Ecological and coenotical structure of the Regional Natural Monument «Chelyabinsk city pine forest» vegetation
- Authors: Nazarenko N.N.1, Novgorodova M.D.1
-
Affiliations:
- South Ural State Humanitarian Pedagogical University
- Issue: Vol 8, No 2 (2019)
- Pages: 38-44
- Section: 03.02.00 – General Biology
- URL: https://snv63.ru/2309-4370/article/view/34295
- DOI: https://doi.org/10.17816/snv201982107
- ID: 34295
Cite item
Full Text
Abstract
The following paper deals with the ecological and coenotical structure of the Regional Natural Monument «Chelyabinsk city pine forest» vegetation. The estimation was done by a cluster analysis with Sorensen-Chekanovsky (Bray-Curtis) distance measure and a flexible beta group linkage method - by non-metric multidimensional scaling, phytoindication and general discriminant analysis algorithms. The flora and coenotical structure of Chelyabinsk city pine forest plant communities are characterized by significant anthropogenic transformation. Forest-margin and meadow, ruderal and synanthropic species are insinuating and naturalizing in pine forest communities actively and supplanting typical pine forest species off communities. The studied pine forest flora synanthropic index is 32 percent. 15 plant associations were detected; its flora, dominant and constant species, coenotical structure and biotopes were characterized by principal ecological factors. The biotopes series of ecological factors replacement were identified. Biotopes series are specified by forest stand ecological structure, that determining ecological regime changes from semi-light to semi-shade and from more arid to more damp. Also biotopes form series from wet more variable moistening bad-aerated not-acid and salt enriched soils to acid aerated poor soils with contrast arid moistening. The detected Chelyabinsk city pine forest biotopes are characterized by not so fluctuation of principal ecological factors.
Full Text
Челябинский городской бор расположен на правом берегу реки Миасс на юго-западе в границах города Челябинска и выполняет важные средозащитные, водоохранные, санитарно-гигиенические, оздоровительные и рекреационные функции для населения города. В настоящий момент бор официально является ботаническим памятником природы регионального значения как уникальный островной бор и реликт плейстоценовой перигляциальной лесостепи [1]. Общая площадь особо охраняемой природной территории составляет 1130,5 га. Последнее лесоустройство проведено в 2015 году.
Лесная растительность представлена преимущественно чистыми сосняками, березняками, смешанными березово-сосновыми и сосново-березовыми древостоями. Удельный вес насаждений сосны обыкновенной составляет порядка 94,1%. Возраст отдельных сосновых насаждений достигает 140 лет. Почвенный покров образован дерново-подзолистыми (80%), супесчаными и песчаными типами почв.
С ботанико-географической точки зрения Челябинский городской бор как представитель ленточных боров Южного Урала изучался в середине-конце прошлого века [2; 3]. В этот период были исследованы основные флористические особенности бора и условия формирования сосновых и березовых насаждений, а также физико-географические особенности биотопов, и поставлен вопрос об антропогенной трансформации сообществ бора [3]. При этом, несмотря на достаточно долгий период изучения экосистем бора, вопрос оценки ценотической структуры его лесных сообществ остается актуальным. Основная причина этого – высочайшая антропогенная, в особенности рекреационная нагрузка [4–6], приводящая к очень быстрой трансформации флоры и ценозов бора [4; 7].
В связи с этим особую важность приобретают мониторинговые оценки трансформации растительности и характера преобразования ценотической структуры и биотопов бора. Задача данной работы – оценка современной эколого-ценотической структуры растительности Челябинского городского бора.
