Vegetation of regional landscape and botanical natural monument «Aland’s Pine Forest» (Kvarkensky area of the Orenburg Region)
- Authors: Nazarenko N.N.1, Pokhlebayev S.M.1, Ismukhambetov A.A.1
-
Affiliations:
- South Ural State Humanitarian Pedagogical University
- Issue: Vol 11, No 1 (2022)
- Pages: 99-105
- Section: Biological Sciences
- URL: https://snv63.ru/2309-4370/article/view/108329
- DOI: https://doi.org/10.55355/snv2022111112
- ID: 108329
Cite item
Full Text
Abstract
The paper presents a detailed analysis of regional landscape and botanical natural monument «Aland’s Pine Forest» (Kvarkensky area of the Orenburg Region) vegetation. The pine forest vegetation has rather high phytodiversity and dominance indexes. 71 plant vascular species have been identified (3 of them are included in the Red Book of the Orenburg Region (2019)) and 15-species’ pine communities prevail, but steppe species dominate in shrub and herb layers. The authors have revealed that the described pine forests are forest-steppe amphycoenosis. 13 plant associations have been identified by multivariate statistics methods, but their biotopes are not specific by fundamental abiotic factors. The authors have also established that forest conditions of Aland’s Pine Forest are of AB₁ and AB₁₋₂ types and light type of stand of trees structure by A.L. Betgard steppe forest typology. The detected pine vegetation associations form ordination series – sylvatic of steppe pine forest with wheat-grass (Elytrigia repens (L.) Nevski) and amphycoenotic of steppe pine forest with steppe herbs. The principal abiotic factors for pine forests coenotic structure forming are soil calcium and nitrogen regimes, soil moistening and acidity and porosity (aeration) of soils. Factors of biotope discrimination are thermal climate (radiation balance), cryoclimate (negative winter temperature), brightness regime and saline regime of soils.
Full Text
Введение
Степные леса являются уникальными экосистемами, формирующимися и произрастающими в условиях резкого географического несоответствия леса существующим климатическим условиям [1]. При этом сами экосистемы степных лесов представляют собой уникальные амфиценозы (в понимании А.Л. Бельгарда [1]), в которых одновременно представлены степной и лесной типы потоков вещества и энергии, соответственно, формируется уникальная экологическая структура и флористический состав, включающий в себя на равных правах как лесные, так и степные элементы.
Примером таких экосистем и являются степные леса Южного Урала, в частности крайнего востока Оренбургской области, в том числе Кваркенского района (одного из самых восточных) Оренбургской области, который граничит с Башкирией, Челябинской областью и на востоке – с Костанайской областью Республики Казахстан. Район в геоботаническом отношении расположен на границе северных разнотравно-типчаково-ковыльных степей на черноземах обыкновенных и типичных типчаково-ковыльных степей на черноземах южных [2]. Климат района резко континентальный с холодной, малоснежной зимой (до −16,5°С) и жарким (до +36,7°С) летом, быстрым переходом от зимы к лету, неустойчивым (от 137 до 478 мм годовой суммы) количеством атмосферных осадков, значительным преобладанием испарения над увлажнением, низкой относительной влажностью (39–46%) летом и высоким уровнем солнечной радиации. Для лета характерны суховеи и пыльные бури.
При крайне низкой лесистости (около 3%) [2] на северо-востоке района выделяется участок своеобразной «лесостепи», где расположены островные массивы сосновых, березово-сосновых и сосново-лиственничных лесов. Эта Кваркенская лесостепь является «ложной», поскольку лесная растительность здесь соседствует с типично степными и полупустынными ландшафтами и не является зональным явлением, а сами островные леса являются остатками сосново-лиственничных боров и березняков, дошедших до нас со времен ледниковой эпохи.
Примером таких степных островных южноуральских лесов является Аландский бор, находящийся в 2,3 км к северо-востоку от с. Аландское. В настоящий момент бор является действующим ландшафтным и ботаническим региональным памятником природы [3], который включен в «Зеленую книгу Оренбургской области» [4]. Бор площадью 44 га по материалам лесоустройства является 59 кварталом Зеленодольского участкового лесничества и представляет собой шесть отдельных участков-урочищ, три из которых фактически уже сформировали единый лесной массив (рис. 1).
