Lateralization of German Shepherd dogs depending on the direction of use
- Authors: Blokhin I.G.1, Lotov D.M.1
-
Affiliations:
- Russian Timiryazev State Agrarian University
- Issue: Vol 13, No 2 (2024)
- Pages: 24-29
- Section: Biological Sciences
- URL: https://snv63.ru/2309-4370/article/view/642034
- DOI: https://doi.org/10.55355/snv2024132101
- ID: 642034
Cite item
Full Text
Abstract
This article discusses the motor lateralization of German Shepherd dogs. The identification of such relationships can contribute to more effective identification of predispositions of dogs to various types of work, or more effective training of working dogs. The aim of the work is to identify the relationship between the direction of use of German Shepherd dogs and their lateralized behavior. Using the first step method, data on the motor bias of 55 dogs of different sexes and ages were collected, and the lateralization index was calculated. The dogs were divided into three groups: from the center of the cynological service of the Ministry of Internal Affairs of the Vologda Region, from the kennel of black German shepherds «Gladiator», and participants of the monopred exhibition of German shepherds «Moskovia» in 2024. It was found that most dogs are characterized by right-footedness, 49% demonstrate it, however, the leading limb of dogs differs depending on the sex of the animals: 64% of males turned out to be right–handed, 44% of females were left-handed, while the proportion of ambidextrous was higher among females (15%) than among males (9%). In addition, for dogs working in the Ministry of Internal Affairs, there was a tendency to the predominance of left-handers (56% of individuals), and among dogs from the Gladiator kennel and participants in the Moskovia exhibition, right-handers prevailed (56 and 57%, respectively).
Full Text
Введение
В настоящее время много внимания уделяется изучению различных факторов, влияющих на индивидуальные особенности животных. Особенно это важно для видов, которые часто используются человеком. Одной из активно изучаемых тем является латерализованное поведение, то есть предпочтение животного использовать одно из полушарий мозга в обработке информации и взаимодействии со средой.
В начале 1970-х годов полагали, что специализация функций в полушариях мозга является уникальной чертой человека, а также это часть комплекса качеств, включающего ведущую руку, язык и высокие когнитивные способности. Однако сегодня известно, что латерализация мозга широко распространена у многих видов позвоночных [1, p. 5–10]. На данный момент асимметрия мозга и исходящее из нее латерализованное поведение изучены у множества видов позвоночных животных из различных таксономических групп.
Сейчас выделяют два типа латерализации. Первый тип – латерализация сенсорного восприятия, где имеется асимметрия органов чувств в их функциях и, как следствие, различная чувствительность к стимулам с правой и левой стороны тела. Второй тип – латерализация моторных функций, подразумевает неравное использование правой и левой сторон тела и связан с асимметричным функционированием нервной системы [2, p. 944–950]. Эта латерализация проявляется через асимметрию поворотов тела и использование парных конечностей [3, p. 112–152; 4, p. 557; 5, с. 21–24; 6, p. 196–201; 7, p. 562–564]. Значительные различия в проявлении латерализации моторных функций наблюдаются не только между различными видами, но и у одних и тех же особей, в зависимости от конкретных действий [8, p. 65–67].
Судя по различным исследованиям, у собак на индивидуальном уровне могут быть значительные различия в латерализованном поведении, при этом различия в предпочтении лап у самок и самцов остается спорным [9, p. 320–322]. Предполагается, что это предпочтение сохраняется на протяжении жизни и не зависит от породы. Есть исследования, свидетельствующие о том, что животные с разным латерализованным поведением могут по-разному реагировать на внешние стимулы и обладать различной устойчивостью к стрессовым факторам [10, p. 219–221; 11, p. 73–77; 12, p. 128–132].
