. 1).
Рисунок 1 – Объекты исследования на территории дендрария Донецкого ботанического сада
Примечание: 1–4 – куртины бука европейского.
Почвы исследуемых участков представлены обыкновенным средневыщелоченным мощным черноземом [14]. Корневая система неглубокая и без ясно выраженного стержневого корня, подстилка представлена типичными степными травами (Festuca valesiaca Schleich. ex Gaudin) и предотвращает её излишний прогрев.
Дендрологические исследования
Оценку жизнеспособности контрольных и экспериментальных насаждений бука европейского проводили по В.А. Алексееву с некоторыми дополнениями [15].
Результаты визуального осмотра исследуемых древесных растений фиксировались с помощью фотоаппарата Nikon Coolpix S2600, обработку и анализ видеоматериалов и изображений проводили в программе AxioVision Rel. 4.8. В результате выполнения работы для изучения архитектоники кроны, углов отхождения ствола и скелетных ветвей от нормали было обработано свыше 100 электронных фотографий. В программе AxioVision Rel. 4.8 углы измерялись с точностью до 1°.
Биофизические исследования
Сравнительную оценку параметров механической устойчивости (RRB, EI и mcr) проводили согласно общепринятым методикам [13; 16; 17].
Относительное сопротивление изгибу (RRB):
,
где r – радиус основания ствола, E – продольный модуль упругости, ρ – плотность древесины.
EI – сопротивление древесного ствола растения или его скелетных ветвей изгибу, при действии динамических или статических нагрузок. Параметр определяется произведением модуля упругости и второго момента сечения ствола:
,
где (r – радиус ствола).
Предельно допустимая нагрузка (Pcr) и критическая масса (mcr):
,
.
где I – момент инерции сечения, E – продольный модуль упругости, l – длина ствола, g – ускорение силы тяжести.
Погодные условия при оценке механической устойчивости к циклическим температурным эффектам
До 15 декабря 2023 г. в Донецке фиксировали положительную температуру (потепление), с 15 декабря на город резко обрушился ледяной дождь. 16 декабря произошло резкое потепление и неравномерное оттаивание оледеневших живых систем (деревьев). В этих условиях проводили наблюдения и описание потери механической устойчивости стволов бука европейского.
Статистическая обработка данных
При анализе экспериментальных данных и построении графиков выводили уравнения регрессии и оценивали величину достоверности аппроксимации (R2) в Excel 2010.
Результаты и обсуждения
Город Донецк представляет собой жесткий «экологический полигон», на котором уже десятки лет проходят испытания растений [13; 18–21]. Многие виды деревьев так и не прошли интродукцию и безвозвратно выпали в период 2014–2024 г., в условиях новых вызовов и изменяющейся обстановки. Бук европейский – вид, который широко представлен на территории Европы и частично Западной Украины, Крыма, однако в степной зоне юга Восточно-Европейской равнины он уже 45–50 лет только проходит интродукционные испытания и массово не представлен. В работе были изучены 13 генеративных деревьев Fagus sylvatica L. – 90% выборки имели многостволие (чаще 2 ствола). Деревья находятся в хорошем состоянии (2 балла). На некоторых растениях имеются повреждения ствола: морозобоины (в основном заросшие: см. рис. 2) и некоторые повреждения ствола с элементами внутренней гнили.
Рисунок 2 – Пример заросших морозобоин на стволах бука европейского, произрастающих в условиях степной зоны Донбасса (фотография В.О. Корниенко, 2024 г.)
Возраст исследованных деревьев составляет 45–50 лет, высота 10 ± 0,5 м. Диаметр на высоте груди составляет в среднем 23,8 ± 3,6 см.
Таким образом, для дальнейшей оценки механической устойчивости выборка однородная и может адекватно отразить действие природно-климатических факторов без влияния дополнительных условий, связанных с изменением эколого-биологических свойств растений при произрастании на территориях с различным уровнем антропогенной нагрузки.
Механическая устойчивость бука европейского
Для начала мы опишем общую механическую устойчивость бука европейского по трем параметрам – RRB, mcr, EI; определим критические условия, при которых возникают необратимые деформации и даже потеря устойчивости, а затем рассмотрим выявленные механизмы, которые могут объяснить механическое поведение дерева в условиях изменяющихся природно-климатических факторов.