Имеющиеся лесоустроительные материалы, в частности проект лесоустройства и таксационное описание бора, относятся к 1998 году, т.е. фактически к времени организации памятника природы. Соответственно, они не отвечают текущей ситуации: значительно изменились границы выделов (что видно при сопоставлении картограммы выделов с материалами спутниковой съемки – рис. 1) – и требуют актуализации. Также необходима инвентаризация и экологическая паспортизация флоры и растительности бора, поскольку данные о каких-либо исследованиях на его территории после организации памятника природы нами обнаружены не были.
Задачей данной работы является изучение современного состояния растительности и биотопов регионального ландшафтно-ботанического памятника природы «Аландский бор» (Кваркенский район Оренбургской области).
Рисунок 1 – Территория памятника природы «Аландский бор» по материалам лесоустройства (А) и текущее состояние (Б) – белыми цифрами показано сопоставление лесохозяйственных выделов по материалам лесоустройства с проведенным геоботаническим обследованием территории
Объект и методы
Геоботанические исследования на территории Аландского бора проводились в летние периоды 2020–2021 гг. с закладкой пробных площадок и их описанием, согласно общепринятой методике. Пробные площадки в количестве 47 располагались в пределах всех лесохозяйственных выделов с поправкой на современное состояние, полностью охватывая территорию бора. По материалам геоботанических описаний была сформирована база данных. Предварительная классификация описаний выполнялась с использованием кластерного анализа по матрице коэффициента Серенсена-Чекановского с группировкой в кластеры по бета-гибкой стратегии Ланса [5; 6]. Независимо от классификации проводилась ординация описаний методом неметрического многомерного шкалирования [6; 7]. По описаниям рассчитывались индексы фиторазнообразия растительности бора – общая оценка числа видов, индексы Шеннона, Симпсона (доминирования) и Пилу (выровненность) [8; 9]. Оценка биотопов бора выполнялась фитоиндикационными методами по унифицированным экологическим шкалам [10]. Проверка классификации растительности и оценка выделенных биотопов проводилась методами дискриминантного анализа [6] по алгоритму General Discriminant Analysis (GDA). Ведущие абиотические факторы определялись сопоставлением осей дискриминантного анализа и многомерного шкалирования методами непараметрической корреляции [11] с использованием коэффициента тау-Кэндалла.
Все расчеты выполнялись в пакетах прикладных программ MS Excel, Statistica и PC-ORD.
Результаты и обсуждение
Всего в описаниях был отмечен 71 вид сосудистых растений, из которых 3 включены в «Красную книгу Оренбургской области» [12]: истод сибирский (Polygala sibirica L.), кизильник черноплодный (Cotoneaster melanocarpus Fisch. ex Blytt) и очиток гибридный (Sedum hybridum L.). Изученные растительные сообщества по материалам описаний характеризуются сравнительно высоким видовым разнообразием (табл. 1).
Таблица 1 – Характеристика фиторазнообразия растительности Аландского бора
Показатель | Число видов | Индекс Шеннона | Индекс Пилу | Индекс Симпсона |
Среднее | 15 | 2,55 | 0,96 | 0,06 |
Медиана | 15 | 2,62 | 0,96 | 0,06 |
Мода | 15 | 2,80 | 0,97 | 0,05 |
Эксцесс | −0,03 | 0,54 | 17,45 | 4,93 |
Асимметрия | −0,07 | −0,52 | 2,41 | 1,90 |
Минимум | 7 | 1,77 | 0,85 | 0,03 |
Максимум | 23 | 3,25 | 1,00 | 0,17 |
Для растительности бора характерны преимущественно 15-ти видовые растительные сообщества при индексе Шеннона 2,55 с невысокими колебаниями показателей видового обилия (выровненность по Индексу Пилу высокая). Колебания величин самих показателей фиторазнообразия также незначительные. Для бора отмечаются высокие показатели доминирования (небольшие величины индекса Симпсона), что указывает на сообщества с небольшим числом доминантов и содоминантов и их резким преобладанием при небольшом числе полидоминантных растительных группировок (на что указывают показатели асимметрии и эксцесса). Это дает возможность при классификации растительности использовать доминантный подход.