В последнее время есть множество работ, описывающих латерализацию как признак сформированности нервной системы, помимо этого, предпочтение определенной конечности может использоваться в качестве одного из признаков, на которые опираются при подборе собак для тех или иных видов работ. Продемонстрировано, что собаки-правши демонстрируют наилучшие результаты и чаще заканчивают обучение на поводырей, чем амбидекстры [13, p. 148–150]. Похожее исследование было проведено на рабочем поголовье бельгийских овчарок (малинуа). На основе тестов по рабочим качествам собаки были разделены на оперативных и полуоперативных. Большинство собак тяготели к использованию правой лапы вне зависимости от группы. Однако полуоперативные собаки показали значительно меньшую моторную предвзятость, чем оперативные собаки, то есть продемонстрировали большее количество амбидекстров [14]. В связи с этим целью работы является выявление связи между направлением использования собак породы немецкая овчарка и их латерализованным поведением.
Нами было проведено исследование в трех группах немецких овчарок:
1) из центра кинологической службы МВД по Вологодской области (служебные собаки, работающие в полиции, отбор которых ведется по рабочим качествам);
2) из питомника черных немецких овчарок «Гладиатор» (ведется племенная работа по экстерьеру и рабочим качествам);
3) участники монопородной выставки немецких овчарок «Московия» (кубок Москвы 2024) (отбор идет в основном по экстерьеру).
Материал и методы
Для определения моторной предвзятости был использован метод первого шага. Собака из положения сидя, так как это наиболее статичное и спокойное положение, начинала движение с фиксацией ведущей конечности. Для каждой собаки было выполнено 6 повторов, если собака делала прыжок с места, то этот раз не засчитывали.
Для определения латеральности была использована формула индекса латерализации:
,
где Li – индекс латерализации, SR – количество шагов правой лапой, SL – количество шагов левой лапой.
Отрицательные значения Li указывают на смещение моторной предвзятости влево, а положительные значения – вправо. Если значение индекса равно нулю, то животное считается амбидекстром, если приближается к 100 – правшой, если к −100 – левшой. Для подтверждения полученных данных был рассчитан z-индекс латерализации по формуле:
,
где R – количество шагов правой лапой, N – общее число шагов.
Если значение z равно 1,96 или −1,96, то собака считается «абсолютной» правшой или левшой соответственно. Если значение меньше, но отклоняется от нуля, собака считается амбидекстром, но со смещением к право- или леволапости [15].
Результаты и обсуждение
Всего было протестировано 55 собак, которые были поделены на группы в зависимости от пола и возрастной группы (табл. 1).
Таблица 1 – Половозрастные группы изучаемых собак
Возрастная группы | Самцы | Самки |
I (до 1,5 лет) | 12 | 11 |
II (от 1,5 до 3 лет) | 2 | 9 |
III (более 3 лет) | 6 | 12 |
Всего: | 20 | 32 |
В первую группу мы отнесли 16 собак из ЦКС МВД ВО, 8 самок и 8 самцов, с которыми работают кинологи из МВД. В питомнике «Гладиатор» были записаны данные о 16 собаках – 10 самках и 6 самцах немецких овчарок рабочего разведения. Все собаки находятся в личном владении, в отличие от рабочих собак ЦКС МВД. На выставке мы смогли собрать данные по 23 немецким овчаркам, 16 самкам и 7 самцам.
В целом у немецких овчарок отмечена тенденция к преобладанию правшей (рис. 1), однако их доля варьирует в зависимости от пола: у самок доля правшей и левшей примерно равное (41% и 44% соответственно), большинство самцов являются правшами (62%), левшей меньше почти в 2 раза – 29%. Доля амбидекстров у самок и самцов наименьшая и составляет 15% и 9% соответственно (рис. 2).