Методика исследований
С целью изучения эколого-ценотической структуры в Челябинском городском бору закладывались геоботанические площадки и проводилось их описание согласно методике исследования лесных сообществ [8]. По геоботаническим описаниям выполнялся анализ растительности по схеме, предложенной для заповедника «Калужские засеки» [9]. Анализ включал классификацию описаний по матрице коэффициента Серенсена-Чекановского с группировкой в кластеры по бета-гибкой стратегии Ланса [10–12] и фитоиндикацию биотопов с использованием унифицированных индикационных шкал [13]. Оценка ценотической и биотопической структуры выделенных сообществ выполнялась несколькими способами – непрямой ординацией методом неметрического многомерного шкалирования (NMS) [10–12] с последующей интерпретацией осей [14] с использованием коэффициента тау-Кэндалла и в фитоиндикационных шкалах почвенного увлажнения (hd) и его переменности (fh), солевого (sl), азотного (nt) и кислотного (rc), режимов, режима кальция (Са) и почвенной аэрации (аe), термо- (tm) омбро- (оm) и криоклимата (Cr), континентальности или амплитуды температур (Kn) и освещенности (lc). Далее выполнялась классификация величин шкалирования и фитоиндикации методами дискриминантного анализа [10; 11] по алгоритму General Discriminant Analysis и ординация биотопов в пространстве расстояния Махаланобиса и первых двух дискриминантных функций. Расчеты выполнялись в статистических пакетах Statistica и PC-ORD.
Результаты и обсуждение
В результате кластеризации было выделено 15 кластерных единиц, рассматриваемых при иерархическом подходе [15] как ассоциации растительности:
(1) – сосняк земляничный (Pinus sylvestris L. – Fragaria vesca L.) – фиторазнообразие составляет 35 видов, древостой формирует Pinus sylvestris L. с единичным участием Betula pubescens Ehrh. и (в культурах) Populus balsamifera L., второй ярус фрагментарный из Sorbus aucuparia L., для кустарникового яруса характерны Chamaecytisus ruthenicus (Fisch. ex Woloszcz.) Klaskova и Cotoneaster melanocarpus Fisch. ex Blytt, в травостое доминирует Fragaria vesca, видами с высокой встречаемостью (>75%) являются Bromus arvensis L., Trifolium medium L. и Achillea millefolium L.;
(2) – сосняк шиповниково-земляничный (Pinus sylvestris L. – Rosa majalis Herrm. – Fragaria vesca L.) – фиторазнообразие составляет 42 вида, древостой формирует Pinus sylvestris с участием Betula pendula Roth., Betula pubescens, и Larix sibirica Ledeb., второй ярус фрагментарный из Sorbus aucuparia L., также отмечается внедрение в древостой Acer negundo L., кустарниковый ярус сплошной и сложен Rosa majalis с участием Chamaecytisus ruthenicus и Cotoneaster melanocarpus, в травостое доминирует Fragaria vesca, фоновыми видами (100% встречаемости) являются Achillea millefolium, Plantago major L., Trifolium pratense L., Artemisia absinthium L., видами с высокой встречаемостью (>75%) являются Rubus saxatilis L., Bromus arvensis L., Poa pratensis L.;
(3) – кострово-мятликово-овсяницевая ассоциация (Bromus arvensis L. – Poa pratensis L. – Festuca pratensis Huds.) – фиторазнобразие составляет 27 видов, характерна для опушечно-полянных комплексов бора, в травостое доминируют Bromus arvensis, Poa pratensis и Festuca pratensis при участии Achillea millefolium и Medicago sativa L., также фоновыми видами являются Cynosurus cristatus L., Veronica longifolia L., Vicia cracca L., наблюдается активное зарастание полян кленом ясенелистым (Acer negundo);
(4) – березняк кисличный (Betula pendula Roth. – Oxalis acetosella L.) – фиторазнообразие составляет 34 вида, древостой формирует Betula pendula, кустарниковый ярус – Rubus idaeus L. при участии Chamaecytisus ruthenicus и (для влажных биотопов) Salix cinerea L., в травостое доминирует Oxalis acetosella, фоновыми видами являются Achillea millefolium, Trifolium medium и T. pratense, Leonurus quinquelobatus Gilib.;