Кластеризация геоботанических описаний позволила выделить 13 фитоценохор, которые могут рассматриваться как лесные растительные ассоциации (виды приведены согласно «Определителю сосудистых растений Оренбургской области» [13]):
1) березо-сосняки иволистодевясилово-обыкновеннолабазниковые (Pinus sylvestris L. + Betula pendula Roth – Inula salicina L. + Filipendula vulgaris Moench);
2) сосняки типчаковые (Pinus sylvestris L. – Festuca valesiaca Gaud.), для ценохоры видами с высокой встречаемостью и обилием также являются Aster amellus L., Veronica incana L., Artemisia vulgaris L.;
3) сосняки кустарниковокараганово-землянично-типчаковые (Pinus sylvestris L. – Caragana frutex (L.) C. Koch – Fragaria vesca L. + Festuca valesiaca Gaud.), видами с высокой встречаемостью также являются Inula salicina, Aster amellus, Galatella villosa (L.) Rchb. f.;
4) березо-сосняки шиповниково-типчаковые (Pinus sylvestris L. + Betula pendula Roth – Rosa majalis Herrm. – Festuca valesiaca Gaud.);
5) березо-сосняки землянично-пырейные (Pinus sylvestris L. + Betula pendula Roth – Fragaria vesca L. + Elytrigia repens (L.) Nevski), видами, характерными для ценохоры, также являются Achillea millefolium L., Aster amellus, Artemisia absinthium L.;
6) сосняки ковыльные (Pinus sylvestris L. – Stipa tirsa Stev.), видами с высокой встречаемостью и обилием также являются Asparagus officinalis L., Inula salicina, Achillea millefolium, Galium ruthenicum Willd., Artemisia absinthium L.;
7) сосняки степновишнево-землянично-пырейные (Pinus sylvestris L. – Cerasus fruticosa (Pall.) Woron. – Fragaria vesca L. + Elytrigia repens (L.) Nevski), видом с высокой встречаемостью в сообществах также является Filipendula vulgaris;
8) сосняки кизильниково-степновишнево-типчаково-пырейные (Pinus sylvestris L. – Cerasus fruticosa (Pall.) Woron. + Cotoneaster melanocarpus Fisch. ex Blytt – Festuca valesiaca Gaud. + Elytrigia repens (L.) Nevski);
9) березо-сосняки кизильниково-степновишнево-обыкновеннолабазниковые (Pinus sylvestris L. + Betula pendula Roth – Cerasus fruticosa (Pall.) Woron. + Cotoneaster melanocarpus Fisch. ex Blytt – Filipendula vulgaris Moench);
10) сосняки кизильниково-пырейные (Pinus sylvestris L. – Cotoneaster melanocarpus Fisch. ex Blytt – Elytrigia repens (L.) Nevski);
11) сосняки полынно-пырейные (Pinus sylvestris L. – Artemisia vulgaris L. + Elytrigia repens (L.) Nevski);
12) сосняки пырейные (Pinus sylvestris L. – Elytrigia repens (L.) Nevski);
13) сосняки землянично-пырейные (Pinus sylvestris L. – Fragaria vesca L. + Elytrigia repens (L.) Nevski).
Как видно по составу доминантных и содоминантных видов, а также видов с наиболее высокой встречаемостью, растительные ассоциации сосняков Аландского бора являются классическими степо-лесными амфиценозами в понимании А.Л. Бельгарда [1]. Разреженный (ажурный) сосновый лесной полог древесного яруса создает осветленный тип экологической структуры, позволяющий типичными степным видам проникать в лесной ценоз и формировать устойчивый травостой.
Для выделенных ассоциаций бора экологическая оценка биотопов по режимам ведущих абиотических факторов: почвенного увлажнения (hd) и его переменности (fh), солевого (sl), азотного (nt) и кислотного (rc), режимов, режима кальция (Са) и почвенной аэрации (аe), термо- (tm) омбро- (оm) и криоклимата (Cr), континентальности (Kn) и освещенности (lc) показала абсолютную их специфичность. Правильность классификации составила 97,9%, только для березо-сосняков иволистодевясилово-обыкновеннолабазниковых (1) она была 83,3%, а для остальных ценохор – 100% точность. По результатам дискриминантного анализа ведущими факторами дискриминации биотопов являются первые три функции неметрического шкалирования (ценотические факторы), два ведущих степных климатических режима – термоклимат и криоклимат (суровость зим или отрицательные зимние температуры), режим освещенности и солевой режим, являющийся одним из определяющих для боровых лесов. Для самих биотопов сосняков Аландского бора каких-либо значимых колебаний режимов ведущих абиотических факторов индикационными методами не определяется (табл. 2) – максимальная вариабельность режимов находится в переделах 1 балла соответствующих шкал, что не показывает даже смену типа режима фактора.