Рисунок 1 – Моторная латерализация немецких овчарок
Рисунок 2 – Моторная предвзятость немецких овчарок в зависимости от пола
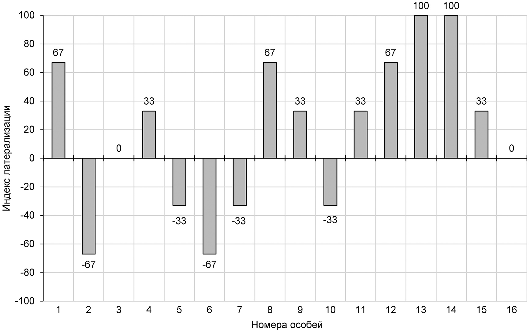
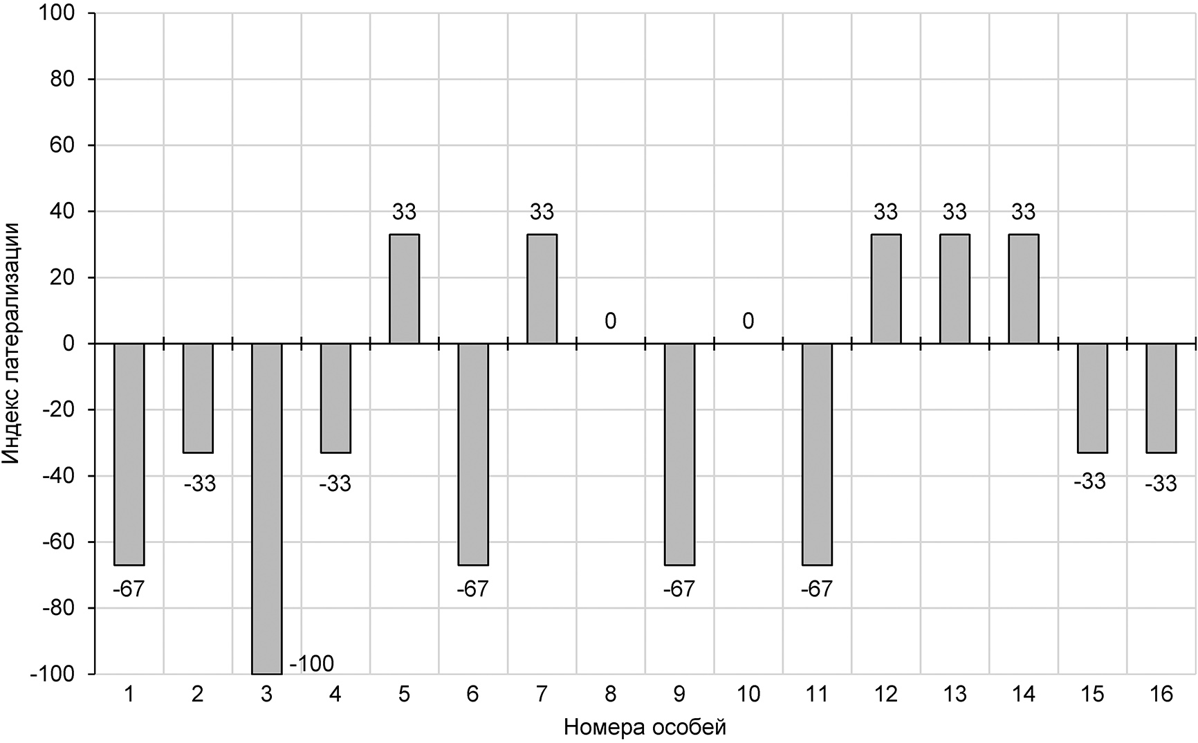
Оценивая данные, представленные на диаграммах (рис. 3–5), можно утверждать, что у собак из ЦКС МВД ВО большая часть собак обладает индексами латерализации в диапазоне от 0 до −100, что свидетельствует о предпочтении их использовать левую конечность. Немецкие овчарки рабочего разведения из питомника «Гладиатор» имеют индексы от −67 до 100, количество особей с положительным индексом значительно больше, чем с отрицательным. Собаки с выставки обладают индексами в диапазоне от −67 до 100, точно такими же, как и особи из питомника «Гладиатор». Но есть существенная разница, ведь количество овчарок с выставки, имеющих индекс 67 и более, в несколько раз больше, чем собак с такими же индексами из питомника. То есть немецкие овчарки с выставки имеют большую склонность к использованию правой конечности, чем особи из питомника. Z-критерий достигал значений 1,96 у собак с индексом латерализации 100. То есть абсолютных правшей в первой группе не оказалось, во второй и третьей группе их было 2 и 5 соответственно. Абсолютно леволапая собака была выявлена только в ЦКС МВД ВО.