(5) – сосняк кисличный (Pinus sylvestris L. – Oxalis acetosella L.) – фиторазнообразие составляет 51 вид, древостой формируют Pinus sylvestris при участии Populus tremula L. и Larix sibirica, в кустарниковом ярусе представлены Chamaecytisus ruthenicus, Cotoneaster melanocarpus и Cerasus fruticosa (Pall.) Woron., а также (для влажных биотопов) Salix cinerea, отмечается внедрение в древостой Acer negundo, в травостое доминирует Oxalis acetosella, фоновыми видами являются Achillea millefolium, Trifolium pratense, Bromus arvensis, видами с высокой встречаемостью – Festuca pratensis, Glechoma hederacea L., Trifolium medium, Ranunculus acris L.;
(6) – березово-сосняк пятитычинковоивняковый (Pinus sylvestris L. – Betula pendula Roth. – Salix pentandra L.) – фиторазнообразие составляет 13 видов, древостой разреженный из Pinus sylvestris и Betula pendula, сплошной хорошо развитый кустарниковый ярус формирует Salix pentandra, фоновым видом является Humulus lupulus L., травостой представлен преимущественно видами-палюдантами, как Filipendula ulmaria (L.) Maxim., Persicaria amphibia (L.) S.F. Gray, Comarum palustre L., Rumex aquaticus L. с участием Tussilago farfara L. и Potentilla anserine L., а в прибрежной зоне – видов аквального комплекса;
(7) – ильмовник хвощевый (Ulmus glabra Huds. – Equisetum fluviatile L.) – фиторазнообразие составляет 13 видов, древостой формирует Ulmus glabra с подлеском из Sorbus aucuparia L., отмечается внедрение в древостой Acer negundo, кустарниковый ярус фрагментарный и представлен Salix cinerea, в травостое доминирует Equisetum fluviatile с содоминантными Equisetum arvense L. и Pyrola rotundifolia L., также для травостоя характерно высокое обилие Rubus saxatilis L. и Dryopteris filix-mas (L.) Schot., видами с высокой встречаемостью являются Tussilago farfara и Hieracium umbellatum L.;
(8) – сосняк пырейно-земляничный (Pinus sylvestris L. – Elytrigia repens (L.) Desv. ex Nevski – Fragaria vesca L.) – фиторазнообразие составляет 33 вида, древостой формирует Pinus sylvestris с участием Larix sibirica и Ulmus glabra, единично отмечается Betula pubescens и Acer platanoides L., второй ярус сложен Sorbus aucuparia, кустарниковый ярус формируют Chamaecytisus ruthenicus и Rosa majalis с единичным участием Cotoneaster melanocarpus и Rubus idaeus, в травостое доминирует Fragaria vesca при содоминантном Elytrigia repens, фоновыми видами являются Polygonatum odoratum (Mill.) Druce, Arctostaphylos uva-ursi (L.) Spreng., Achillea millefolium, Hieracium umbellatum, Cynosurus cristatus, Plantago major;
(9) – сосняк костянично-земляничный (Pinus sylvestris L. – Rubus saxatilis L. – Fragaria vesca L.) – фиторазнообразие составляет 40 видов, древостой образует Pinus sylvestris с участием Betula pubescens и B. pendula, реже – Populus tremula, изредка – Acer platanoides и, единично, Ulmus glabra, отмечается единичное появление в древостое Acer negundo, подлесок фрагментарный из Sorbus aucuparia, в состав кустарникового яруса входят Chamaecytisus ruthenicus, Cotoneaster melanocarpus и, единично, Rubus idaeus, в травостое доминируют Fragaria vesca и Rubus saxatilis, видом с высокой встречаемостью является Polygonatum odoratum;
(10) – сосняк костяничный (Pinus sylvestris L. – Rubus saxatilis L.) – фиторазнообразие составляет 23 вида, древостой образует Pinus sylvestris с участием Betula pubescens и B. pendula, в подлеске – Sorbus aucuparia и Malus baccata (L.) Borkh., кустарниковый ярус представлен Chamaecytisus ruthenicus и Cotoneaster melanocarpus, в травостое доминирует Rubus saxatilis, фоновыми видами являются Polygonatum odoratum, Festuca pratensis, Elytrigia repens и Sanguisorba officinalis L.;
