Nitrogen-containing compounds in several lichen species – representatives of Antarctic flora
- Authors: Tabalenkova G.N.1, Silina E.V.1
-
Affiliations:
- Institute of Biology of Komi Scientific Centre of the Ural Branch of the Russian Academy of Sciences
- Issue: Vol 13, No 4 (2024)
- Pages: 47-53
- Section: Biological Sciences
- URL: https://snv63.ru/2309-4370/article/view/677007
- DOI: https://doi.org/10.55355/snv2024134107
- ID: 677007
Cite item
Full Text
Abstract
Lichens are a stable, self-regulating association of fungus and algae or cyanobacteria. The composition of photobionts is associated with certain taxonomic groups of lichens. The most common groups of lichen photobionts are green algae and cyanoprokaryotes. Being well adapted, lichens play a prominent role in the Antarctic flora. The purpose of work is to study the nitrogen-containing composition of lichen thalli in the Antarctic flora. The samples of thalli were collected by doctor of biological sciences M.P. Andreev (Komarov Botanical Institute of the Russian Academy of Sciences) the January–April of 2015, 2016 and 2018 in different regions of the Antarctic. 11 lichen species with different photobiont type, including algae and/or cyanobacteria and belonging to the families Cladoniaceae, Parmeliaceae, Sphaerophoraceae, Ochrolechiaceae, Umbilicariaceae, Stereocaulaceae, Pannariaceae, and Collemataceae, were analysed. The work includes the data on the content of total nitrogen, soluble protein, free and protein amino acids in thalli of representatives of the Antarctic zone. There is a significant species variability by the content of total nitrogen, soluble protein, protein and free amino acids between thalli of Antarctic lichens. The studied parameters are found for a high variation coefficient. The median values of the samples for the content of amino acids differ from the mean values, which indicate a slight shift in the normalcy of the primary data distribution. Lichens with cyanoprokaryotes have been identified to be prominent through a higher content of total nitrogen and protein amino acids compared to lichens with green algae as photobiont. The content of protein and free amino acids is found to be closely correlated with the concentration of total nitrogen in thalli, whereas the correlation between the content of soluble protein and total nitrogen, as well as soluble protein and the sum of PAA and FAA is statistically insignificant. In general, the results obtained significantly deepen and expand the knowledge on the ecological and biological features of Antarctic lichens and their role in the nitrogen cycle of ecosystems.
Full Text
Введение
Лишайники представляют собой своеобразную и относительно слабоизученную группу фототрофных симбиотических организмов, которые являются неотъемлемым компонентом многих экосистем и существенно влияют на их функционирование. Благодаря своей высокой приспособляемости к окружающей среде им удалось колонизировать многие наземные среды обитания, распространяясь по всему миру от полюсов до тропических регионов и от равнин до самых высоких гор. Антарктика характеризуется суровыми климатическими условиями, однако, будучи хорошо адаптированными, лишайники играют заметную роль в антарктической флоре [1].
Лишайники – сложные саморегулирующиеся симбиотические ассоциации грибного компонента (микобионт) с зелеными водорослями и/или цианопрокариотами (фотобионт) [2]. Возникновение лишайников связывают с появлением морфологически новых структур – талломов и возможностью некоторых видов грибов получать органическое вещество из продуктов фотоавтотрофной фиксации CO₂ водорослями, что повышает стрессоустойчивость компонентов лишайникового симбиоза [3]. Как правило, состав фотобионтов связан с определенными таксономическими группами лишайников [4]. Наиболее распространенными группами фотобионтов лишайников являются зеленые водоросли и цианопрокариоты [5]. Симбиотическая ассоциация гетеротрофного (гриба) и фототрофного (водоросль) организма предполагает их взаимоотношения на уровне механических контактов и физиолого-биохимических взаимоотношений лишайниковых симбиозов. Микобионт обеспечивает водоросль водой и минеральными элементами, фотобионт снабжает гриб органическим углеродом и азотом. В отличие от специализированных приспособлений на физиологическом и морфологическом уровне, биохимическая адаптация определяет качественное и количественное своеобразие метаболических функций, необходимых для функциональной активности макромолекул [2].