Рисунок 3 – Индекс моторной предвзятости немецких овчарок в ЦКС МВД ВО
Рисунок 4 – Индекс моторной предвзятости в питомнике черных немецких овчарок рабочего разведения «Гладиатор»
Рисунок 5 – Индекс моторной предвзятости с монопородной выставки немецких овчарок «Московия» (кубок Москвы 2024)
Заключение
В данной выборке собак породы немецкая овчарка преимущественно были правши 49%, левшей было 38%, амбидекстров 13%. Отсюда следует, что 87% собак имеют моторную предвзятость. По литературным данным, собаки, обладающие выраженной моторной предвзятостью, отличаются меньшей шумофобией и быстрее привыкают к новым условиям содержания или работы, чем собаки без нее, то есть амбидекстры [16, p. 178–182].
По данным различных исследований, самцы чаще склоняются к использованию левой лапы, а самки – правой [17]. В нашем исследовании большинство самцов (62%) продемонстрировали праволапость, а среди самок количество левшей (44%) и правшей (41%) примерно равное.
Согласно литературным источникам, левое полушарие, отвечающее за правую часть тела, помогает сконцентрироваться на важных стимулах и следовать усвоенным процедурам, а правое полушарие специализируется на замечании деталей, реагирует на новые события и кризисные ситуации. Левому полушарию свойственна нисходящая обработка (управление инструкцией). Оно реализует выбранный паттерн или задачу, четко соответствуя цели, без отвлечения на дополнительные стимулы. Правое полушарие, напротив, использует обработку данных снизу вверх (управление стимулом) и специализируется на анализе окружающей обстановки [18, p. 66]. В наших группах собак по направлению их работы выявилась следующая зависимость: немецкие овчарки из ЦКС МВД ВО предпочитают левую конечность, что может характеризовать их как собак, обладающих более реактивной и адаптивной нервной системой, что позволяет им успешно работать в различных условиях. Большинство особей из питомника «Гладиатор» и с монопородной выставки предпочитают правую конечность, то есть они менее реактивны, но, вероятно, более послушны и исполнительны. Следует отметить, что все овчарки для допуска к разведению должны успешно сдать испытания по одной из множества дисциплин, таких как ОКД + ЗКС (общий курс дрессировки и защитно-караульная служба) [19, с. 5–6], то есть первичная дрессировка присутствует у всех изученных собак, но дальнейшая их работа сильно варьирует. При этом вопрос о том, что является первичнее – врожденная латерализация определяет предрасположенность собак к какой-либо работе или соответствующая дрессировка и обучение формируют определенную моторную предвзятость собак, – остается открытым. Для подтверждения одной из двух гипотез следует отследить наличие или отсутствие изменения латерализации собак с рождения до наступления физиологической зрелости.
About the authors
Ivan Gennadyevich Blokhin
Russian Timiryazev State Agrarian University
Author for correspondence.
Email: blokhin.ivan96@gmail.com
Assistant of the Zoology Department
Russian Federation, MoscowDmitry Michislavovich Lotov
Russian Timiryazev State Agrarian University
Email: summer.560@yandex.ru
Master Student of the Animal Breeding, Genetics and Biotechnology Department
Russian Federation, MoscowReferences
- Denenberg V.H. Hemispheric laterality in animals and the effects of early experience // Behavioral and Brain Sciences. 1981. Vol. 4, iss. 1. P. 1–21. doi: 10.1017/s0140525x00007330.
- Rogers L.J. Hand and paw preferences in relation to the lateralized brain // Philosophical Transactions of the Royal Society B: Biological Sciences. 2009. Vol. 364, iss. 1519. P. 943–954. doi: 10.1098/rstb.2008.0225.
- Rogers L.J. Lateralization in vertebrates: its early evolution, general pattern and development // Advances in the Study of Behavior. 2002. Vol. 31. P. 107–161. doi: 10.1016/s0065-3454(02)80007-9.
- Rogers L.J. Asymmetry of brain and behavior in animals: its development, function, and human relevance // Genesis. 2013. Vol. 52, iss. 6. P. 555–571. doi: 10.1002/dvg.22741.
