Patterns in steppe grassland vegetation of Troitsky State Natural Complex Preserve
- Authors: Nazarenko N.N.1, Malaev A.V.1, Pirozhenkova A.V.1, Bayda N.A.1
-
Affiliations:
- South Ural State Humanitarian Pedagogical University
- Issue: Vol 9, No 2 (2020)
- Pages: 91-97
- Section: General Biology
- URL: https://snv63.ru/2309-4370/article/view/41931
- DOI: https://doi.org/10.17816/snv202115
- ID: 41931
Cite item
Full Text
Abstract
The patterns (mosaicity) in the northern type of Southern Ural steppe vegetation were characterized by a hierarchical continuum concept theory for Troitsky State Natural Complex Preserve example. Multispecies patterns have been identified by blocks and principal components methods while a hierarchical patterns evaluation – by multivariate statistics (Cluster, Discriminant Analysis and Non-Metric Multidimensional Scaling) and biotopes phytoindication. It has been established that three pattern levels – micro-patterns (0,8 and 1,8 m), parcels (6,0 m) and coenotics (11,0 m) are significantly identified in steppe vegetation. The two last levels correspond to levels specified for the southern type of Southern Ural steppe vegetation earlier. The authors have demonstrated that parcel and coenotic patterns are identified as ratio of four species abundance: Stipa lessingiana, S. pennata, S. tirsa and Festuca valesiaca. For natural and undisturbed steppe associations informative species are non-dominants or edificators. Vegetation plot size and the location in phytocatena can be determinative for floristic composition, phytodiversity indexes and syntaxon detection. There are several non-uniformly scaled factors of mosaicity identification. The most significant ones are coenotic interactions among species. Soil nitrogen regime and soil calcium regimes, soil moistening, aeration and acidity are significant for abiotic factors.
Full Text
Введение
Под пространственной структурой растительных сообществ обычно понимается горизонтальное либо вертикальное распределение особей и их групп [1]. Существует два подхода в анализе пространственной структуры растительных сообществ – популяционный, предполагающий оценку мозаичности отдельных видов [2], и ценотический, связанный с выделением многовидовых мозаик [3]. При этом уровень микросайт – биотоп, в котором формируется внутриценотическая структура травянистых сообществ, является в настоящее время наименее изученным [4].
С точки зрения методики выявления мозаик можно выделить функциональный подход, предполагающий оценку используемых ценопопуляциями ресурсов и влияние на нее факторов среды, и геометрический, при котором оцениваются размеры самих мозаик [5]. Базовым в геометрическом подходе является определение популяционных локусов и их размеров [6]. Для ценопопуляций выделяются локусы с повышенной и локусы с низкой плотностью особей [1]. При этом скопления различаются по размеру, а крупные скопления могут быть результатом агрегирования более мелких локусов [5]. Таким образом, растительный покров формируется как система разномасштабных единиц [7–10], где ценотический уровень является лишь одним из пространственных элементов [10–12]. Поскольку предполагается, что в основе формирования таких локусов лежат факторы среды [13], то возможно использование двух подходов одновременно, когда сначала определяются размеры мозаик, а на втором этапе дается оценка экологических факторов, определяющих формирование мозаичности каждого уровня [4; 11; 12; 14; 15]. При таком комплексном подходе главной проблемой является четкое различие пространственной структуры, обусловленной разномасштабным влиянием факторов среды и формирования ценопопуляционных локусов в результате биологических особенностей видов (биоморфы, вегетативной подвижности, особенностей диссеминации и т.п.) [16].
В России в последнее время такие исследования ведутся только на ценотическом уровне и с использованием картографических подходов: для луговых [17], степных [18–20] и травостоев лесных [20; 21] экосистем, либо оценивается мозаичность на микроуровне – особей и клонов [22]. Работы, посвященные изучению пространственного континуума экосистем, в России немногочисленны и представлены преимущественно лесами [4; 15] и вторичным экосистемами на месте лесов [23].
Для степей Южного Урала такая работа выполнена на примере степных целинок Брединского государственного природного биологического заказника [24]. Было установлено, что для степных травостоев однозначно определяются парцеллярный (6,0 м) и ценотический (11,0 м) уровня мозаичности и определены факторы мозаичности. При этом изученные экосистемы являются южным вариантом степей и результатом демутации залежей после прекращения активного хозяйственного использования.