(11) – сосняк толокнянковый (Pinus sylvestris L. – Arctostaphylos uva-ursi (L.) Spreng.) – фиторазнообразие составляет 48 видов, древостой формируют Pinus sylvestris, Betula pubescens и B. pendula с участием Populus tremula и, единично, Larix sibirica, в подлеске – Sorbus aucuparia и, единично, Malus baccata, отмечается единичное появление в древостое Acer negundo, кустарниковый ярус представлен – Chamaecytisus ruthenicus, Cotoneaster melanocarpus, Rubus idaeus, Rosa majalis, единично – Sambucus sibirica Nakai, в травостое доминирует Arctostaphylos uva-ursi при содоминантной Fragaria vesca, фоновые виды – Polygonatum odoratum и Hieracium umbellatum;
(12) – осиново-сосняк лекарственнокупеновый (Pinus sylvestris L. – Populus tremula L. – Polygonatum odoratum (Mill.) Druce) – фиторазнообразие составляет 22 вида, Древостой формируют Pinus sylvestris и Populus tremula, кустарниковый ярус сплошной и хорошо развитый из Chamaecytisus ruthenicus, в травостое доминирует Polygonatum odoratum, фоновыми видами являются Fragaria vesca, Achillea millefolium, Hieracium umbellatum, Bromus arvensis;
(13) – сосняк землянично-лекарственнокупеновый (Pinus sylvestris L. – Fragaria vesca L. – Polygonatum odoratum (Mill.) Druce) – фиторазнообразие составляет 59 видов, древостой формируют Pinus sylvestris, Acer platanoides, Betula pubescens и B. pendula с единичным участием Ulmus glabra, для древостоев этой ассоциации также часто характерны культуры Quercus robur L. и активная инвазия Acer negundo, подлесок сложен Sorbus aucuparia, Crataegus sanguinea Pall. и, единично, Malus baccata, кустарниковый ярус сплошной и хорошо развитый из Rubus idaeus, Cotoneaster melanocarpus, Rosa majalis, Cerasus fruticosa и Chamaecytisus ruthenicus, в травостое доминируют Fragaria vesca и Polygonatum odoratum, видом с высокой встречаемостью является Rubus saxatilis;
(14) – сосняк будровый (Pinus sylvestris L. – Glechoma hederacea L.) – фиторазнообразие 38 видов, древостой образуют Pinus sylvestris и Betula pubescens, единично встречается Quercus robur и Acer negundo, в подлеске – Sorbus aucuparia, сплошной и хорошо развитый кустарниковый ярус формируют Chamaecytisus ruthenicus, Rubus idaeus, Cotoneaster melanocarpus, Cerasus fruticosa и Sambucus sibirica, в травостое доминирует Glechoma hederacea, на более увлажненных биотопах содоминантом является Pyrola rotundifolia, фоновые виды травостоя – Fragaria vesca, Rubus saxatilis, Urtica dioica, Geum aleppicum Jacq.;
(15) – березово-сосняк земляничный (Pinus sylvestris L. – Betula pendula Roth. – Fragaria vesca L.) – фиторазнообразие составляет 44 вида, Древостой формируют Pinus sylvestris и Betula pendula, с участием Acer platanoides, Ulmus glabra и Populus tremula, а в культурах – Quercus robur, наблюдается активная инвазия в древостой Acer negundo, мощный подлесок формирует Sorbus aucuparia и Crataegus sanguinea, хорошо развитый кустарниковый ярус образуют Rubus idaeus, Chamaecytisus ruthenicus, Spiraea crenata L., Cerasus tomentosa (Thunb.) Wall., единично – Cotoneaster melanocarpus, в травостое доминирует Fragaria vesca при фоновых видах – Sanguisorba officinalis L., Trifolium medium и Glechoma hederacea, Plantago lanceolata L.
Таким образом, флористический состав и ценотическая структура растительных сообществ Челябинского городского бора характеризуется значительной антропогенной трансформацией, при которой в растительные ассоциации активно внедряются опушечно-луговые, сорные и синантропные виды, которые, натурализуясь, вытесняют классические боровые виды. Согласно предложенной Р.И. Бурдой методике оценки [16] синантропизация (доля синантропного компонента) флоры исследованных сообществ бора составляет 32%.
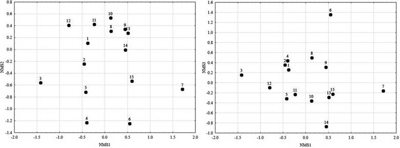
Ординация ассоциаций в пространстве многомерного шкалирования показала наличие трех статистически значимых (по показателю стресса) осей ординации (рис. 1).