Важнейшей группой биомолекул, которые образуются в процессе фотосинтеза или в результате синтетической деятельности корней, являются аминокислоты, которые участвуют в разнообразных биохимических процессах, обеспечивая жизнедеятельность клетки [6]. По сути, они являются материалом, благодаря которому происходит строительство растительных клеток. Аминокислоты являются предшественниками структурных компонентов некоторых гормонов растений [7], могут выступать в качестве предшественников ряда вторичных метаболитов [8], при адаптивных реакциях на стрессовые факторы могут выступать в качестве сигнальных молекул [9; 10]. Механизмы устойчивости лишайников как целостной системы к различным неблагоприятным воздействиям мало исследованы. Известно, что изменения даже в экологически приемлемых пределах способно вызвать в талломах, находящихся в функционально активном состоянии, торможение роста и нарушение структуры ДНК [11; 12]. Разнообразие и распространение лишайников в значительной степени зависит от условий местообитания. Имеются малочисленные и довольно разрозненные сведения по аминокислотному составу талломов лишайников, произрастающих в разных условиях [13; 14; 15]. Изучение аминокислотного состава талломов лишайников в различных экосистемах является актуальной задачей для выявления возможных сигналов о нарушении функционирования лишайников и прогнозирования состояния лихенобиоты в изменяющихся условиях среды, вызванных климатическими изменениями и/или антропогенными нарушениями.
Цель работы: исследование азотсодержащего состава талломов лишайников представителей флоры Антарктиды.
Объекты и методика исследований
Образцы талломов отбирались в январе–апреле 2015, 2016 и 2018 гг. д.б.н. М.П. Андреевым (Ботанический институт имени В.Л. Комарова РАН) в разных районах Антарктиды. Для определения азотсодержащих соединений в талломах использовали 11 видов лишайников с разным типом фотобионта (водоросли и/или цианобактерии), относящихся к семействам Cladoniaceae, Parmeliaceae, Sphaerophoraceae, Ochrolechiaceae, Umbilicariaceae, Stereocaulaceae, Pannariaceae, Collemataceae. По отношению к субстрату три вида являются эпилитными, восемь – эпигейными (табл. 1). По географическому распространению вида четыре из изученных (Himantormia lugubris (Hue) I.M. Lamb, Usnea aurantiaco-atra (Jacq.) Bory, Usnea antarctica Du Rietz, Umbilicaria antarctica Frey & I.M. Lamb) являются эндемиками [16]. Образцы лишайников доставлялись в лабораторию экологической физиологии растений Института биологии Коми научного центра УрО РАН и хранились при низкой положительной температуре (+5°C). Содержание азота определяли в сухих, измельченных пробах на элементном CHNS-O анализаторе (ЕА-1110, Италия). Содержание растворимого белка определяли по Bradford [17], в качестве стандарта использовали бычий сывороточный альбумин.
Таблица 1 – Характеристика исследованных лишайников
Виды лишайников | Жизненная форма | Экологическая группа | Фотобионт |
Cladonia squamosa Hoffm. | кустистый | эпигейный | зеленая водоросль |
Himantormia lugubris (Hue) I.M. Lamb | кустистый | эпилитный и эпигейный | зеленая водоросль |
Sphaerophorus globosus (Huds.) Vain. | кустистый | эпигейный | зеленая водоросль |
Usnea aurantiaco-atra (Jacq.) Bory | кустистый | эпигейный | зеленая водоросль |
Usnea antarctica Du Rietz | кустистый | эпигейный | зеленая водоросль |
Ochrolechia frigida (Sw.) Lynge | накипной | эпибриофит – эпилит | зеленая водоросль |
Umbilicaria antarctica Frey & I.M. Lamb | листоватый | эпилитный | зеленая водоросль |
Stereocaulon alpinum Laurer ex Funck | кустистый | эпигейный | зеленая водоросль + цианобактерии |
Stereocaulon glabrum Laurer ex Funck | кустистый | эпигейный | зеленая водоросль + цианобактерии |
Psoroma hypnorum (Vahl) Gray | чешуйчатый | эпигейный, эмбриофит | цианобактерии |
Leptogium puberulum Hue | листоватый | эпигейный | цианобактерии |
Белковые аминокислоты (БАК) определяли на аминокислотном анализаторе (ААА Т-339, Чехия) после гидролиза навески в НCl (6 н) при +105°С в течение 24 ч. Белковый азот рассчитывали исходя из массовой доли азота аминокислот в общем азоте. Определение свободных аминокислот (САК) проводили на аминокислотном анализаторе AAA-400 (Чехия) в системе литиевых буферов. Для их определения навески трехкратно экстрагировали 40% этанолом и выпаривали при температуре +50°C. Упаренный экстракт разводили в цитрат-литиевом буфере (pH 2,2), центрифугировали 10 мин. при 15 тыс. оборотов, фильтрат наносили на ионообменную колонку. Идентификацию и количественное содержание аминокислот в исследуемых образцах проводили по результатам разделения стандартной смеси аминокислот. Анализ аминокислот выполняли в ЦКП «Хроматография» Института биологии Коми НЦ УрО РАН. Рассчитывали средние значения из трех биологических и двух аналитических повторностей. Стандартное отклонение при определении аминокислот составлялo ±15%. Статистический анализ данных проводили с использованием программы Statistica 10 («StatSoft Inc.», США). Нормальность распределения данных оценивали с помощью критерия Шапиро–Уилкса. Корреляционный анализ проводили с применением коэффициента Спирмена. Расчеты осуществляли при заданном уровне значимости P ≤ 0,05.