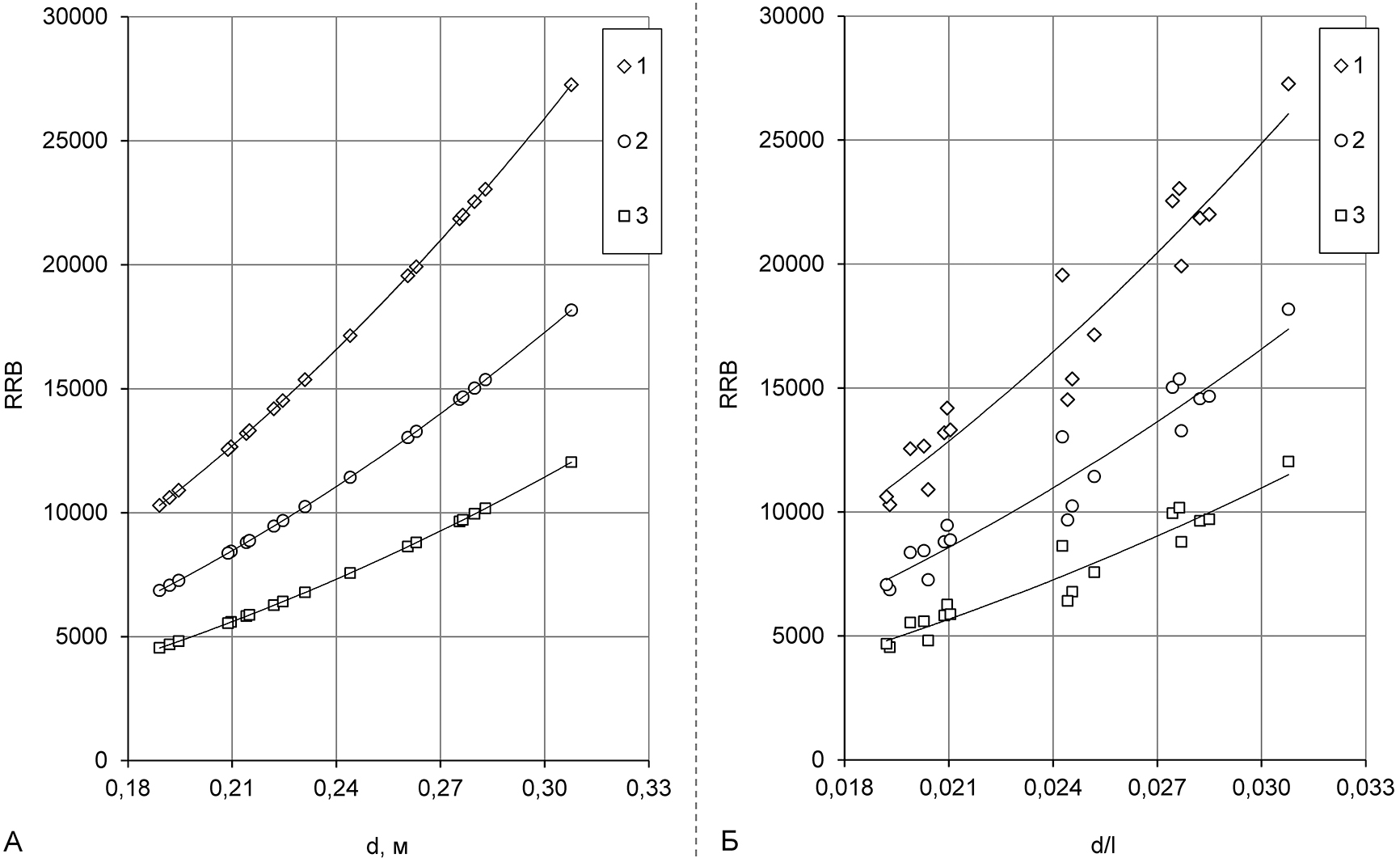
Первый параметр, по которому оценивают механическую устойчивость вида, – относительное сопротивление на изгиб (RRB). Параметр прямо зависит от модуля упругости древесины бука европейского. С увеличением диаметра ствола RRB растет в квадратичной зависимости (рис. 3: А), поэтому перепады температур сказываются в первую очередь на устойчивости деревьев с минимальным отношением диаметра ствола к его длине (рис. 3: Б) и наименьшим запасом прочности ствола.
Рисунок 3 – Зависимость относительного сопротивления изгибу RRB от диаметра ствола (А) и отношения диаметра к длине ствола (Б)
Примечания: 1 – для замороженных образцов, 2 – для образцов при Т = +12°C, 3 – для оттаявших образцов.
RRB теоретически показывает изменение механической устойчивости дерева к динамическим и статическим нагрузкам, но не дает точного значения критической массы или размеров растения, при которых происходит необратимое искривление или облом ствола.