Рисунок 1 – Ординация растительности Челябинского городского бора в пространстве осей многомерного шкалирования (NMS1, NMS2 и NMS3 – оси шкалирования, нумерация сообществ соответствует нумерации в тексте)
Как видно из результатов ординации, для сообществ бора наблюдается несколько рядов ценотического замещения: 1) связанный с первой осью ряд от опушечно-полянных комплексов через сосняки и березняки до ильмовников; 2) два «параллельных» ценотических ряда, отличающихся по первой оси шкалирования и связанных со второй осью (рис. 1, слева): а) от сосняков ивняковых через ильмовники, березово-сосняки земляничные и сосняки будровые к соснякам костяничным и б) от березняков и сосняков кисличных, через сосняки земляничные к соснякам толокнянковым и костяничным; 3) слабовыраженный ряд, связанный с третьей осью (рис. 1, справа) от сосняков будровых, через компактную группу остальных сообществ к березово-соснякам ивняковым.
Интерпретация осей шкалирования в фитоиндикационных шкалах (табл. 1) позволяет связать выделенные ценотические ряды с ведущими экологическими факторами. Так, первый ряд связан со сменой режима освещенности под пологом леса от полуосветленного к полутеневому и типа увлажнения от более аридного к более гумидному. Эти смены определяются, в первую очередь, разным типом экологической структуры древостоев лесных экосистем [17]. Два ценотических ряда по второй оси ординации различаются по условиям освещенности под пологом (первая ось) и определяются как ряды замещения биотопов более влажных с переменным увлажнением на менее кислых богатых солями и азотом менее аэрированных почвах на биотопы кислых бедных хорошо аэрированных почв с более сухим и контрастным увлажнением. Наконец, третий ряд замещения связан с низкими температурами в зимний период.
Ординация биотопов выделенных сообществ в пространстве фитоиндикационных шкал (табл. 2) показала, что в среднем биотопы бора характеризуются следующими режимами абиотических факторов:
– режим почвенного увлажнения сухолесолуговой преимущественно атмосферного типа с умеренно переменным увлажнением, полным промачиванием весной и небольшим дефицитом увлажнения во второй половине лета;
– слабокислые достаточно богатые солями бедные минеральным азотом умеренно аэрированные почвы с незначительным содержанием карбонатов;
– климатопы суббореально-неморального переходного типа резко континентальные семигумидного типа с умеренно суровыми зимами с полуосветленным режимом освещенности.
Указанные режимы соответствуют определенным в рамках предыдущих исследований экологическим режимам биотопов бора [18; 19] и являются характерными для сосняков кисличных и пырейно-земляничных, березово-сосняков и сосняков земляничных и осиново-сосняков лекарственнокупеновых.
Специфическими показателями экологических режимов биотопов отличается опушечно-полянная кострово-мятликово-овсяницевая ассоциация. Выделенные лесные ассоциации характеризуются следующими особенностями биотопов:
– сосняк шиповниково-земляничный – наиболее резкими амплитудами колебаний температур;
– березняк кисличный – наибольшими показателями переменности увлажнения, содержания азота в почве и самыми мягкими зимними температурами;
– березово-сосняк пятитычинковоивняковый – наибольшими показателями почвенного увлажнения (сыролесолуговой) на слабо аэрированных почвах с наименьшим содержанием кальция;
– ильмовник хвощевый – полутеневой экологической структурой древостоя и наименее резкими амплитудами колебаний температур;
– сосняки костянично-земляничный и землянично-лекарственнокупеновый – наименьшими показателями переменности увлажнения;
– сосняк костяничный – наиболее аэрированные эдафотопы;
– сосняк толокнянковый – наименьший режим почвенного при наибольшем режиме атмосферного увлажнения, наиболее кислые, бедные солями и азотом наиболее аэрированные эдафотопы;
– сосняк будровый – самые жесткие зимние температуры.
Таблица 1 – Идентификация осей многомерного шкалирования сообществ Челябинского городского бора
Оси | Режимы факторов | |||||||||||
hd | fh | rc | sl | Ca | nt | ae | tm | om | Kn | Cr | lc | |
NMS1 | 0,28 | –0,07 | 0,09 | –0,33 | –0,20 | 0,07 | 0,28 | 0,22 | 0,56 | –0,24 | –0,18 | –0,73 |
NMS2 | –0,52 | –0,52 | –0,45 | –0,45 | 0,26 | –0,77 | –0,68 | –0,50 | 0,22 | 0,30 | –0,26 | –0,01 |
NMS3 | 0,07 | 0,10 | 0,07 | 0,18 | –0,07 | 0,16 | 0,18 | 0,28 | –0,26 | –0,18 | 0,41 | 0,24 |
Примечание. Полужирным выделены статистически значимые величины тау-Кендалла, расшифровка режимов в тексте.
