Vegetation dynamics under non-strong agricultural impact (by the example of Oktyabrsk village environs in the Uchalinskiy District of the Republic of Bashkortostan)
- Authors: Nazarenko N.N.1, Batyusheva S.Y.1
-
Affiliations:
- South Ural State Humanitarian Pedagogical University
- Issue: Vol 10, No 1 (2021)
- Pages: 121-127
- Section: General Biology
- URL: https://snv63.ru/2309-4370/article/view/70325
- DOI: https://doi.org/10.17816/snv2021101119
- ID: 70325
Cite item
Full Text
Abstract
Vegetation and its biotopes that are transitional between ruderal and natural ones have been researched in Oktyabrsk village environs (Uchalinskiy District of the Republic of Bashkortostan). The studied vegetation is characterized by rather low biodiversity values and high values of dominance – 56 species of vascular plants are identified, 10-species plant communities with 2–3 clear identified dominant and co-dominant species prevail. Ruderal species are dominant and co-dominant for the majority of plant communities. Fifteen plant associations and specific biotopes have been defined by multivariate statistics methods. The identified associations are phytometers for detected principal abiotic factors. The detected associations form ordination series – the authors have identified three biotopical centers (ruderal, birch forest and steppe), three biotopical series and three coenotic series, which are associated with high and temperate pasture loading levels and pasture digression series, forming an integrated succession system of the studied territory. It has been established that principal factors of associations forming is pasture loading level and the principal factors of biotopes forming are soil moistening and its variability, ombroregime (humidification level), termoregime and regime of continentality (temperature-varying amplitude).
Full Text
Введение
В современной экологии необходимо отметить два ведущих направления изучения растительного покрова. В первую очередь это наиболее широко распространенные исследования естественных или условно (как минимум не фиксируются видимые антропогенные воздействия) ненарушенных растительных сообществ. Второй подход менее распространен и связан с исследованием антропогенной растительности. Научных школ, представляющих второе направление, в России сравнительно немного [1]. Среди них особенно выделяется Республика Башкортостан, геоботаническая школа Б.М. Миркина которой является не только одной из первой, начавшей заниматься этой проблематикой, но и наиболее полно изучила рудеральную и синантропную растительность региона [2–6], в том числе рудеральную растительность башкирского Зауралья [7–9].
Указанные исследования проводятся на основе флористической школы Браун-Бланке, а выделяются синтаксоны растительности хоть и с использованием градиентного анализа, но без детальной оценки биотопов полученных растительных единиц. Также для Зауралья необходимо отметить, что при исследовании Учалинского района Башкортостана [7] оценивалась растительность населенных пунктов, куда одна из самых крайних восточных точек – деревня Октябрьск – включена не была, а сами исследования за пределами населенных пунктов проводились преимущественно в пределах сельскохозяйственных угодий и залежных земель [8; 9].
Рассматривая вопрос об антропогенной трансформации растительности в Башкирии, необходимо отметить следующее. В 1980-е годы, в связи с активным сельскохозяйственным производством советского периода, территория Учалинского района относилась к северному зауральскому низкогорному агропочвенному округу, который характеризовался сравнительно низкой (около 56%) освоенностью территорией и низкой распаханностью (около 24%) [2], что обусловливало сравнительно «мягкий» характер воздействия сельскохозяйственного производства на растительный покров.
В дальнейшем, в результате экономических преобразований и изменения системы земледелия (введение безотвальной вспашки, фактический отказ от севооборотов и снижение использования агрохимикатов) и уменьшения площади пахотного клина, преимущественно за счет склоновых земель, уровень антропогенного воздействия стал еще ниже [8]. Это характерно и для территории окрестностей деревни Октябрьск, где площадь ежегодной распашки уменьшилась, преобладают ежегодные посевы кукурузы, но при этом высокого роста пестицидной нагрузки, отмечаемой башкирскими исследователями [8], не наблюдается.
Также изменился характер животноводства: произошел массовый уход от общественных стад и формирование личных, что привело как к некоторому снижению, так и к равномерному распространению пастбищной нагрузки [8]. При этом в окрестностях деревни Октябрьск нами отмечается преобладание небольших стад в 30 голов и снижение пастбищной нагрузки, но выпас личного скота перешел с пастбищных угодий на естественные травянистые сообщества. И продолжился (хоть и в меньшей степени) ранее распространенный в степной Башкирии [2; 8] выпас по окраинам лесных массивах и в лесных колках.