В связи с этим особый интерес представляет северный вариант степных экосистем Южного Урала, который охраняется в Троицком государственном природном комплексном заказнике Челябинской области. Изначально заказник был организован в 1927 г. как лесостепной заповедник, с 1951 г. его территория имела статус учебно-опытного хозяйства Пермского университета, а с 1969 г. – государственного ботанического заказника [25; 26]. Статус комплексного заказника территория получила в 2001 г. [26; 27]. Научные исследования на территории заказника велись до 2012 г. и приостановлены в связи с прекращением учебной практики студентов биологического факультета Пермского государственного университета [26], биогеоценологические исследования не проводились с 90-х годов прошлого века [28].
Задачей данной работы является изучение мозаичности растительности степных целинок Троицкого государственного природного комплексного заказника (Троицкий район Челябинской области).
Объект и методика исследований
Согласно схеме ботанико-географического районирования Челябинской области заказник расположен в подзоне северных ковыльно-разнотравных степей Степной зоны [29]. Но растительный покров отражает типичные черты южных районов лесостепного Зауралья: березово-осиновые колки чередуются со значительными участками целинных разнотравно-ковыльных, луговых и солонцеватых степей [26]. Экологические профили закладывались в специальной зоне «Разнотравно-ковыльная степь» – стационар № 2, организованный Пермским государственным университетом еще в первой половине ХХ века (квартал 15, выдел 1 заказника).
Выделение объективных многовидовых мозаик степных травостоев выполнялось методом блоков и главных компонент [15; 30; 31]. В пределах профиля закладывались 100-метровые трансекты, состоящие из непрерывных примыкающих площадок 0,2 × 0,2 м. На каждой площадке отмечали присутствие видов сосудистых растений. В качестве учетной единицы выбирались парциальные побеги [32], особь – для моноцентрических видов и компактный клон – для плотнокустовых злаков [33]. Для трансект формировалась база данных из неперекрывающихся блоков переменного размера в двух независимых противоположных направлениях. Шаг для объединения площадок в блоки был 0,2 м при размере блоков до 2 метров и 1,0 м – свыше 2 метров. Расчет вклада первых трех осей главных компонент производился в пакете Statistica. Объективные размеры мозаик (уровни мозаичности) определялись по изменению вклада в суммарную дисперсию видов первых трех осей главных компонент по совместным «пикам» значений 1-й и 2-й, 1-й и 3-й и 2-й и 3-й осей.
Оценка факторов мозаичности выполнялась на основе ординации видов в осях главных компонент по величинам нагрузки (Factor Loadings) видов на эти оси, а также расположению видов в пространстве абиотических факторов [34] по их положению в пространстве фитоиндикационных шкал [35], оцененных методом определения реализованной экологической ниши [36]. Интерпретацией осей проведена непараметрической корреляцией [37] с использованием коэффициента тау Кендалла.
Кроме этого выполнялась кластеризация выделенных мозаик по матрице коэффициента Сёренсена-Чекановского с использованием бета-гибкой стратегии Ланса [38; 39]. Проверка классификации проводилась дискриминантным анализом [40], а оценка биотопов мозаик – ординацией выделенных мозаик в пространстве унифицированных фитоиндиационных шкал [35] и осей неметрического многомерного шкалирования (НМШ) [38]. Положение самих мозаик в шкалах рассчитывалось методом среднего балла [35], на основе определенных положений видов в шкалах и с интерпретацией осей непараметрической корреляцией [37] с использованием коэффициента тау Кендалла.
Результаты и обсуждение
Оценка мозаичности степных целинок Троицкого заказника (рис. 1) показала, что характер увеличения вклада осей главных компонент в суммарную дисперсию для обоих вариантов анализа сходен. В отличие от степных целинок Брединского заказника, вклад первой оси главных компонент для степных экосистем Троицкого заказника гораздо больше, чем для второй и третьей оси (вклад которых очень близок и только с уровня 14 м начинает существенно отличаться). Это свидетельствует о наличии различных факторов формирования мозаик, особенно для мозаик большого размера, и дифференциации степных видов на эколого-ценотические группы.
Также для осей главных компонент определяется рост вклада в суммарную дисперсию, что указывает на наличие нескольких разномасштабных факторов мозаичности. Для двух независимых вариантов выделения блоков определяются три уровня мозаичности: в одном варианте (рис. 1: А) выделяются объективные мозаики размером 0,8, 1,8, 7,0 и 11,0 м, а для второго (рис. 1: Б) – еще и 14,0 м.