В целом, биотопы бора характеризуются следующими режимами ведущих абиотических факторов:
– почвенное увлажнение лугово-степного (суховатого) типа с умеренным весенним промачиванием атмосферными осадками и дефицитом влаги второй половины лета, наименьшие величины характерны для кустарниковокараганово-землянично-типчаковых, а наибольшие – кизильниково-пырейных сосняков, необходимо отметить, что величины увлажнения по типу лесорастительных условий в материалах лесоустройства бора (2 – свежие) являются завышенными;
– переменность почвенного увлажнения неравномерного (суховатого) типа с незначительным и умеренным промачиванием корнеобитаемого горизонта осадками и талыми водами, наименьшие величины (более глубокое промачивание и меньшая переменность) отмечаются для степновишнево-землянично-пырейных и кизильниково-пырейных сосняков, а наибольшие – сосняков пырейных;
– кислотность почв близка к нейтральной, наибольшие (нейтральные) показатели характерны для сосняков кизильниково-степновишнево-типчаково-пырейных, а наименьшие (смещение к слабокислым) – березо-сосняков шиповниково-типчаковых и землянично-пырейных и сосняков землянично-пырейных;
– солевой режим соответствует режиму достаточно богатых (150–200 мг/л) солями выщелоченных черноземных почв, минимум отмечается в березо-сосняках шиповниково-типчаковых, а максимум – сосняках пырейных;
– для биотопов характерно незначительное содержание почвенного кальция (до 1,5%), наименьшие показатели отмечены для березо-сосняков шиповниково-типчаковых, наибольшие – сосняков пырейных;
– почвы биотопов характеризуются как бедные минеральным азотом (0,2–0,3%), наименьшие величины характерны для сосняков землянично-пырейных и типчаковых, а наибольшие – полынно-пырейных сосняков;
– почвы биотопов определяются как достаточно аэрированные с незначительным промачиванием и высоким содержанием физического песка, колебание режима настолько незначительное, что выделение индикаторных ассоциаций для максимального и минимального типов не целесообразно;
– терморежим близкий к субмезотермному типу, омброрежим (атмосферные осадки) субаридного типа (400–200 мм осадков в год), климат субконтинентальный при умеренно холодных зимах (около −10°С);
– режим освещенности – лесные биотопы осветленного типа экологической структуры (по А.Л. Бельгарду [1]).
Таблица 2 – Фитоиндикационная характеристика биотопов сосняков Аландского бора, балл
Ассоциация | Режим биотопа | |||||||||||
hd | fh | rc | sl | Ca | nt | ae | tm | om | Kn | Cr | lc | |
1 | 9,9 | 5,9 | 8,4 | 7,7 | 7,5 | 5,1 | 6,2 | 8,5 | 12,1 | 9,7 | 7,7 | 7,5 |
2 | 9,6 | 6,1 | 8,4 | 7,7 | 7,3 | 4,9 | 5,9 | 8,3 | 12,0 | 9,9 | 7,6 | 7,6 |
3 | 9,5 | 6,0 | 8,4 | 7,7 | 7,5 | 5,1 | 5,9 | 8,5 | 11,9 | 9,9 | 8,0 | 7,5 |
4 | 10,2 | 6,1 | 7,9 | 7,3 | 7,1 | 5,0 | 6,1 | 8,2 | 12,2 | 9,8 | 7,6 | 7,3 |