Все это обусловливает хоть «мягкую», но постоянную антропогенную (ежегодный с мая по ноябрь выпас, сбор недревесных растительных ресурсов) нагрузку на существующие естественные лесные и травянистые сообщества, которые трансформируются в экосистемы переходного типа между рудеральными и природными [5]. Таким образом, необходимы комплексные сравнительные исследования растительных сообществ этого типа (а не только сегетальных и «чистых» рудеральных), находящихся в условиях указанного «мягкого» сельскохозяйственного воздействия.
Задачей данной работы является оценка растительности и биотопов, переходных между рудеральным и природным типами, в окрестностях деревни Октябрьск Учалинского района Республики Башкортостан.
Объект и методы
Учалинский район Республики Башкортостан расположен в северной части Башкирского Зауралья по восточному склону хребта Урал-тау и смежным частям грядово-мелкосопочной Зауральской равнины и относится к степной зоне [5]. Деревня Октябрьск расположена недалеко от границы с Челябинской областью, а ее окрестности характеризуются низкой лесистостью. Леса представлены березовыми колками и относительно крупным лесным массивом естественного происхождения к западу от деревни, где главной породой является береза (Betula pendula Roth) среднего возраста 40 лет и высотой от 10 до 20 метров. Подобные мелколиственные леса башкирскими исследователями считаются вторичными и относят к классу Querco-Fagetea [5].
Растительность березняков окрестностей дер. Октябрьск нами рассматривалась ранее [10]: выделены 12 сообществ, выполнена оценка их биотопов и определено два сукцессионных процесса – дигрессии лесных сообществ в луговые в результате разрежения лесного полога, а также обратный процесс демутации (сильватизации). Нелесная растительность представлена преимущественно северными степями с ковылем перистым (Stipa pennata L. s.l.), а также суходольными лугами с овсяницей луговой (Festuca pratensis Huds.) и тимофеевкой луговой (Phleum pratense L.). Особенностью растительных сообществ является постоянное антропогенное воздействие в результате ежегодного выпаса крупного рогатого скота в летнее время года.
Исследования проводились в летние периоды 2019–2020 годов с закладкой пробных площадок и их описанием, согласно общепринятой методике. Выполненные описания сводились в единую базу данных, куда были внесены также и описания березняков, проанализированные ранее [10] с целью уточнения классификации. Обработка описаний выполнялась кластерным анализом по матрице коэффициента Серенсена-Чекановского с группировкой по бета-гибкой стратегии Ланса [11; 12]. Ординация описаний проводилась методом неметрического многомерного шкалирования [12; 13]. Биотопы оценивались фитоиндикационными методами по унифицированным шкалам [14]. Выделенные сообщества и биотопы проверялись методами дискриминантного анализа [12] по алгоритму General Discriminant Analysis (GDA). Ведущие абиотические факторы определялись по интерпретации [15] осей дискриминантного анализа и многомерного шкалирования с использованием коэффициента тау-Кэндалла. Также выполнялась оценка биотического разнообразия растительности с использованием классических коэффициентов альфа-разнообразия [16; 17].
Все расчеты выполнялись в пакетах прикладных программ MS Excel, Statistica и PC-ORD.
Результаты и обсуждение
Оценка видового разнообразия исследованной растительности окрестностей дер. Октябрьск показала наличие в описаниях 56 видов сосудистых растений. Сами изученные растительные сообщества характеризуются сравнительно низким видовым разнообразием (табл. 1).
Таблица 1 – Показатели фиторазнообразия экосистем окрестностей дер. Октябрьск
Показатели | Число видов | Индекс Шеннона | Индекс Пилу | Индекс Симпсона |
Среднее | 8 | 1,93 | 0,96 | 0,13 |
Минимум | 3 | 0,96 | 0,84 | 0,06 |
Максимум | 13 | 2,52 | 1,00 | 0,33 |
Медиана | 9 | 2,10 | 0,97 | 0,09 |
Мода | 10 | 2,17 | 0,99 | 0,14 |
Эксцесс | −1,07 | −0,58 | 2,52 | 1,51 |
Асимметрия | −0,18 | −0,67 | −1,61 | 1,40 |
Чаще всего встречаются 10-видовые сообщества при среднем числе видов 8 и индексе Шеннона 1,93. Колебания числа видов и показателей их обилия незначительные (выровненность по индексу Пилу высокая), также для обследованной территории, судя по величинам асимметрии и эксцесса, наблюдается смещение к сообществам 10-видовым и выше, имеющим близкие показатели обилия видов. Но при этом также определяется высокий показатель доминирования (индекс Симпсона) – представленные сообщества имеют один, реже два вида с высокими показателями обилия со смещением к однодоминантным сообществам. Последнее указывает на возможность использования доминантного подхода для идентификации растительных сообществ.