Для решения этой задачи мы рассчитали массу и сопротивление изгибу, которые точно определяют критические нагрузки на ствол бука европейского (рис. 4, 5). Важно отметить, что при оттаивании показатель критической массы, достигая которую растение теряет устойчивость и подвергается необратимым деформациям, снижается на 60%.
Рисунок 4 – Зависимость критической массы (mcr) от диаметра ствола
Примечания: 1 – для замороженных образцов, 2 – для образцов при Т = +12°C, 3 – для оттаявших образцов.
Рисунок 5 – Зависимость сопротивления изгибу EI от отношения диаметра к длине ствола
Примечания: 1 – для замороженных образцов, 2 – для образцов при Т = +12°C, 3 – для оттаявших образцов.
При таких значениях (~600 кг для стволов с наименьшим диаметром) критическая масса достигается в реальных условиях, и это приводит к необратимым деформациям скелетных ветвей и даже обрушению ствола.
Сопротивление древесины бука европейского на изгиб достаточно высоко. При действии ветровых нагрузок на изгиб ствола, с наветренной стороны волóкна ствола подвергаются растяжению, а с противоположной – сжатию. При резком прогревании ствола во время сезонной оттепели, которая наблюдается всё чаще в Донбассе и других регионах, снижение показателя в ГН × м2 отражает снижение его сопротивления нагрузкам на единицу площади. Это предположение может иметь критически важное экологическое значение, если ствол прогревается неравномерно во времени вследствие изменяющейся погодно-климатической обстановки.
Теория потери механической устойчивости
Вследствие выпадения ледяного дождя, который всё чаще наблюдается на территории Донбасса, на стволе и скелетных ветвях образуется ледяная корка. Механические свойства льда этой корки в основном зависят от температуры окружающей среды, а процесс разрушения льда на поверхности ствола может быть индикатором его состояния (рис. 6: А, Б).
Рисунок 6 – Бук европейский: поток талой воды по стволу в области естественного нагрева от солнечных лучей (из материалов полевых исследований В.О. Корниенко, 2023 г.)
Примечания: А – зона перехода из оттаявшей области в ещё замерзшую, при рассмотрении видеоматериалов на границе чётко определялся поток талой воды; Б – формирование трещин при изгибах ствола под действием динамического фактора.
Также процесс разрушения ледяной корки может рассматриваться в качестве механизма передачи кинетической энергии дереву, например, от динамических (ветровых) нагрузок. Эти нагрузки могут быть резкими и значительными по амплитуде, тем самым иметь высокую скорость передачи кинетической энергии на поверхность ствола и ледяной корки (рис. 7: Б) или же плавно изменяться со временем (рис. 7: А). Относительное сопротивление дерева подобной нагрузке будет зависеть от температуры окружающей среды, которая влияет на частоту колебаний ствола и значения модуля упругости древесных тканей (рис. 3). Ледяная корка на вертикальном стволе в зоне сжатия при раскачиваниях имеет локальные нагружения и разрушается в основном горизонтальными трещинами нормального отрыва (рис. 7: А), «расщепляющими» корку льда, а также трещинами сдвига, приводящими к множественным сколам (рис. 7: Б; рис. 8: А, Б).
Рисунок 7 – Бук европейский с горизонтальными трещинами нормального отрыва (А), также трещинами сдвига, приводящими к множественным сколам (Б) (из фотоматериалов полевых исследований В.О. Корниенко, 2023 г.)
Рисунок 8 – Области напряжений и множественные трещины льда в месте изгиба при дальнейшем прогревании ствола солнечными лучами (из фотоматериалов полевых исследований В.О. Корниенко, 2023 г.)
Примечания: А – множественные сколы ледяной корки на стволах бука европейского при действии нагрузки с различных сторон и приводящие к сдвигам; Б – крупный план трещин ледяной корки.
Сравнивая количество изломов на теневой и солнечной стороне, определили, что при быстром нагреве с солнечной стороны их появлялось больше в десятки раз, т.е. при прогревании механические свойства тканей изменялись, модуль упругости снижался и часть ствола с солнечной стороны стала более податлива к изгибам при действии верхней части как дополнительной массы.
Описанные эффекты объясняются состоянием воды в сосудах древесных растений. Так, в цикле замораживания/оттаивания (сезонные явления) происходит изменение фазового состояния свободной воды и, как следствие, её физических свойств. При прохождении через 0°C происходит порционное таяние льда, которое со временем приводит к неравномерному во времени снижению физико-механических свойств древесины (модуля упругости (MOE) и модуля разрыва (MOR) древесных тканей). Такое снижение носит характер «ступеней» – участков на кривой изменения MOE (ГН/м2) от температуры (°С), на которых модуль упругости не изменяется, а количество изломов кривой MOE (T) варьирует от 3 до 6. Температуры, при которых изменяется угол наклона кривой MOE (T), в пределах 2–4°С. В результате этого модуль упругости отличается в разных частях объёма и быстро изменяется при переходах воды из твёрдой фазы в жидкую. При локальных нагревах неодинаковая скорость изменения механических свойств приводит к потере жесткости и повышенному напряжению, нагрузка приближается к критической (рис. 4), в результате происходит деформация ствола и/или побегов под действием собственной массы (рис. 9: А–Г), осадков или порывов ветра.