Результаты исследований и их обсуждение
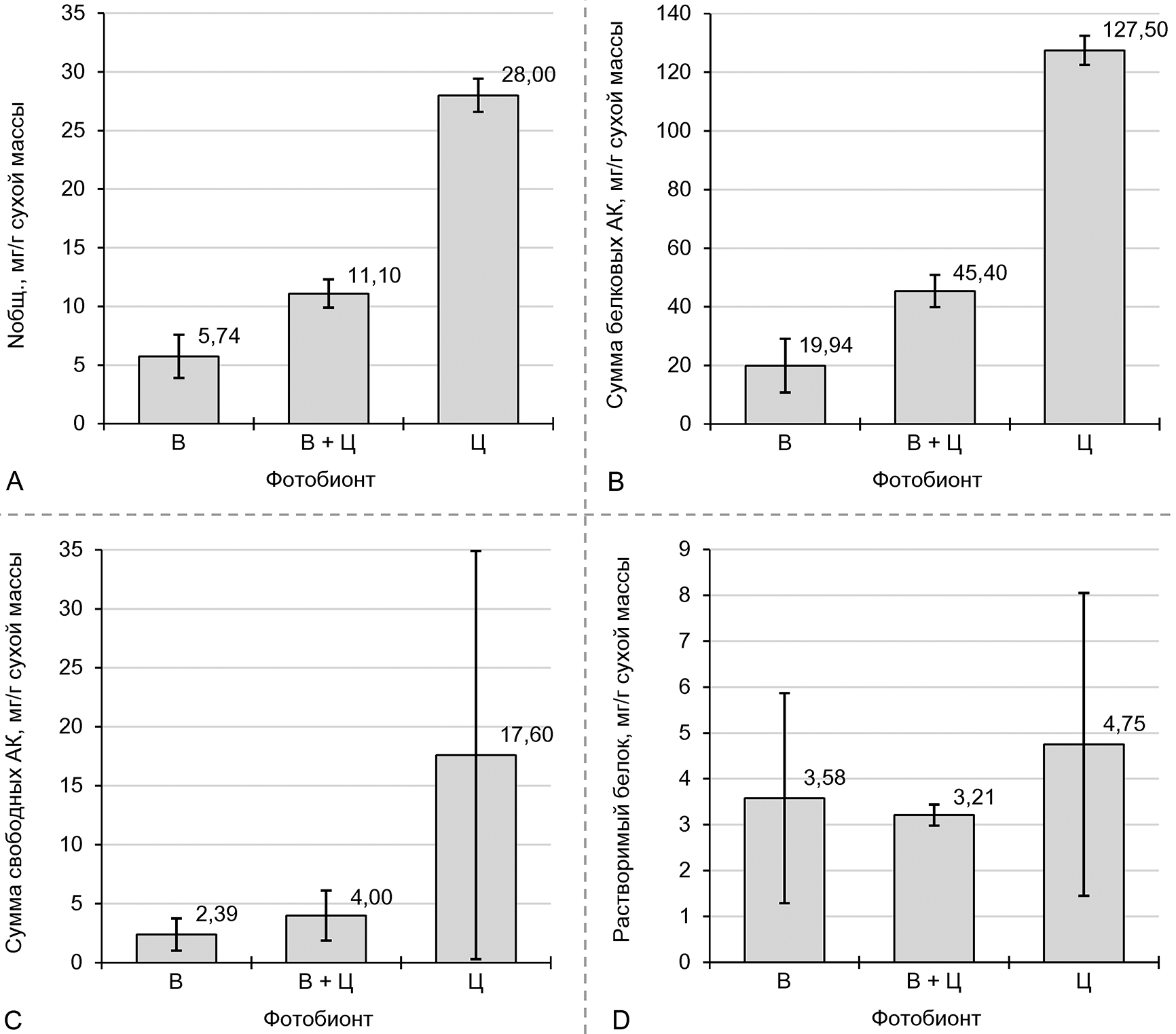
Исследование содержания общего азота, растворимого белка, свободных и белковых аминокислот в талломах лишайников, произрастающих в условиях Антарктиды, позволили определить у разных видов размах вариабельности этих показателей. Концентрация общего азота изменялась от 3,6 (U. aurantiaco-atra) до 29 мг/г сухой массы (P. hypnorum). Средняя величина составляла 10,8 мг/г и сильно отличалась от медианного значения. Коэффициент вариации содержания общего азота у всей выборки лишайников составлял около 83%, у лишайников с фотобионтом зеленая водоросль – 32%. В талломах лишайников, содержащих в качестве фотобионта зеленую водоросль концентрация азота, была почти в 2 раза ниже, чем у видов, имеющих в своем составе зеленую водоросль + цианобактерии, и почти в 5 раз ниже, чем у видов с цианобактериями в качестве фотобионта (рис. 1). Это объясняется способностью цианобактерий осуществлять процесс биологической азотфиксации, тем самым обеспечивая все компоненты лишайниковой ассоциации органическим азотом. По имеющимся оценкам [18] цианобиотные лишайники могут фиксировать до 120 т азота год, что эквивалентно 0,05 кг азота на га [19]. Показано [20], что вклад лишайников в азотный баланс разных экосистем варьирует от 0,04 до 40 кг/га в год и согласуется с идеей заметной роли лишайников в круговороте азота тундровых ценозов. Полученные экспериментальные данные показывают значительные колебания (от 10 до 131 мг/г сухой