Таким образом, для степных экосистем и Троицкого, и Брединского заказника однозначно выделяется два уровня мозаичности: парцеллярный 7,0 м (6,0 м для Брединского заказника) и ценотический (11,0 м). Это позволяет предположить объективное существование мозаик такого размера для степных травянистых экосистем Южного Урала в целом. В отличие от степных экосистем Брединского заказника, для Троицкого заказника объективно выделяются также и микромозаики (0,8 и 1,8), которые связаны с группировками дернин разных видов ковылей. Следовательно, для степных травостоев доказано наличие иерархического континуума трех уровней: микромозаик, парцеллярного и ценотического, которые, по-видимому, являются фундаментальными для степных экосистем Южного Урала. Сравнение степей Троицкого и Брединского (более трансформированных) заказников показывает, что при антропогенном воздействии наблюдается фрагментация горизонтальной структуры – пространственные микромозаики становятся невыраженными или разрушаются.
Рисунок 1 – Вклад в суммарную дисперсию растительности осей главных компонент в зависимости от размера блока для степных экосистем Троицкого заказника (по оси ординат – вклад оси, %; по оси абсцисс – размер блока, м; 1, 2, 3 – номера осей, вертикальными линиями отмечены уровни мозаичности). А и Б – варианты объединения блоков в независимых противоположных направлениях
Оценка влияния абиотических факторов на формирование многовидовых мозаик степных целинок Троицкого заказника на основе ординации видов и определения градиентов их распределения в блоках разного размера по методике предполагает выделения трех осей и, соответственно, трех групп факторов. При этом оценка влияния абиотических факторов проведена не только для однозначно выделяемых мозаик, но и для некоторых, указанных выше как фундаментальных (табл. 1).
Характер влияния абиотических факторов на формирование микромозаик степных целинок Троицкого заказника неоднозначен. Для уровня 0,8 м оба варианта анализа показали статистическую значимость уменьшения режима почвенного кальция и почвенного азота и рост минерализованности почвенного раствора. Для мозаик размером 1,8 м в обоих вариантах анализа ведущим определяется только рост почвенного увлажнения (3 ось главных компонент), при этом статистически значимым первым фактором в одном варианте определено увеличение режима аэрации почв, а во втором – уменьшение содержания почвенного азота. Также отлична в разных вариантах анализа идентификация второй оси главных компонент – уменьшение режима почвенного кальция и ухудшение почвенной аэрации, соответственно. Более точная оценка влияния абиотических факторов на формирование травянистых степных парцелл (7 м). Статистически достоверно как рост почвенного увлажнения определяется только вторая ось главных компонент и однозначно ведущим фактором по первой оси идентифицируется увеличение режима аэрации почв. Только 3 ось идентифицируется неоднозначно: нарастание сухости почв в одном варианте и увеличение кислотности – во втором. На ценотическом уровне для мозаик размером 11 метров ведущими абиотическими факторами мозаичности являются уменьшение содержания почвенного азота (статистически значим для одного из вариантов и связан с 1 и 3 осями главных компонент для второго) и рост почвенного увлажнения (2 и 3 оси главных компонент для разных вариантов). При этом также отмечено влияние нарастание кислотности почв (1 ось в одном из вариантов анализа). Для ценотических мозаик 14 метров ведущими абиотическими факторами являются уменьшение содержания почвенного кальция, уменьшение почвенной аэрации и увлажнения.
В целом ведущие факторы формирования степных парцелл и ценотических мозаик Троицкого заказника соответствуют факторам, определенным для Брединского заказника. В обоих случаях определяющими являются режим почвенного азота и кальция, а также почвенная аэрация. Различия для Троицкого заказника связаны с разными биотопами, а различия между факторами Брединского и Троицкого заказника – с зональными причинами. В Брединском заказнике, как более южном варианте, ведущим фактором в более засушливых условиях является минерализация почвенного раствора, а в Троицком заказнике (более влажный северный вариант, переходный к лесостепи) – почвенное увлажнение и кислотность почв.