Рисунок 9 – Изменение архитектоники кроны в области неоднородного прогрева солнечными лучами скелетных ветвей (фото В.О. Корниенко, 2023 г.)
Примечания: А – выделены критические углы наклона ствола и скелетных ветвей; на рисунках Б–Г круговыми областями выделена оледеневшая и нерастаявшая часть на скелетных ветвях, которая, действуя как собственная масса, приводит к деформации; стрелками указана область прогрева, которая имеет другие физико-механические свойства по сравнению с оледеневшей частью ветви.
Экологические последствия данного явления – 1) трансформация архитектоники кроны (рис. 9) вследствие деформации (чаще необратимой) скелетных ветвей первого порядка, что приводит к изменению их угла наклона и площади проекции кроны, нарушению сомкнутости древостоев и ее светопроницаемости и, как следствие, изменению температуры и влажности под пологом вплоть до изменения травянистого состава подстилки; 2) деформация ствола или даже его облом, что приводит к нарушению целостности дендроценозов, появлению «окон» и изменению ветрового режима территории (рис. 10: А, Б).
Рисунок 10 – Облом ствола бука европейского в области неоднородного прогрева солнечными лучами при нарушении однородности структуры тканей (фото В.О. Корниенко, 2023 г.)
Примечания: А – стрелкой указана область прогрева ствола, которая имеет другие физико-механические свойства по сравнению с оледеневшей её частью; Б – место облома ствола, при этом верхняя часть остается оледеневшей после падения и четко фиксируется как дополнительная масса, о чем упоминалось выше по тексту.
Заключение
Наибольший ущерб, с экологической точки зрения, растение испытывает при резких изменениях погоды внутри сезона (циклические процессы заморозки/оттаивания) и неравномерном прогреве древесных тканей при оттаивании, что снижает локально их физико-механические свойства. В результате этого ствол или скелетные ветви теряют свойство относительной однородности. Неравномерная скорость изменения механических свойств приводит к потере жесткости и повышенному напряжению, верхняя часть ствола становится дополнительной оледеневшей массой, при этом нагрузка на оттаявшую область приближается к критической. Экологические последствия данного явления – необратимые деформации органов растения, изменение архитектоники кроны и угла наклона ствола, в крайних случаях облом ствола и скелетных ветвей.
About the authors
Vladimir Olegovich Kornienko
Donetsk State University
Author for correspondence.
Email: kornienkovo@mail.ru
Candidate of Biological Sciences, Head of the Research Department, Associate Professor of the Biophysics Department
Russian Federation, DonetskAndrey Stepanovich Yaitsky
Samara State University of Social Sciences and Education
Email: yaitsky@sgspu.ru
Senior Lecturer of the Biology, Ecology and Methods of Teaching Department
Russian Federation, SamaraReferences
- Rowe N., Speck T. Plant growth forms: an ecological and evolutionary perspective // New Phytologist. 2005. Vol. 166, iss. 1. P. 61–72. doi: 10.1111/j.1469-8137.2004.01309.x.
- Fournier M., Dlouhá J., Jaouen G., Almeras T. Integrative biomechanics for tree ecology: beyond wood density and strength // Journal of Experimental Botany. 2013. Vol. 64, iss. 15. P. 4793–4815. doi: 10.1093/jxb/ert279.
- Корниенко В.О. Влияние экологических факторов на физико-механические свойства, морфометрию и аллометрию древесных растений урбоэкосистем (на примере города Донецка): дис. … канд. биол. наук: 1.5.15. Ростов-на-Дону, 2022. 166 с.
- Корниенко В.О. Биомеханика ствола Robinia pseudoacacia L. в онтогенезе // Вестник Воронежского государственного университета. Серия: Химия. Биология. Фармация. 2017. № 4. С. 48–50.
- Tateno M. Increase in lodging safety factor on thigmomorphogenetically dwarfed shoots of mulberry tree // Physiologia Plantarum. 1991. Vol. 81, iss. 2. P. 239–243. doi: 10.1111/j.1399-3054.1991.tb02136.x.