массы) содержания БАК. Коэффициент вариации всей выборки составляет более 97%. Высоким содержанием белковых аминокислот (131 мг/г) отличались лишайники с фотобионтом цианобактерии (рис. 1), наименьшим (10–35 мг/г) хлоролишайники, содержащие зеленую водоросль. Наблюдается высокая корреляция (0,97) суммы БАК и общего азота.
Рисунок 1 – Содержание общего азота (A), суммы белковых аминокислот (B), суммы свободных аминокислот (C) и растворимого белка (D) в талломах лишайников с разным типом фотобионта: В – водоросли, В + Ц – водоросли и цианобактерии, Ц – цианобактерии
В талломах лишайников было обнаружено 17 аминокислот, из которых цистин и метионин находились в следовых количествах. Их доля в сумме аминокислот не превышала 0,4%. Основная часть БАК (59–64% от всех аминокислот) приходилась на моно- и дикарбоновые кислоты. Сравнительно высоким содержанием суммы дикарбоновых и моноаминокарбоновых аминокислот (76–80 мг/г сухой массы) отличались лишайники с фотобионтом цианобактерии (P. hypnorum и L. puberulum), несколько меньше этих кислот 25–30 мг/г сухой массы отмечалось в лишайниках с двух компонентным фотобионтом (зеленая водоросль + цианобактерии) S. alpinum и S. glabrum. В хлоролишайниках содержание дикарбоновых и моноаминокарбоновых аминокислот варьировала от 6 (U. aurantiaco-atra) до 22 мг/г сухой массы (U. antarctica) в среднем составляло 13 ± 5 мг/г сухой массы. Несмотря на значительные различия в абсолютном содержании аминокислот, доля отдельных групп различалась незначительно (табл. 2).