Необходимо указать, что корреляция мозаик с абиотическими факторами в большинстве случаев статистически не значима, что указывает как на недостаток использования метода главных компонент, так и на преобладающее влияние ценотических факторов. В связи с этим проводилась классификация выделенных многовидовых мозаик на парцеллярном и ценотическом уровне (где влияние абиотических факторов наименее однозначное) и определением их как «микрофитохор» (парцеллярный) и «мезофитохор» (биотоп) [4].
Для степных экосистем Троицкого заказника на парцеллярном уровне (7 м) выделяются 7 микрофитоценохор, которые, фактически, определяются количественными соотношениями трех видов ковылей – Stipa lessingiana Trin. et Rupr., Stipa pennata L. s.l. и Stipa tirsa Stev., а также наличием или отсутствием в парцеллах Festuca valesiaca Gaud. Соответственно, дискриминантный анализ при 100% точности выделения парцелл, значимыми видами с высокой информативностью (статистически значимые величины лямбда Уилкса и F-удаленное при уровне значимости 0,05) показал именно эти четыре вида. На ценотическом уровне (11 м) выделяются 5 мезофитоценохор, которые также определяются количественными соотношениями четырех вышеуказанных видов, но значимыми для дискриминации фитохор определяются – Stipa lessingiana, Festuca valesiaca и виды разнотравья: Аchillea millefolium L., Arctium minus (Hill) Bernh., Convolvulus arvensis L., Artemisia absinthium L., часть из которых маркирует нарушенные сообщества. Таким образом, на ценотическом уровне для степных экосистем наблюдается ситуация, когда значимыми для классификации сообществ определяются не доминанты или эдификаторы сообществ. Это в некоторой степени подтверждает одно из положений флористической школы классификации Й. Браун-Бланке, что «верными» (информативными) видами для выделения синтаксонов могут быть не доминанты или эдификаторы растительности. Также для степей Троицкого заказника подтверждается тезис о том, что на разных уровнях мозаичности для оценки сообществ могут использоваться разные виды.
Ординацией ценотических мозаик степей методом НМШ для парцеллярного уровня выделено две, а на ценотическом – три ведущие оси или группы ценотических факторов. Для степных парцелл и ценозов определяется сложный характер влияния биотопов на ценотическую структуру – практически все рассмотренные факторы влияют статистически значимо (табл. 2). Ведущие факторы биотопов не определяются, а характерно комплексное влияние всех факторов за исключением азотного режима на парцеллярном уровне почв, а на ценотическом – переменности почвенного увлажнения.
Таблица 1 – Идентификация ведущих факторов распределения видов в многовидовых мозаиках степных экосистем Троицкого заказника на разных уровнях мозаичности (метод главных компонент)*
Размер, м | Оси | Почвенное увлажнение (hd) | Переменность увлажнения (fh) | Кислотность почв (rc) | Солевой режим (sl) | Режим кальция (Ca) | Азотный режим (nt) | Почвенная аэрация (ae) |
0,8 | 1 | 0,28 | –0,10 | –0,13 | –0,01 | –0,44 | 0,26 | –0,07 |
2 | –0,26 | 0,03 | 0,05 | 0,32 | –0,15 | –0,44 | –0,37 | |
3 | –0,38 | 0,00 | 0,28 | 0,43 | 0,18 | –0,36 | 0,16 | |
1,8 | 1 | –0,36 –0,21 | 0,03 0,13 | 0,10 –0,05 | 0,22 0,27 | –0,10 –0,31 | –0,54 –0,33 | –0,37 –0,43 |
2 | –0,05 –0,10 | –0,03 0,08 | 0,00 | 0,17 0,12 | –0,21 0,05 | 0,03 0,03 | 0,10 0,25 | |
3 | 0,33 0,36 | 0,00 0,03 | –0,18 –0,15 | –0,01 0,12 | –0,18 –0,21 | 0,21 0,28 | –0,04 0,07 | |