- Niklas K.J. Maximum plant height and the biophysical factors that limit it // Tree Physiology. 2007. Vol. 27, iss. 3. P. 433–440. doi: 10.1093/treephys/27.3.433.
- Banin L., Feldpausch T.R., Phillips O.L., Baker T.R., Lloyd J., Affum-Baffoe K., Arets E.J.M.M., Berry N.J., Bradford M., Brienen R.J.W., Davies S., Drescher M., Higuchi N., Hilbert D.W., Hladik A., Iida Y., Abu Salim K., Kassim A.R., King D.A., Lopez-Gonzalez G., Metcalfe D., Nilus R., Peh K.S.-H., Reitsma J.M., Sonké B., Taedoumg H., Tan S., White L., Wöll H., Lewis S.L. What controls tropical forest architecture? Testing environmental, structural and floristic drivers // Global Ecology and Biogeography. 2012. Vol. 21, iss. 12. P. 1179–1190. doi: 10.1111/j.1466-8238.2012.00778.x.
- Watt M.S., Moore J.R., Facon J.P., Downes G.M., Clinton P.W., Coker G.W.R., Davis M.R., Simcock R., Parfitt R.L., Dando J., Mason E., Bown H. Modelling environmental variation in Young’s modulus for Pinus radiata and implications for determination of critical buckling height // Annals of Botany. 2006. Vol. 98, iss. 4. P. 765–775. doi: 10.1093/aob/mcl161.
- Lachenbruch B., Moore J.R., Evans R. Radial variation in wood structure and function in woody plants, and hypotheses for its occurrence // Size- age-related changes in tree structure function. 2011. Vol. 4. P. 121–164. doi: 10.1007/978-94-007-1242-3_5.
- Zhang S.-B., Slik J.W.F., Zhang J.-L., Cao K.-F. Spatial patterns of wood traits in China are controlled by phylogeny and the environment // Global Ecology and Biogeography. 2011. Vol. 20, iss. 2. P. 241–250. doi: 10.1111/j.1466-8238.2010.00582.x.
- Корниенко В.О., Калаев В.Н., Елизаров А.О. Влияние температуры на биомеханические свойства древесных растений в условиях закрытого и открытого грунта // Сибирский лесной журнал. 2018. № 6. С. 91–102. doi: 10.15372/sjfs20180608.
- Корниенко В.О., Калаев В.Н. Механическая устойчивость можжевельника виргинского в условиях степной зоны Восточно-Европейской равнины // Лесоведение. 2024. № 1. С. 70–78. doi: 10.31857/s0024114824010084.
- Корниенко В.О., Калаев В.Н. Жизнеспособность дуба черешчатого в условиях города Донецка // Сибирский лесной журнал. 2024. № 4. С. 95–106. doi: 10.15372/sjfs20240409.
- Остапко В.М., Шпилевая Н.В. Формирование натурной модели плакорной дубравы в Донецком ботаническом саду НАН Украины // Промышленная ботаника. 2008. № 8. С. 133–140.
- Алексеев В.А. Диагностика жизненного состояния деревьев и древостоев // Лесоведение. 1989. № 4. С. 51–57.
- Niklas K.J., Spatz H.-C. Worldwide correlations of mechanical properties and green wood density // American Journal of Botany. 2010. Vol. 97, iss. 10. P. 1587–1594. doi: 10.3732/ajb.1000150.
- Niklas K.J. Tree biomechanics with special reference to tropical trees // Tropical Tree Physiology. 2016. Vol. 6. P. 413–435. doi: 10.1007/978-3-319-27422-5_19.
- Зиньковская И.И., Сафонов А.И., Юшин Н.С., Неспирный В.Н., Гермонова Е.А. Ингредиентный фитомониторинг в Донбассе для идентификации новых геохимических аномалий // Экологическая химия. 2024. Т. 33, № 1. С. 19–32.
- Гермонова Е.А., Сафонов А.И. Детализация результатов фитомониторинга полемостресса в Донбассе с использованием ГИС-технологий // Проблемы экологии и охраны природы техногенного региона. 2024. № 1. С. 8–14.
- Сафонов А.И., Алемасова А.С., Зиньковская И.И., Вергель К.Н., Юшин Н.С., Кравцова А.В., Чалигава О. Морфогенетические аномалии бриобионтов в условиях геохимически контрастной среды Донбасса // Геохимия. 2023. Т. 68, № 10. С. 1032–1044. doi: 10.31857/s0016752523100114.
- Корниенко В.О., Калаев В.Н. Влияние природно-климатических факторов на механическую устойчивость и аварийность деревьев березы повислой в г. Донецке // Лесоведение. 2022. № 3. С. 321–334.
Supplementary files