Кластеризация описаний определяет 15 типов растительных сообществ, которые могут рассматриваться в ранге растительных ассоциаций, в том числе была уточнена ранее представленная [10] классификация березняков:
1) Betula pendula Roth – Festuca pratensis Huds.;
2) Betula pendula – Salix cinerea L. – Festuca pratensis – Urtica dioica L.;
3) Betula pendula – Rubus idaeus L.;
4) Betula pendula – Fragaria vesca L.;
5) Betula pendula – Achillea millefolium L. – березовые колки, антропогенно нарушенные выпасом;
6) Betula pendula herbosa – отсутствуют четко выраженные доминанты травостоя;
7) Plantago lanceolata L. – Urtica dioica;
8) Plantago lanceolata – Urtica urens L.;
9) Digitaria sanguinalis (L.) Scop. – Urtica dioica;
10) Stipa pennata L. s. l. с рудеральным разнотравьем, антропогенно нарушенные выпасом;
11) Medicago falcata L. – Bromus secalinus L.;
12) Plantago major L. – Achillea millefolium L. – Urtica dioica;
13) Trifolium prantense L. – Vicia cracca L. – Achillea millefolium;
14) Lolium perenne L. – Festuca pratensis;
15) Melilotus officinalis (L.) Pall. – Artemisia vulgaris L. – Festuca pratensis.
Следует отметить, что по сравнению с предварительной оценкой [10] после дополнительных исследований число березняковых ценохор с 14 резко уменьшилось до 6 ассоциаций и только несколько ценохор определились на уровне ассоциаций (малиновая, лесоземляничная и луговоовсяничная). Для подтверждения точности выделения березняков костяничных (Betula pendula – Rubus saxatilis L.) и брусничных (Betula pendula – Rhodococcum vitis-idaea (L.) Avror.) необходимы дальнейшие исследования.
Биотопы выделенных ассоциаций оценивались по следующим режимам ведущих абиотических факторов: почвенного увлажнения (hd) и его переменности (fh), солевого (sl), азотного (nt) и кислотного (rc), режимов, режима кальция (Са) и почвенной аэрации (аe), термо- (tm) омбро- (оm) и криоклимата (Cr), континентальности (Kn) и освещенности (lc).
По результатам GDA ведущими факторами дискриминации биотопов являются режимы почвенного увлажнения и его переменности, а также такие параметры климатопов, как омброрежим (уровень атмосферного увлажнения), терморежим и режим континентальности (амплитуды годовых температур). Помимо этого значимыми для дискриминации являются оси неметрического шкалирования, которые определяют специфику внутриценотических взаимодействий между видами.
Классификационная матрица GDA показала 100% точность выделения биотопов ассоциаций, для которых наблюдаются четкие отличия в режимах абиотических факторов (таблица 2).