5 | 10,2 | 6,2 | 7,9 | 7,4 | 7,3 | 5,2 | 6,0 | 8,3 | 12,6 | 9,2 | 7,9 | 7,5 |
6 | 9,8 | 6,2 | 8,3 | 7,7 | 7,3 | 5,2 | 6,0 | 8,5 | 12,4 | 10,0 | 7,9 | 7,6 |
7 | 9,9 | 5,8 | 8,4 | 7,5 | 7,7 | 5,3 | 6,0 | 8,4 | 12,1 | 9,7 | 7,6 | 7,4 |
8 | 9,8 | 6,0 | 8,5 | 7,9 | 7,9 | 5,3 | 6,1 | 8,5 | 11,5 | 10,1 | 7,6 | 7,5 |
9 | 10,2 | 5,9 | 8,4 | 7,5 | 7,8 | 5,3 | 6,3 | 8,3 | 11,9 | 9,8 | 7,4 | 7,4 |
10 | 10,6 | 5,8 | 8,1 | 7,5 | 7,7 | 5,3 | 6,4 | 8,1 | 12,2 | 9,5 | 7,4 | 7,3 |
11 | 10,1 | 6,2 | 8,2 | 7,6 | 7,6 | 5,4 | 6,0 | 8,1 | 11,9 | 9,7 | 7,7 | 7,5 |
12 | 9,8 | 6,5 | 8,3 | 8,0 | 8,1 | 5,1 | 6,1 | 7,9 | 11,5 | 10,2 | 7,2 | 7,4 |
13 | 9,9 | 6,2 | 7,9 | 7,5 | 7,5 | 4,9 | 5,9 | 8,3 | 11,9 | 9,9 | 7,5 | 7,5 |
Неметрического многомерное шкалирование биотопов по показателям стресса определяет три оси ординации, которые статистически значимо коррелируют с несколькими ведущими абиотическими факторами (табл. 3), позволяющими определить ценотические ряды сосняков бора. Первая ось представляет собой ряд разреженно-лесных сосновых сообществ, переходных к сообществам полян и опушек. Вторая ось ординации связана с ростом почвенного увлажнения и кислотности почв, уменьшением термо- и криорежима (уменьшение радиационного баланса и зимних температур) и снижением освещенности. Это ряд сильватизации, связанный с формированием лесных сообществ борового типа со сплошным сосновым пологом. Для третьей оси шкалирования характерны рост кислотности, уменьшение почвенного кальция и азота, нарастание порозности (аэрированности) почв при уменьшении минимальных зимних температур и росте освещенности. В данном случае это ось перехода лесных амфиценозов к открытым степным ассоциациям.
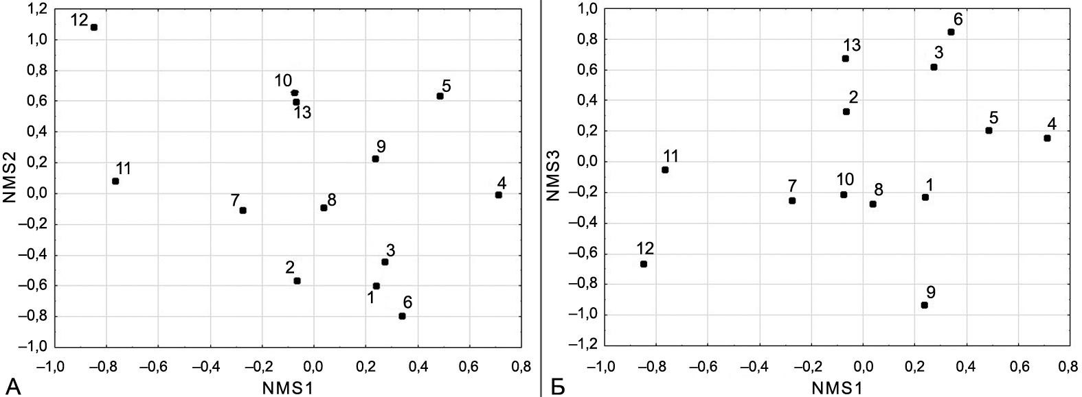
Ценотическая ординация выполнялась в трех осях неметрического многомерного шкалирования (NMS) (рис. 2).
В первых двух осях ассоциации сосняков Аландского бора формируют два параллельных ряда ценотического замещения (слева-направо сверху-вниз): 1) «верхний ряд» сосняки пырейные (12) – кизильниково-пырейные (10) и землянично-пырейные (13) – березо-сосняки кизильниково-степновишнево-обыкновеннолабазниковые (9) – землянично-пырейные (5) – шиповниково-типчаковые (4); 2) «нижний ряд» сосняки полынно-пырейные (11) – степновишнево-землянично-пырейные (7) – кизильниково-степновишнево-типчаково-пырейные (8) – типчаковые (2) – кустарниковокараганово-землянично-типчаковые (3) – березо-сосняки иволистодевясилово-обыкновеннолабазниковые (1) – ковыльные (6). Первый ценотический ряд – это, по сути, сукцессионный условно «сильвантный» ряд степных сосняков до смешанных березо-сосняков амфиценотической структуры. Второй ценотический ряд – также сукцессионный, но амфиценотический. По первой и третьей оси данные ряды не выражены, определяются только группы ассоциаций, входящих в вышеуказанные ряды замещения.