7,0 | 1 | –0,22 –0,21 | 0,09 0,08 | –0,14 –0,15 | 0,23 0,17 | –0,27 –0,31 | –0,35 –0,33 | –0,36 –0,37 |
2 | 0,45 0,49 | –0,01 0,05 | –0,09 –0,13 | 0,03 –0,12 | –0,32 –0,18 | 0,37 0,36 | 0,03 –0,04 | |
3 | –0,28 –0,04 | 0,00 0,12 | 0,03 –0,22 | 0,12 –0,05 | 0,13 –0,19 | –0,26 0,04 | 0,13 0,09 | |
11,0 | 1 | –0,23 0,00 | 0,00 0,08 | –0,13 –0,21 | 0,12 0,01 | 0,03 –0,15 | –0,26 0,08 | 0,10 0,13 |
2 | 0,41 –0,38 | –0,03 –0,05 | –0,21 0,13 | –0,12 0,30 | –0,05 –0,08 | 0,23 –0,51 | 0,13 –0,31 | |
3 | –0,22 0,36 | 0,01 0,03 | 0,01 –0,10 | 0,16 –0,09 | –0,27 –0,21 | –0,30 0,23 | –0,33 –0,01 | |
14,0 | 1 | 0,31 –0,38 | –0,03 –0,05 | –0,05 0,08 | 0,06 0,14 | –0,31 –0,08 | 0,23 –0,26 | –0,04 0,01 |
2 | –0,31 0,36 | –0,03 | 0,05 –0,10 | 0,01 0,01 | 0,00 –0,41 | –0,23 0,28 | 0,04 –0,13 | |
3 | –0,23 –0,28 | 0,15 | –0,13 –0,08 | 0,19 0,14 | –0,33 –0,28 | –0,31 –0,36 | –0,37 |
Примечание. * – в числителе/знаменателе в случае отличий представлены первый и второй варианты выделения блоков, соответственно, полужирным выделены статистически значимые величины тау-Кендалла.
Таблица 2 – Идентификация ведущих факторов ординации мозаик степей Троицкого заказника (неметрическое многомерное шкалирование)
Ось | Почвенное увлажнение (hd) | Переменность увлажнения (fh) | Кислотность почв (rc) | Солевой режим (sl) | Режим кальция (Ca) | Азотный режим (nt) | Почвенная аэрация (ae) |
7 м | |||||||
NMS1 | –0,38 | –0,45 | 0,62 | –0,06 | 0,77 | –0,17 | 0,53 |
NMS2 | –0,31 | 0,10 | 0,14 | 0,27 | –0,12 | –0,08 | –0,17 |
11 м | |||||||
NMS1 | 0,36 | –0,07 | –0,12 | –0,52 | 0,07 | 0,20 | 0,24 |
NMS2 | –0,28 | –0,01 | 0,25 | 0,12 | 0,42 | –0,20 | 0,52 |
NMS3 | 0,40 | 0,33 | –0,71 | –0,14 | –0,62 | 0,40 | –0,22 |
Примечание. Полужирным выделены статистически значимые величины тау-Кендалла.
Оценка положения выделенных фитоценохр степей в осях НМШ и фитоиндикационных шкалах методами дискриминантного анализа показала 100% точность классификации как на уровне парцелл, так и ценозов, что свидетельствует о ценотической и биотопической специфичности выделенных мозаик и ценохор. Значимыми факторами на уровне парцелл определяются оси НМШ (внутрипарцеллярные взаимодействия между видами) и режим переменности почвенного увлажнения. На уровне ценотической мозаичности ведущими факторами являются внутриценотические взаимодействия (оси НМШ), а также режимы почвенной аэрации и содержания в почве кальция. Указанные факторы также влияют на формирования парцелл и ценозов степных целинок Брединского заказника, что позволяет предположить их фундаментальный характер для степей Южного Урала.
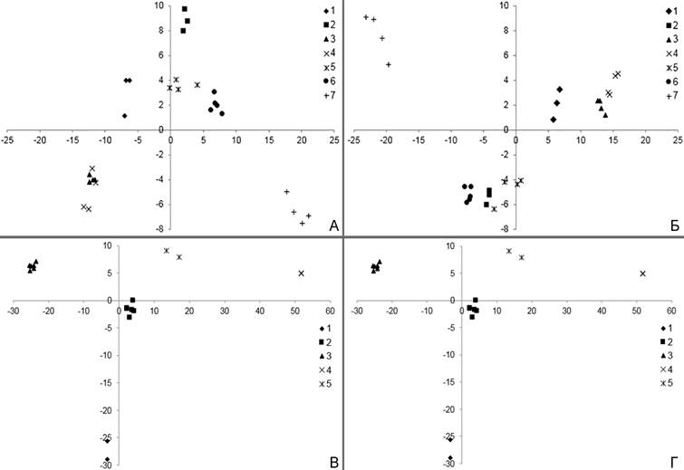
Ординация степных парцелл в пространстве показателей фиторазнообразия (численности и встречаемости видов) показала, что ценохоры формируют достаточно четкий ценотический ряд (рис. 2: А), связанный с мозаикой пятен дернин ковылей и типчака. Это подтверждает гомогенность парцеллярной структуры северных степей Троицкого заказника. При этом специфической структурой отличаются антропогенно нарушенные ковыльные парцеллы с низкой численностью ковылей и внедрением в травостой Plantago major L. и Fragaria viridis Duch. В пространстве осей НМШ и фитоиндикаицонных шкал (рис. 2: Б) парцеллы формируют три группы биотопов, что указывает на отсутствие экологической специфичности ценохор. Исключение также составляют антропогенно нарушенные ковыльные парцеллы.