Таблица 2 – Фитоиндикация биотопов Челябинского городского бора, баллы
Ассоциация | Режимы факторов | |||||||||||
hd | fh | rc | sl | Ca | nt | ae | tm | om | Kn | Cr | lc | |
1 | 11,2 | 6,3 | 7,5 | 7,1 | 7,2 | 5,3 | 6,4 | 8,2 | 12,9 | 8,9 | 7,6 | 7,2 |
2 | 11,3 | 6,4 | 7,5 | 7,4 | 6,8 | 5,7 | 6,5 | 7,9 | 12,7 | 9,3 | 7,5 | 7,2 |
3 | 11,2 | 6,4 | 8,0 | 7,7 | 7,3 | 5,8 | 6,5 | 8,2 | 12,0 | 8,9 | 7,7 | 7,4 |
4 | 12,2 | 7,0 | 7,4 | 7,5 | 6,6 | 6,3 | 7,7 | 8,2 | 12,8 | 8,6 | 7,9 | 7,2 |
5 | 11,8 | 6,7 | 7,4 | 7,2 | 6,7 | 6,0 | 7,1 | 8,1 | 12,8 | 8,9 | 7,4 | 7,0 |
6 | 14,4 | 6,3 | 7,6 | 6,9 | 6,1 | 5,9 | 9,4 | 8,2 | 13,0 | 8,9 | 7,5 | 7,0 |
7 | 12,6 | 6,8 | 7,4 | 6,6 | 6,8 | 5,7 | 7,8 | 8,1 | 13,3 | 8,2 | 7,8 | 6,1 |
8 | 11,2 | 6,3 | 7,1 | 6,9 | 7,0 | 5,4 | 6,5 | 8,1 | 13,1 | 8,7 | 7,6 | 7,0 |
9 | 11,7 | 6,0 | 7,2 | 6,6 | 6,6 | 5,2 | 6,8 | 7,9 | 13,1 | 8,9 | 7,3 | 6,7 |
10 | 11,2 | 6,4 | 7,3 | 6,8 | 7,0 | 5,1 | 6,2 | 7,9 | 13,0 | 9,1 | 7,4 | 6,7 |
11 | 11,0 | 6,2 | 6,9 | 6,3 | 6,7 | 4,6 | 6,2 | 7,8 | 13,4 | 9,1 | 7,4 | 7,0 |
12 | 11,3 | 6,2 | 7,4 | 6,7 | 6,9 | 5,0 | 6,4 | 7,9 | 12,8 | 9,1 | 7,7 | 7,2 |
13 | 11,3 | 6,1 | 7,4 | 6,7 | 6,9 | 5,4 | 6,5 | 8,2 | 13,2 | 9,1 | 7,4 | 6,5 |
14 | 11,7 | 6,2 | 7,5 | 6,7 | 6,7 | 5,8 | 6,9 | 8,0 | 13,3 | 9,0 | 7,2 | 6,4 |
15 | 11,3 | 6,4 | 7,6 | 6,9 | 6,9 | 5,4 | 6,8 | 8,2 | 13,0 | 8,8 | 7,6 | 6,8 |
Среднее: | 11,4 | 6,3 | 7,3 | 6,9 | 6,8 | 5,4 | 6,7 | 8,0 | 13,0 | 9,0 | 7,5 | 6,9 |
Примечание. Нумерация сообществ соответствует нумерации в тексте, расшифровка режимов в тексте.
Таким образом, ординация выделенных ассоциаций в пространстве абиотических факторов показала специфичность формирования биотопов бора. Это дополнительно подтверждается результатами дискриминантного анализа в эколого-ценотическом пространстве. Правильность классификации биотопов выделенных ассоциаций составила 92,7% при 100% правильности для большинства ассоциаций. Наименее специфичные биотопы определяются для сосняков костяничных (50%), которые близки к биотопам сосняков землянично-лекарственнокупеновым. Ведущими факторами, определяющими специфику биотопов, по результатам дискриминантного анализа являются ценотические (оси NMS) и режимы освещенности и атмосферного увлажнения (тип экологической структуры древостоя), а также режимы почвенной аэрации и амплитуда колебаний температур.