Таблица 2 – Характеристика биотопов растительности окрестностей дер. Октябрьск, балл
Ассоциация | Режим биотопа | |||||||||||
hd | fh | rc | sl | Ca | nt | ae | tm | om | Kn | Cr | lc | |
1 | 11,7 | 6,1 | 7,8 | 7,0 | 6,9 | 6,0 | 6,4 | 8,2 | 12,8 | 9,0 | 7,4 | 7,4 |
2 | 13,1 | 6,4 | 7,2 | 6,6 | 6,0 | 6,6 | 7,8 | 7,8 | 13,4 | 8,9 | 7,0 | 6,7 |
3 | 12,3 | 6,4 | 7,9 | 6,9 | 6,2 | 6,4 | 6,8 | 8,0 | 13,6 | 9,2 | 6,9 | 7,4 |
4 | 11,4 | 5,8 | 7,3 | 6,7 | 6,6 | 5,5 | 6,3 | 8,3 | 13,2 | 9,0 | 7,6 | 7,1 |
5 | 10,9 | 6,4 | 7,0 | 6,3 | 6,6 | 5,0 | 5,6 | 7,9 | 13,6 | 8,4 | 7,9 | 7,2 |
6 | 12,1 | 6,2 | 7,0 | 6,7 | 5,9 | 5,7 | 7,1 | 8,1 | 13,2 | 9,0 | 7,2 | 7,0 |
7 | 10,7 | 7,2 | 8,3 | 8,1 | 7,0 | 6,3 | 6,7 | 8,5 | 12,6 | 9,2 | 8,2 | 7,3 |
8 | 11,0 | 7,3 | 7,9 | 8,0 | 6,8 | 6,7 | 7,2 | 8,4 | 12,4 | 8,6 | 8,3 | 7,6 |
9 | 11,4 | 6,8 | 8,2 | 7,9 | 6,7 | 7,0 | 7,4 | 8,6 | 12,5 | 7,9 | 8,4 | 7,4 |
10 | 11,2 | 7,4 | 7,8 | 7,8 | 7,0 | 6,9 | 6,9 | 8,5 | 12,8 | 8,5 | 8,1 | 7,2 |
11 | 11,1 | 6,4 | 7,8 | 8,0 | 6,8 | 6,6 | 7,5 | 8,6 | 12,3 | 8,5 | 7,9 | 7,3 |
12 | 11,4 | 6,9 | 8,0 | 7,8 | 7,5 | 6,4 | 6,7 | 8,2 | 12,8 | 8,5 | 8,0 | 7,4 |
13 | 12,0 | 6,9 | 7,2 | 7,5 | 6,5 | 7,0 | 7,3 | 8,1 | 13,1 | 8,6 | 7,8 | 7,1 |
14 | 11,1 | 6,7 | 7,8 | 7,8 | 7,4 | 6,4 | 6,5 | 8,3 | 12,2 | 8,3 | 8,3 | 7,5 |
15 | 10,9 | 6,7 | 8,0 | 8,0 | 7,4 | 6,4 | 6,6 | 8,4 | 12,3 | 8,7 | 8,3 | 7,5 |
Выделенные ассоциации на основании фитоиндикационной оценки биотопов можно рассматривать в качестве индикаторных.
В частности:
– березняки сероивово-луговоовсяницево-крапивные характерны для биотопов с наибольшими режимами почвенного увлажнения (влажнолесолуговой гигромезофильный) и почвенной аэрации (умеренно-слабо аэрированные почвы с практически постоянным капиллярным увлажнением и временным избыточным переувлажнением), а также наименьшими показателями режима почвенного кальция, терморежима и режима освещенности (гелиосциофитные с полутеневой экологической структурой [18]);
– березняки малиновые – наибольшие режимы континентальности (амплитуды годовых температур) и наименьшие – криорежима (минимальные температуры зимнего периода);
– березняки лесноземляничные – наименьшие величины режима переменности почвенного увлажнения (увлажнение умеренно-неравномерное с умеренным промачиванием корнеобитаемого слоя осадками и талыми водами);
– обыкновеннотысячелистниковые березняки характерны для биотопов с минимальными режимами почвенной кислотности (слабокислые почвы), солевого (небогатые солями), азотного (бедные минеральным азотом) режимов почвы, а также минимальным режимом почвенной аэрации (хорошо аэрированные эдафотопы с умеренным промачиванием корнеобитаемого слоя) и терморежима при максимальных величинах омброрежима;
– луговоразнотравные березняки – минимальный режим почвенной кислотности (слабокислые почвы) и почвенного кальция;
– ланцетовидноподорожниковые двудомнокрапивники – минимальный режим почвенного увлажнения (степолуговой с умеренным промачиванием весной и недостатком влаги в летний период), максимальный – кислотности почв (нейтральные почвы) и солевой (богатые солями почвы) режимы, а также максимальные величины терморежима и режима континентальности;
– ланцетовидноподорожниковые жгучекрапивники – максимальный солевой (богатые солями почвы) режим, криорежим и освещенность биотопа;
– кроваворосичковые двудомнокрапивники – максимальный солевой (богатые солями почвы) и азотный (достаточно обеспеченные азотом почвы) режимы, а также максимальные показатели термо- и криорежимов;
– антропогенно трансформированные перистоковыльники – максимальный режим переменности почвенного увлажнения (неравномерное с недостаточным промачиванием корнеобитаемого горизонта) и терморежима;
– серповиднолюцерново-ржанокостровая ассоциация – максимальный солевой (богатые солями почвы) режим и терморежим при минимальном омброрежиме (наименьше атмосферное увлажнение);
– большеподорожниково-обыкновеннотысячелистниковые двудомнокрапивники – максимальный режим кальция;
– луговоклеверно-мышиногорошковые обыкновеннотысячелистники – максимальный азотный (достаточно обеспеченные азотом почвы) режим;
– многолетнеплевеловые луговоовсянничники – максимальный режим кальция, криорежим и освещенность при наименьшем атмосферном увлажнении (омброрежим);
– лекарственнодонниково-обыкновеннополынные луговоовсянничники – максимальные режимы солей (богатые солями почвы) и кальция, криорежим и освещенность при наименьшем атмосферном увлажнении (омброрежим).