На ценотическом уровне (рис. 2: В, Г) в пространстве показателей фиторазнообразия мезофитоценохоры четко различаются, что указывает на их специфичность. Более того, в эколого-ценотическом пространстве (осей НМШ и фитоиндикаицонных шкал) степные ценозы характеризуются тремя типами биотопов. В частности, специфические биотопы характерны для антропогенно нарушенных ковыльных парцелл (5 – рис. 2: Г), а также ценохор Stipa lessingiana – S. pennata – S. tirsa – S. lessingiana (1 – рис. 2: Г).
Таким образом, если степные парцеллы не характеризуются специфичностью показателей фиторазнообразия и биотопов, то на ценотическом уровне степные сообщества, несмотря на близкий видовой состав, четко различаются по биотопам и фиторазнообразию. В связи с этим необходимо отметить, что при выделении степных синтаксонов важным является масштаб исследований (размер и число пробных площадок), а также расположение пробных площадок в фитокатенах, которые будут, фактически, определять флористический состав и другие показатели фиторазнообразия, а также экологическую специфичность классифицированных сообществ. В частности, может возникнуть ситуация, когда на одних и тех же фитокатенах в одно и то же время разные исследователи будут выделять разные ценохоры и, соответственно, синтаксоны.
Рисунок 2 – Ординация мозаик степей (7 м – А, Б и 11 м – В, Г) в пространстве показателей фиторазнообразия (А, В) и в пространстве осей НМШ и фитоиндикационных шкал (Б, Г). На графиках показаны первые две дискриминантные оси
Выводы
Для степных травянистых экосистем Троицкого государственного природного комплексного заказника методами многомерной статистики подтверждается наличие иерархического континуума. Степные экосистемы заказника представляют собой систему разномасштабных единиц двух уровней – парцеллярного (7,0 м) и ценотического (11,0 м), сходные с таковыми степей Брединского заказника, а также микромозаик 0,8 и 1,8 метров. Выделенные размеры мозаик являются фундаментальными для степей Южного Урала.
В зависимости от масштаба мозаичности травянистых сообществ на разных уровнях одни и те же виды имеют различный вклад в формирование растительных сообществ, соответственно для оценки мозаик могут использоваться разные виды. При классификации растительности важным является размер пробных площадок и расположение их в фитокатенах, которые будут определять флористический состав и другие показатели фиторазнообразия, а также экологическую специфичность классифицированных сообществ. При этом может возникнуть ситуация, когда на одних и тех же фитокатенах в одно и то же время разные исследователи будут выделять разные ценохоры и, соответственно, синтаксоны. Информативными («верными») при классификации сообществ видами при этом могут быть не доминанты или эдификаторы.
Парцеллярные мозаики степных целинок Троицкого заказника формируют четкий ценотический ряд, который определяется количественными соотношениями четырех видов: Stipa lessingiana, S. pennata и S. tirsa и Festuca valesiaca, а биотопы формируют три специфические группы. На ценотическом уровне степные сообщества, несмотря на близкий видовой состав, четко различаются по биотопам и фиторазнообразию. Для степных экосистем идентифицируется несколько разномасштабных факторов мозаичности. Корреляция формирования многовидовых мозаик с абиотическими факторами в большинстве случаев статистически не значима. При этом значимыми являются, прежде всего, ценотические взаимодействия между видами, а на разных уровнях мозаичности ведущими являются режимы почвенного азота и кальция, почвенное увлажнение, аэрация и кислотность почв.
About the authors
Nazar N. Nazarenko
South Ural State Humanitarian Pedagogical University
Author for correspondence.