В эколого-ценотическом пространстве ординация биотопов ассоциаций растительности выполнялись по матрице квадрата расстояния Махаланобиса методом максимального корреляционного пути [14] (рис. 3: А) и в пространстве первых двух дискриминантных функций (рис. 3: Б).
Ординация в пространстве Махаланобиса показала наличие трех биотопических центров, образующий единый ряд замещения (рис. 3: А). Условный биотопический «центр» лесных сообществ Аландского бора формируют березо-сосняки обыкновеннолабазниковые (1, 9) с сосняками степновишнево-пырейными (7, 8). От них в одну сторону идет ряд остепнения и нарастания амфиценотичности и образуется второй амфиценотичный степной «центр» биотопов сосняков типчаковых (2, 3) и ковыльных. В другую сторону через сосняки кизильниково-пырейные (10) идет ряд сильватизации с «центром» биотопов землянично-пырейных сосняков и березо-сосняков (5, 13). Наиболее специфическими в эколого-ценотическом отношении являются сосняки пырейные (12), резко отличающиеся по эколого-ценотической структуре от прочих лесных сообществ.
Ординация же в эколого-ценотическом пространстве (первых двух дискриминантных функций) позволяет уточнить, что определенный в пространстве Махаланобиса ряд эколого-ценотического замещения является двумя связанными рядами (рис. 3: Б): 1) сильвантным степных сосновых и березово-сосновых пырейных боров (5, 13, 11, 10, 12) и 2) амфиценотическим степных сосняков и березо-сосняков.
Таблица 3 – Идентификация осей многомерного шкалирования сосняков Аландского бора
Оси | Режим биотопа | |||||||||||
hd | fh | rc | sl | Ca | nt | ae | tm | om | Kn | Cr | lc | |
NMS_1 | 0,13 | −0,03 | −0,07 | −0,14 | −0,27 | −0,20 | 0,02 | 0,20 | 0,28 | 0,00 | 0,18 | −0,07 |
NMS_2 | 0,36 | 0,15 | −0,38 | −0,17 | 0,13 | 0,18 | 0,14 | −0,47 | −0,01 | −0,06 | −0,41 | −0,20 |
NMS_3 | −0,14 | 0,19 | −0,24 | −0,04 | −0,35 | −0,25 | −0,40 | 0,05 | 0,16 | 0,07 | 0,30 | 0,25 |
Примечание. Полужирным выделены статистически значимые величины тау-Кендалла.
Рисунок 2 – Ординация ассоциаций сосняков Аландского бора в осях неметрического многомерного шкалирования (NMS_1, NMS_2, NMS_3)
Рисунок 3 – Ординация биотопов ассоциаций сосняков Аландского бора: А – методом максимального корреляционного пути (цифрами указан квадрат расстояния Махаланобиса); Б – в первых осях дискриминантных функций (Root_1, Root_2)
Выводы
Таким образом, проведено детальное современное геоботаническое обследование территории регионального ландшафтно-ботанического памятника природы «Аландский бор». Установлено наличие 71 вида сосудистых растений, три из которых включены в Красную книгу Оренбургской области (2019).
Сосняки Аландского бора представляют собой степные леса амфиценотического типа (по А.Л. Бельгарду), характеризующиеся преимущественно 15-ти видовыми ценозами с высокими показателями фиторазнообразия и небольшим количеством доминант.
Для Аландского бора с использованием методов многомерной статистики определено 13 сосновых и березово-сосновых растительных ассоциаций. Амфиценотичность растительности бора подтверждается тем, что в этих лесах под разреженным (ажурным) древесным ярусом кустарниковый и травяной ярус формируют преимущественно типичные степные виды.
Определены ведущие абиотические факторы биотопов выделенных ассоциаций растительности Аландского бора. Установлено, что показатели режимов абиотических факторов крайне слабо варьируют, лесорастительные условия бора сравнительно однообразные, а различия биотопов определяются в первую очередь ценотическими особенностями растительного покрова. Указанный в материалах последнего лесоустройства тип лесорастительных условий В₂ (для одного из выделов С₂) не соответствует выполненной оценке биотопов. Современные лесорастительные условия Аландского бора больше отвечают типам АВ₁ и АВ₁₋₂ осветленного типа экологической структуры древостоев в рамках типологии степных лесов А.Л. Бельгарда.