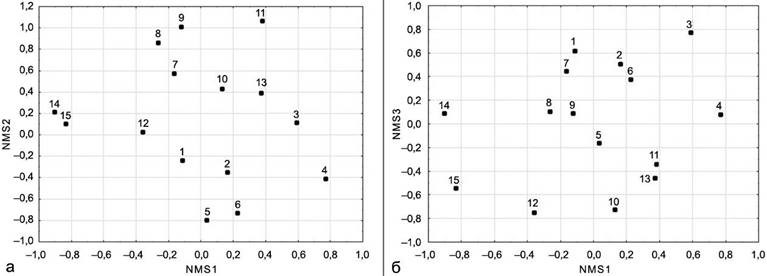
Анализ описаний методом неметрического многомерного шкалирования по показателям стресса позволил выделить три оси ординации. Интерпретация осей шкалирования (табл. 3) показывает сложный характер влияния абиотических факторов на формирование ценотической структуры выделенных растительных ассоциаций – статистически значимая связь определяется с практически всеми ведущими факторами, за исключением режима почвенной аэрации. При этом первая и вторая оси ординации в подавляющем большинстве определяются одними и теми же факторами, но противоположно действующими (при положительной корреляции с одной осью, с другой отмечается отрицательная корреляция), что означает фактически одни и те же разнонаправленные градиенты среды, связанные не только с сильватизацией, но и с и формированием антропогенно трансформированных травянистых сообществ. Третья ось во многом сходна с первой.
Таблица 3 – Идентификация осей многомерного шкалирования биотопов растительности окрестностей дер. Октябрьск
Оси | Режим биотопа | |||||||||||
hd | fh | rc | sl | Ca | nt | ae | tm | om | Kn | Cr | lc | |
NMS_1 | 0,31 | −0,20 | −0,35 | −0,37 | −0,42 | −0,10 | 0,15 | −0,13 | 0,48 | 0,21 | −0,43 | −0,40 |
NMS_2 | −0,29 | 0,40 | 0,48 | 0,49 | 0,32 | 0,53 | 0,16 | 0,41 | −0,39 | −0,26 | 0,37 | 0,34 |
NMS_3 | 0,32 | −0,39 | −0,06 | −0,37 | −0,36 | −0,19 | 0,04 | −0,11 | 0,17 | 0,33 | −0,36 | −0,11 |
Примечание. Полужирным выделены статистически значимые величины тау-Кендалла.
Ценотическая ординация выполнялась в определенных трех осях неметрического многомерного шкалирования (NMS) (рис. 1).
Рисунок 1 – Ординация растительности окрестностей дер. Октябрьск в осях неметрического многомерного шкалирования (NMS_1, NMS_2, NMS_3)
В первых двух осях выделенные ассоциации образуют три четко различимых сукцессионных ряда ценотического замещения (рис. 1: а): 1) ценотический ряд переходных от естественных к рудеральным ассоциаций, формирующийся при росте увлажнения, затенения и невысокой пастбищной нагрузки (условно – ряд сообществ овсяницы луговой); 2) ценотический ряд антропогенной дигрессии травянистых ассоциаций при высокой пастбищной нагрузке и нарастании засушливости биотопов (от крапивных до перистоковыльных); 3) ценотический ряд березняковых (5 – 6 – 4 – 3) лесных ассоциаций антропогенной пастбищной дигрессии от нарушенных к естественным, «перепендикулярный» рядам остальных ассоциаций. Антропогенные сукцессионные ряды в конечном итоге выходят на какую-то стадию ряда березовых лесов, формируя единую систему динамики растительности. По третьей оси (рис. 1: б) четкие ценотические ряды не выделяются.