Email: nnazarenko@hotmail.com
doctor of biological sciences, professor of Chemistry, Ecology and Chemistry Methodology Department
Aleksandr V. Malaev
South Ural State Humanitarian Pedagogical University
Email: nnazarenko@hotmail.com
candidate of geographical sciences, head of Geography and Geography Methodology Department
Russian Federation, ChelyabinskAlla V. Pirozhenkova
South Ural State Humanitarian Pedagogical University
Email: allapirozhenkova@mail.ru
student of Natural Sciences and Technologies Faculty
Russian Federation, ChelyabinskNatalya A. Bayda
South Ural State Humanitarian Pedagogical University
Email: bayda.natashenka@mail.ru
student of Natural Sciences and Technologies Faculty
Russian Federation, ChelyabinskReferences
- Фардеева М.Б., Исламова Г.Р., Чижикова Н.А. Анализ пространственно-возрастной структуры растений на основе информационно-статистических подходов // Ученые записки Казанского государственного университета. Естественные науки. 2008. Т. 150, кн. 4. С. 226–240.
- Миркин Б.М., Розенберг Г.С. Анализ мозаичности травянистых растительных сообществ. 1. Популяционный уровень // Биологические науки. 1976. № 12. С. 127–134.
- Миркин Б.М., Розенберг Г.С. Анализ мозаичности травянистых растительных сообществ. 2. Ценотический уровень // Биологические науки. 1977. № 2. С. 121–126.
- Заугольнова Л.Б. Иерархический подход к анализу лесной растительности малого речного бассейна (на примере Приокско-Террасного заповедника) // Ботанический журнал. 1999. Т. 84, № 8. С. 42–56.
- Ценопопуляции растений (развитие и взаимоотношения). М.: Наука, 1977. 213 с.
- Ценопопуляции растений (очерки популяционной биологии). М.: Наука, 1988. 181 с.
- Austin M.P., Smith T.M. A new model for the continuum concept // Vegetatio. 1989. Vol. 83, № 1–2. P. 35–47.
- Collins S.L., Glenn S.M., Roberts D.W. The hierarchical continuum concept // Journal of Vegetation Science. 1993. Vol. 4, is. 2. P. 149–156.
- O’Neil R.V. de Anders D.L., Waide J.B., Allen T.F.H. A hierarchical concept of ecosystems. Princeton: Princeton University Press, 1986. 153 p.
- Van der Maarel E. Pattern and process in plant community: fifty years after A.S. Watt // Journal of Vegetation Science. 1996. Vol. 7, is. 1. P. 19–28.
- Collins S.L., Glenn S.M., A hierarchical analysis of species' abundance patterns in grassland vegetation // American Naturalist. 1990. № 135 (5). P. 633–648.
- Martinez K.A., Gibson D.J., Middleton B.A. Core-satellite species hypothesis and native versus exotic species in secondary succession // Plant Ecology. 2015. № 216 (3). P. 419–427.
- Pelissier R., Goreaud F. A practical approach to the study pf spatial structure in simple cases of heterogeneous vegetation // Journal of Vegetation Science. 2001. № 12. P. 99–108.
- Заугольнова Л.Б., Истомина И.И., Тихонова Е.В. Анализ растительного покрова лесной катены в антропогенном ландшафте (на примере бассейна р. Жилетовки, Подольский район Московской области) // Бюллетень МОИП. Отдел биологический. 2000. Т. 105, вып. 4. С. 42–52.
- Маслов А.А. Количественный анализ горизонтальной структуры лесных сообществ. М.: Наука, 1990. 160 с.
- Василевич В.И. Статистические методы в геоботанике. Л.: Наука, 1969. 232 с.
- Горнов А.В. Особенности горизонтальной структуры внутрилесных лугов Нерусско-Деснянского полесья // Известия Самарского научного центра РАН. 2012. Т. 14, № 1 (5). С. 1219–1222.
- Огуреева Г.Н., Микляева И.М., Бочарников М.В., Дудов С.В., Тувшинтогхтог И. Крупномасштабное картографирование дауро-монгольских степей для целей мониторинга // Аридные экосистемы. 2009. Т. 15, № 2 (38). С. 18–27.
- Огуреева Г.Н., Микляева И.М., Бочарников М.В., Дудов С.В., Тувшинтогхтог И., Жаргалсайхан Л. Пространственная организация и разнообразие степей Восточной Монголии // Аридные экосистемы. 2011. Т. 17, № 1 (46). С. 14–25.