Определены ведущие факторы дискриминации лесных биотопов Аландского бора – это ценотические факторы, определяющие процессы сильватизации и формирования боровой ценотической структуры, с одной стороны, и с другой – формирование степо-лесных и лесо-степных амфиценозов сосновых степных боров. Среди климатических факторов ведущими являются термоклимат (радиационный баланс), криоклимат (суровость зим или отрицательные зимние температуры) и режим освещенности, среди эдафических – солевой режим. Факторами, определяющими ценотическую структуру лесной растительности бора, являются также режим почвенного кальция и азота, почвенное увлажнение, кислотность почв и порозность (аэрированность) почв. Под влиянием этих факторов формируются ряды биотопического и ценотического замещения (сукцессионные ряды) боров: амфиценотический степных сосняков с травостоем из классических степантов и условно «сильвантный» ряд пырейных степных сосновых боров.
About the authors
Nazar Nikolayevich Nazarenko
South Ural State Humanitarian Pedagogical University
Email: nnazarenko@hotmail.com
doctor of biological sciences, professor of Chemistry, Ecology and Chemistry Methodology Department
Russian Federation, ChelyabinskSergey Mikhailovich Pokhlebayev
South Ural State Humanitarian Pedagogical University
Email: istina48@mail.ru
doctor of pedagogical sciences, professor of General Biology and Physiology Department
Russian Federation, ChelyabinskArthur Amerovich Ismukhambetov
South Ural State Humanitarian Pedagogical University
Author for correspondence.
Email: artur.ismuhambetov.99@bk.ru
student of Natural Sciences and Technologies Faculty
Russian Federation, ChelyabinskReferences
- Бельгард А.Л. Степное лесоведение. М.: Лесная промышленность, 1971. 336 с.
- Чибилев А.А. Природное наследие Оренбургской области. Оренбург: Оренбургское книжное издательство, 1996. 384 с.
- Потапова Н.А., Назырова Р.И., Забелина Н.М., Исаева-Петрова Л.С., Коротков В.Н., Очагов Д.М. Сводный список особо охраняемых природных территорий Российской Федерации (справочник). Ч. II / отв. ред. Д.М. Очагов. М.: ВНИИприроды, 2006. 364 с.
- Зеленая книга Оренбургской области: Кадастр объектов оренбургского природного наследия / под науч. ред. А.А. Чибилева. Оренбург: Издательство «ДиМур», 1996. 260 с.
- Ханина Л.Г., Смирнов В.Э., Бобровский М.В. Новый метод анализа лесной растительности с использованием многомерной статистики (на примере заповедника «Калужские засеки») // Бюллетень Московского общества испытателей природы. Отдел биологический. 2002. Т. 107, № 1. С. 40-48.
- McCune B., Grace J.B. Analysis of ecological communities. MjM SoftWare Design, 2002. 300 p.
- Legendre L., Legendre P. Numerical ecology. Amsterdam: Elsevier Science B.V., 1998. 853 p.
- Мэгарран Э. Экологическое разнообразие и его измерение / пер. с англ. Н.В. Матвеевой; под ред. Ю.И. Чернова. М.: Мир, 1992. 184 с.
- Тихомиров В.Н. Методы анализа биологического разнообразия. Минск: БГУ, 2009. 87 с.
- Didukh Ya.P. The ecological scales for the species of Ukrainian flora and their use in synphytoindication. Kiev: Phytosociocentre, 2011. 176 p.
- Persson S. Ecological indicator values as an aid in the interpretation of ordination diagrams // Journal of Ecology. 1981. Vol. 69, № 1. P. 71-84.
- Красная книга Оренбургской области: Редкие и находящиеся под угрозой исчезновения виды животных, растений и грибов. Воронеж: ООО «Мир», 2019. 488 с.
- Рябинина З.Н., Князев М.С. Определитель сосудистых растений Оренбургской области. М.: Товарищество научных изданий КМК, 2009. 758 с.
- Терентьев П.В. Метод корреляционных плеяд // Вестник Ленинградского государственного университета. 1959. № 9. С. 137-141.
Supplementary files