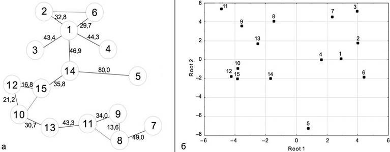
Ординация биотопов и ассоциаций растительности в эколого-ценотическом пространстве по матрице квадрата расстояния Махаланобиса (с построением дендрограммы методом максимального корреляционного пути [19]) выявила наличие четкого ряда замещения биотопов с тремя биотопическими центрами (рис. 2: а).
Рисунок 2 – Ординация биотопов растительности окрестностей дер. Октябрьск: а – методом максимального корреляционного пути (цифрами указан квадрат расстояния Махаланобиса); б – в первых осях дискриминантных функций (Root_1, Root_2)
Первый биотопический центр формируют березняки с центральным положением луговоовсяницевых (1), как наиболее типичных ассоциаций светлых березовых лесов и березовых колков региона, частично антропогенно трансформированных выпасом. Само же начало ряда замещения наблюдается от характерных для степных березовых лесных массивов района малонарушенных березняков малиновых (3) и лесоземляничных (4), в результате разрежения лесного полога и антропогенного воздействия трансформирующихся в луговоовсяницевые.
В дальнейшем биотопический ряд переходит к биотопам многолетнеплевеловых луговоовсянничников (14), к ним же примыкают отличающиеся от прочих березняков сильно трансформированные выпасом березняки обыкновеннотысячелистниковые. Далее ряд идет к степным биотопам перистоковыльников (10), формирующих второй биотопический центр с биотопами антропогенно трансформированных ассоциаций большеподорожниково-обыкновеннотысячелистниковых двудомнокрапивников (12) и лекарственнодонниково-обыкновеннополынных луговоовсянничников (15). Далее ряд через биотопы ассоциаций обыкновеннотысячелистниковой (13) и ржанокостровой (11) завершается биотопами рудеральных ассоциаций крапивных (7, 8, 9).
Таким образом, для выделенных ассоциаций определяется четкий рад антропогенной трансформации растительных сообществ от березовых лесов до рудеральных растительных ассоциаций.
В пространстве первых дискриминантных функций ряды биотопического и ценотического замещения менее выражены, однако выделенные выше биотопические центры достаточно четко маркируются. Это, в первую очередь, группа ассоциаций степных перистоковыльников (10) и формирующихся из них в результате выпаса тысячелистниковых крапивников (12) и полынных луговоовсянничников, также выделяется определенная ранее группа биотопов и ценозов пастбищной дигрессии (рис. 2: б – вверху) и группа (рис. 2: б) березняковых ассоциаций.
Выводы
Таким образом, для одной из крайних восточных точек Республики Башкортостан – окрестностей деревни Октябрьск Учалинского района – проведено исследование растительности и биотопов, переходных между рудеральными и естественными. Изученная растительность характеризуется сравнительно низким биотическим разнообразием с преобладанием 10-видовых растительных сообществ с близкими обилиями слагающих их видов, но при наличии одного, реже 2–3 доминирующих видов.
Для растительного покрова окрестностей деревни Октябрьск выделено 15 растительных ассоциаций, биотопы которых четко отличаются по режимам ведущих абиотических факторов, а сами ассоциации являются для этих факторов индикаторными. Точность классификации и оценки биотопов подтверждается методами многомерной статистики.
Ведущим фактором ординации ценозов является уровень антропогенной трансформации, в первую очередь пастбищной нагрузки. Также ординация биотопов растительности определяется естественными факторами, в первую очередь режимами почвенного увлажнения и его переменности, омброрежимом (уровень атмосферного увлажнения), терморежимом и режимом континентальности (амплитуда температур).
Для растительности окрестностей деревни Октябрьск определены три ценотических ряда, связанных с высокой и умеренной пастбищной нагрузкой как в травянистых, так и в лесных (березовых) сообществах, формирующие сукцессионные серии пастбищной дигрессии и единую систему сукцессионной динамики растительности изученной территории. Для сукцессионных серий определены три биотопических центра (рудеральный, степной и березняковый) и менее выраженные ряды биотопического замещения от березовых лесов, степных перистоковыльных и луговых овсянницевых сообществ до рудеральных растительных ассоциаций.