- Холбоева С.А., Намзалов Б.Б., Цыренова М.Г. Особенности пространственной организации лесостепной растительности в долине р. Джида (Западное Забайкалье) // Аридные экосистемы. 2013. Т. 19, № 3 (56). С. 69–76.
- Леонова Н.А., Крупенина М.М. Пространственная динамика Присурской дубравы // Известия высших учебных заведений. Поволжский регион. Естественные науки. 2018. № 3 (23). С. 92–97.
- Беляев А.Ю., Васфилова Е.С. Особенности клоновой структуры и некоторые характеристики куртин клонов солодки в популяциях на Южном Урале и в Приуралье // Вестник ОГУ. 2010. № 5 (111). С. 87–93.
- Уланова Н.Г., Маслов А.А. Многомерный анализ горизонтальной структуры растительности вырубки // Ботанический журнал. 1989. Т. 74, № 9. С. 1316–1323.
- Назаренко Н.Н., Перлов Е.Д. Мозаичность степных экосистем Брединского государственного природного биологического заказника // Самарский научный вестник. 2018. Т. 7, № 4 (25). С. 85–93.
- Макарова Т.Н., Гизатуллин А.Н. 90 лет со времени образования Троицкого лесостепного заповедника // Биосферное хозяйство: теория и практика. 2018. № 2 (5). С. 55–64.
- Гашек В.А., Захаров В.Д. Орнитофауна Троицкого заказника (Челябинская область) // Фауна Урала и Сибири. 2018. № 1. С. 163–183.
- Потапова Н.А., Назырова Р.И., Забелина Н.М., Исаева-Петрова Л.С., Коротков В.Н., Очагов Д.М. Сводный список особо охраняемых природных территорий Российской Федерации (справочник). Ч. II / отв. ред. Д.М. Очагов. М.: ВНИИприроды, 2006. 364 с.
- Антонова Л.А. Роль профессора А.Н. Пономарева в развитии ботанических исследований в Троицком лесостепном заповеднике (к 100-летию со дня рождения, 1906–2006 гг.) // Вестник Пермского университета. Сер. Биология. 2008. Вып. 9 (25). С. 111–114.
- Колесников Б.П. Растительность Челябинской области // Природа Челябинской области. Челябинск: Юж.-Урал. кн. изд-во, 1964. С. 135–158.
- Маслов А.А. О совместном применении метода блоков и метода главных компонент для анализа мозаичности лесных сообществ. 1. Выделение осей // Бюллетень МОИП. Отд. Биологический. 1983. Т. 88, вып. 6. С. 73–79.
- Xiaobing D., van der Maarel E. Transect-based patch size frequency analysis // Journal of Vegetation Science. 1997. Vol. 8, is. 6. P. 865–872.
- Смирнова О.В. Объем счетной единицы при изучении ценопопуляций растений различных биоморф // Ценопопуляции растений (основные понятия и структура). М.: Наука, 1976. С. 72–80.
- Смирнова О.В. Структура травяного покрова широколиственных лесов. М.: Наука, 1987. 208 с.
- Маслов А.А. О совместном применении метода блоков и метода главных компонент для анализа мозаичности лесных сообществ. 2. Идентификация осей экологическими факторами // Бюллетень МОИП. Отд. Биологический. 1985. Т. 90, вып. 4. С. 107–117.
- Didukh Ya.P. The ecological scales for the species of Ukrainian flora and their use in synphytoindication. Kyiv: Phytosociocentre, 2011. 176 p.
- Маслов А.А. К оценке параметров экологических ниш лесных растений при помощи индикационных шкал // Перспективы теории фитоценологии. Тарту: Изд. АН ЭССР, 1988. С. 105–110.
- Persson S. Ecological indicator values as an aid in the interpretation of ordination diagrams // Journal of Ecology. 1981. Vol. 69, № 1. P. 71–84.
- Legendre L., Legendre P. Numerical ecology. Amsterdam: Elsevier Science B.V., 1998. 853 p.
- McCune B, Grace J.B. Analysis of Ecological Communities. MjM SoftWare Design, 2002. 300 p.
- McLachlan G.J. Discriminant analysis and statistical pattern recognition. Wiley-Interscience: Hoboken, 2004. 580 p.
Supplementary files