Ординация биотопов в эколого-ценотическом пространстве (рис. 2) подтверждает наличие рядов ценотического и биотопического замещения.
Рисунок 2 – Ординация растительности Челябинского городского бора в эколого-ценотическом пространстве: А – расстояние Махаланобиса (показан квадрат расстояния), Б – первые оси дискриминантного анализа (Root1 и Root2); нумерация сообществ соответствует нумерации в тексте
Так, ординация в пространстве расстояния Махаланобиса, выполненная методом максимального корреляционного пути или корреляционных плеяд [20], показала наличие трех биотопических центров (рис. 2: А): во-первых, сосняков пырейно- и костянично-земляничных, во-вторых, сосняков костяничных и землянично-лекарственнокупеновых и, в-третьих, слабо выраженный центр березняков и сосняков кисличных. Фактически же, выделенные лесные ассоциации формируют один ряд ценотически-биотопического замещения (рис. 2: Б), определяемый режимами освещенности и атмосферного увлажнения или сменой типов экологической структуры древостоя. Специфической ценотической структурой характеризуются травянистые ассоциации опушечно-полянных комплексов (6).
Выводы
Флористический состав и ценотическая структура растительных сообществ Челябинского городского бора характеризуется значительной антропогенной трансформацией, при которой в растительные ассоциации активно внедряются опушечно-луговые, сорные и синантропные виды, которые натурализуются и вытесняют из ценозов классические боровые виды. Синантропизация флоры исследованных сообществ бора составляет 32%.
Методами многомерной статистики по структуре доминирования ведущих древесных и кустарниковых пород и видов травостоя определено 15 ассоциаций растительности. Выделенные ассоциации характеризуются экологически специфичными условиями формирования биотопов, структурой доминирования, константными видами и ценотической структурой, а также специфическими режимами ведущих экологических факторов.
Биотопы выделенных ассоциаций растительности Челябинского городского бора характеризуются однородными режимами экологических факторов без значительных их колебаний. Режим почвенного увлажнения биотопов сухолесолуговой преимущественно атмосферного типа с умеренно переменным увлажнением, полным промачиванием весной и небольшим дефицитом увлажнения во второй половине лета. Эдафотопы бора преимущественно слабокислые достаточно богатые солями бедные минеральным азотом умеренно аэрированные почвы с незначительным содержанием карбонатов. Боровые климатопы резко континентальные суббореально-неморального переходного термического и семигумидного типа увлажнения с умеренно суровыми зимами и полуосветленным режимом освещенности.
Выделяется три ценотических и биотопических центра лесной растительности бора. Формирование ценотической структуры лесных сообществ Челябинского городского бора определяется типом экологической структуры древостоев, определяющей смены режима освещенности под пологом леса от полуосветленного к полутеневому и типа увлажнения от более аридного к более гумидному. Под влиянием этих факторов изученные ассоциации и их биотопы формируют единый ряд ценотически-биотопического замещения. Также определяются ряды замещения биотопов и растительных ассоциаций от более влажных с переменным увлажнением на менее кислых богатых солями и азотом менее аэрированных почвах на биотопы кислых бедных хорошо аэрированных почв с более сухим и контрастным увлажнением.
About the authors
Nazar Nikolayevich Nazarenko
South Ural State Humanitarian Pedagogical University
Email: nnazarenko@hotmail.com
doctor of biological sciences, professor of Chemistry, Ecology and Chemistry Methodology Department
Russian Federation, ChelyabinskMaria Dmitrievna Novgorodova
South Ural State Humanitarian Pedagogical University
Author for correspondence.
Email: jonp@mail.ru
student of Natural Sciences and Technologies Faculty
Russian Federation, ChelyabinskReferences
- Потапова Н.А., Назырова Р.И., Забелина Н.М., Исаева-Петрова Л.С., Коротков В.Н., Очагов Д.М. Сводный список особо охраняемых природных территорий Российской Федерации (справочник) / отв. ред. Д.М. Очагов. Ч. 2. М.: ВНИИприроды, 2006. 364 с.