About the authors
Nazar Nikolayevich Nazarenko
South Ural State Humanitarian Pedagogical University
Author for correspondence.
Email: nnazarenko@hotmail.com
doctor of biological sciences, professor of Chemistry, Ecology and Chemistry Methodology Department
Russian Federation, ChelyabinskSvetlana Yuryevna Batyusheva
South Ural State Humanitarian Pedagogical University
Email: svetlana.batyusheva@yandex.ru
student of Natural Sciences and Technologies Faculty
Russian Federation, ChelyabinskReferences
- Абрамова Л.Н., Голованов Я.М. Обзор высших единиц синантропной растительности Европейской части России // Сборник научных трудов ГНБС. 2016. Т. 143. С. 7–15.
- Миркин Б.М., Абрамова Л.М., Ишбирдин А.Р., Рудаков К.М., Хазиев Ф.Х. Сегетальные сообщества Башкирии. Уфа: БФАН СССР, 1985. 155 с.
- Ишбирдин А.Р., Миркин Б.М., Соломещ А.И., Сахапов М.Т. Синтаксономия, экология и динамика рудеральных сообществ Башкирии. Уфа: БНЦ УрО АН СССР, 1988. 162 с.
- Миркин Б.М., Наумова Л.Г., Ямалов С.М. Синантропная растительность Башкортостана: изученность, разнообразие, экологическое значение // Вестник Академии наук РБ. 2009. Т. 14, № 1. С. 18–25.
- Наумова Л.Г., Миркин Б.М., Мулдашев А.А., Мартыненко В.Б., Ямалов С.М. Флора и растительность Башкортостана. Уфа: Изд-во БГПУ, 2011. 174 с.
- Абрамова Л.М., Голованов Я.М. Синантропная растительность Республики Башкортостан: итоги исследований школы Б.М. Миркина // Фиторазнообразие Восточной Европы. 2018. Т. XII (3). С. 7–16.
- Суюндукова Г.Я. Синтаксономический анализ растительности населенных пунктов сельского типа Зауралья Республики Башкортостан: автореф. дис. … канд. биол. наук: 03.00.05. Уфа, 2008. 16 с.
- Синантропная растительность Зауралья и горно-лесной зоны Республики Башкортостан: фиторекультивационный эффект, синтаксономия, динамика / под ред. Б.М. Миркина и Я.Т. Суюндукова. Уфа: Гилем, 2008. 512 с.
- Муллагулов Р.Т., Ямалов С.М. Синтаксономия степных пастбищных сообществ в башкирском Зауралье // Вопросы степеведения. 2014. Т. 12. С. 110–113.
- Батюшева С.Ю., Назаренко Н.Н. Березняки окрестностей села Октябрьск Учалинского района республики Башкортостан // Актуальные вопросы биологии, географии, химии, безопасности жизнедеятельности и методики их преподавания: мат-лы всерос. (с междунар. уч.) науч.-практ. конф. Ишим: ИПИ им. П.П. Ершова (филиала) ТюмГУ, 2020. С. 5–11.
- Ханина Л.Г., Смирнов В.Э., Бобровский М.В. Новый метод анализа лесной растительности с использованием многомерной статистики (на примере заповедника Калужские засеки) // Бюллетень МОИП. Отд. биологический. 2002. Т. 107, вып. 1. С. 40–47.
- McCune B., Grace J.B. Analysis of ecological communities. MjM SoftWare Design, 2002. 300 p.
- Legendre L., Legendre P. Numerical ecology. Amsterdam: Elsevier Science B.V, 1998. 853 p.
- Didukh Ya.P. The ecological scales for the species of Ukrainian flora and their use in synphytoindication. Kyiv: Phytosociocentre, 2011. 176 p.
- Persson S. Ecological indicator values as an aid in the interpretation of ordination diagrams // Journal of Ecology. 1981. Vol. 69, № 1. P. 71–84.
- Мэгарран Э. Экологическое разнообразие и его измерение. М.: Мир, 1992. 184 с.
- Тихомиров В.Н. Методы анализа биологического разнообразия. Минск: БГУ, 2009. 87 с.
- Бельгард А.Л. Степное лесоведение. М.: Лесная промышленность. 1971. 321 с.
- Терентьев П.В. Метод корреляционных плеяд // Вестник Ленинградского государственного университета. 1959. № 9. С. 137–141.
Supplementary files