- Извеков Е.И., Непомнящих В.А., Медянцева Е.Н., Чеботарева Ю.В., Изюмов Ю.Г. Асимметрия направления движения и морфологических признаков у плотвы (Rutilus rutilus) // Асимметрия. 2008. Т. 2, № 1. С. 21–31.
- Dodson D.L., Stafford D., Forsythe C., Seltzer C.P., Ward J.P. Laterality in quadrupedal and bipedal prosimians: reach and whole-body turn in the mouse lemur (Microcebus murinus) and the galago (Galago moholi) // American Journal of Primatology. 1992. Vol. 26, iss. 3. P. 191–202. doi: 10.1002/ajp.1350260305.
- Ströckens F., Güntürkün O., Ocklenburg S. Limb preferences in non-human vertebrates // Laterality. 2013. Vol. 18, iss. 5. P. 536–575. doi: 10.1080/1357650x.2012.723008.
- MacNeilage P.F. Present status of the postural origins theory // Special Topics in Primatology. 2007. Vol. 5. P. 58–91. doi: 10.1016/s1936-8526(07)05003-8.
- Wells D.L., Hepper P.G., Milligan A.D., Barnard S. Cognitive bias and paw preference in the domestic dog (Canis familiaris) // Journal of Comparative Psychology. 2017. Vol. 131 (4). P. 317–325. doi: 10.1037/com0000080.
- Batt L.S., Batt M.S., Baguley J.A., McGreevy P.D. The relationships between motor lateralization, salivary cortisol concentrations and behavior in dogs // Journal of Veterinary Behavior. 2009. Vol. 4, iss. 6. P. 216–222. doi: 10.1016/j.jveb.2009.02.001.
- Tomkins L.M., Williams K.A., Thomson P.C., McGreevy P.D. Lateralization in the domestic dog (Canis familiaris): relationships between structural, motor, and sensory laterality // Journal of Veterinary Behavior. 2012. Vol. 7, iss. 2. P. 70–79. doi: 10.1016/j.jveb.2011.07.001.
- Schneider L.A., Delfabbro P.H., Burns N.R. Temperament and lateralization in the domestic dog (Canis familiaris) // Journal of Veterinary Behavior. 2013. Vol. 8, iss. 3. P. 124–134. doi: 10.1016/j.jveb.2012.06.004.
- Batt L.S., Batt M.S., Baguley J.A., McGreevy P.D. Factors associated with success in guide dog training // Journal of Veterinary Behavior. 2008. Vol. 3, iss. 4. P. 143–151. doi: 10.1016/j.jveb.2008.04.003.
- Goldblatt A., Gazit I., Cappon E., Terkel J. Paw preference as an indicator of operational suitability in working dogs: an ex post facto analysis // Applied Animal Behaviour Science. 2023. Vol. 262. doi: 10.1016/j.applanim.2023.105900.
- Batt L.S., Batt M.S., McGreevy P.D. Two tests for motor laterality in dogs // Journal of Veterinary Behavior. 2007. Vol. 2, iss. 2. P. 47–51. doi: 10.1016/j.jveb.2007.01.002.
- Branson N.J., Rogers L.J. Relationship between paw preference strength and noise phobia in Canis familiaris // Journal of Comparative Psychology. 2006. Vol. 120 (3). P. 176–183. doi: 10.1037/0735-7036.120.3.176.
- Laverack K., Pike T.W., Cooper J.J., Frasnelli E. The effect of sex and age on paw use within a large sample of dogs (Canis familiaris) // Applied Animal Behaviour Science. 2021. Vol. 238. doi: 10.1016/j.applanim.2021.105298.
- MacNeilage P.F., Rogers L.J., Vallortigara G. Origins of the left and right brain // Scientific American. 2009. Vol. 301 (1). P. 60–67.
- Положение НКП-РКФ «О племенном отборе (кёрунге) собак породы немецкая овчарка». М., 2019. 15 с.
Supplementary files