- Сысоев А.Д. Челябинский бор. Челябинск: Южно-Уральское книжное издательство, 1968. 48 с.
- Самарин В.П., Волгин А.М. Ленточные боры Челябинской области и некоторые вопросы их сохранения // Флора и растительность Урала и пути их охраны. Челябинск: ЧГПИ, 1983. С. 15-21.
- Строкова Н.Л., Мейлах Э.В. Челябинский городской бор как рекреационный ресурс, рекреационная дигрессия бора // Проблемы рационального природопользования и устойчивого развития Челябинской области: сборник научных статей конф. 22-23 декабря 1999 г., г. Челябинск, Российская Федерация. Челябинск: ЧГПИ, 1999. С. 73-75.
- Белов С.А. Влияние рекреационной доступности на степень антропогенной трансформации Челябинского городского бора // Строительство и экология: теория, практика, инновации: сборник докладов I междунар. науч.-практ. конф. 09-10 марта 2015 г., г. Челябинск, Российская Федерация. Челябинск: ПИРС, 2015. С. 264-268.
- Беляев С.А., Манторова Г.Ф. Рекреационная нагрузка и благоустройство функциональных зон Челябинского городского бора // Наука ЮУрГУ: мат-лы 70-й науч. конф. 25 апреля - 4 мая 2018 г., г. Челябинск, Российская Федерация. Челябинск: Издательский центр ЮУрГУ, 2018. С. 47-54.
- Мискина Л.В. Челябинский городской бор как природно-рекреационный парк // Проблемы географии Урала и сопредельных территорий: мат-лы IV всерос. науч.-практ. конф. с междунар. участием. 19-21 мая 2016 г., г. Челябинск, Российская Федерация. Челябинск: Край Ра, 2016. С. 183-185.
- Методы изучения лесных сообществ. СПб.: НИИ Химии СПбГУ, 2002. 240 с.
- Ханина Л.Г., Смирнов В.Э., Бобровский М.В. Новый метод анализа лесной растительности с использованием многомерной статистики (на примере заповедника Калужские засеки) // Бюллетень МОИП. Отд. биологический. 2002. Т. 107, вып. 1. С. 40-47.
- McCune B., Grace J.B. Analysis of Ecological Communities. MjM SoftWare Design, 2002. 300 p.
- Hardle W., Simar L., Applied multivariate statistical analysis. Springer, Berlin-Heidelberg. 2007. 486 p.
- Legendre L., Legendre P. Numerical ecology. Amsterdam: Elsevier Science B.V., 1998. 853 p.
- Didukh Ya.P. The ecological scales for the species of Ukrainian flora and their use in synphytoindication. Kyiv: Phytosociocentre, 2011. 176 p.
- Persson S. Ecological indicator values as an aid in the interpretation of ordination diagrams // Journal of Ecology. 1981. Vol. 69, № 1. P. 71-84.
- Заугольнова Л.Б. Иерархический подход к анализу лесной растительности малого речного бассейна (на примере Приокско-террасного заповедника) // Ботанический журнал. 1999. Т. 84, № 8. С. 42-56.
- Бурда Р.И. Антропогенная трансформация флоры. К.: Наукова думка, 1991. 168 с.
- Бельгард А.Л. Степное лесоведение. М.: Лесная промышленность, 1974. 336 с.
- Ильин Е.Н., Назаренко Н.Н. Биотопы лесных насаждений регионального памятника природы «Челябинский городской бор» // Вестник Тамбовского университета. Серия: Естественные и технические науки. 2017. Т. 22, № 5. Ч. 1. С. 896-901.
- Назаренко Н.Н. Разнообразие биотопов ботанического памятника природы «Челябинский городской бор» // Тобольск научный - 2018: мат-лы XV всерос. (с междунар. участием) науч.-практ. конф. (г. Тобольск, 15-16 ноября 2018 г.). Т. 1. Тобольск: ООО ИПЦ «Экспресс», 2018. С. 50-53.
- Терентьев П.В. Метод корреляционных плеяд // Вестник Ленинградского государственного университета. 1959. № 9. С. 137-141.
Supplementary files