Таблица 2 – Содержание белковых аминокислот в талломах лишайников, % от суммы аминокислот
Аминокислоты | Фотобионт | ||||||||||
Ц | В + Ц | В | |||||||||
1 | 2 | 3 | 4 | 5 | 6 | 7 | 8 | 9 | 10 | 11 | |
Аспарагиновая | 10,8 | 11,4 | 11,3 | 11,4 | 12,0 | 11,9 | 13,0 | 11,0 | 13,0 | 12,6 | 11,6 |
Треонин | 7,3 | 8,9 | 7,7 | 8,7 | 6,5 | 7,2 | 6,5 | 6,0 | 6,0 | 6,9 | 6,5 |
Серин | 5,4 | 5,3 | 5,8 | 6,7 | 5,7 | 6,6 | 5,5 | 6,0 | 7,0 | 6,1 | 7,1 |
Глутаминовая | 16,4 | 14,7 | 13,3 | 13,4 | 17,2 | 16,4 | 16,7 | 18,0 | 18,1 | 14,2 | 16,8 |
Пролин | 6,1 | 6,0 | 7 | 5,5 | 6,5 | 5,3 | 4,6 | 7,0 | 4,0 | 4,9 | 4,5 |
Глицин | 6,9 | 5,6 | 7,5 | 7,3 | 6,5 | 5,9 | 6,5 | 5,0 | 6,0 | 6,9 | 5,5 |
Аланин | 6,4 | 6,5 | 7,7 | 8,5 | 8,4 | 8,6 | 9,3 | 9,0 | 9,0 | 7,3 | 8,8 |
Валин | 5,5 | 6,0 | 5,8 | 6,1 | 5,7 | 5,9 | 5,6 | 6,0 | 5,1 | 6,1 | 5,1 |
Изолейцин | 4,1 | 3,8 | 4,3 | 4,3 | 4,2 | 4,6 | 4,6 | 4,0 | 4,1 | 4,5 | 4,1 |
Лейцин | 11,5 | 13,1 | 9,2 | 11,4 | 8,8 | 10 | 9,2 | 9,0 | 8,0 | 12,6 | 10,8 |
Тирозин | 2,6 | 2,5 | 2,6 | 2,2 | 2,7 | 2,6 | 2,8 | 3,0 | 2,8 | 2 | 2,8 |
Фенилаланин | 3,5 | 3,7 | 3,8 | 3,2 | 2,8 | 2,6 | 2,8 | 3,0 | 2,9 | 3,7 | 2,8 |
Гистидин | 1,9 | 0,9 | 1,4 | 1,2 | 1,5 | 1,3 | 0,9 | 1,0 | 1,1 | 1,2 | 1,4 |
Лизин | 6,8 | 7 | 8 | 6,3 | 6,5 | 7,2 | 7,4 | 7,0 | 7,3 | 6,1 | 7,1 |
Аргинин | 4,6 | 4,1 | 4,6 | 3,8 | 5,0 | 3,9 | 4,6 | 5,0 | 5,6 | 4,1 | 4,8 |
Сумма АК, мг/г сухой массы | 124 | 131 | 41,5 | 49,3 | 26,1 | 15,2 | 10,8 | 10,0 | 17,7 | 24,6 | 35,2 |
N АК, % от общего N | 57,3 | 63,9 | 55,1 | 55,4 | 48,6 | 36,1 | 42,5 | 37,3 | 42,3 | 59,6 | 54,9 |
Примечание. Фотобионт: Ц – цианобактерии, В + Ц – зеленая водоросль + цианобактерии, В – зеленая водоросль. 1 – Psoroma hypnorum, 2 – Leptogium puberulum, 3 – Stereocaulon alpinum, 4 – Stereocaulon glabrum, 5 – Cladonia squamosa, 6 – Himantormia lugubris, 7 – Sphaerophorus globosus, 8 – Usnea aurantiaco-atra, 9 – Usnea antarctica, 10 – Ochrolechia frigid, 11 – Umbilicaria antarctica.
Основная часть азота лишайникового симбиоза входит в белковую фракцию, преимущественно грибного компонента, биомасса которого почти на порядок превышает биомассу фотобионта. Содержание азота, входящего в состав белковых аминокислот, варьировал от 36% (H. lugubris) до 64% от общего азота (L. puberulum) (табл. 2). Средняя величина азота белковых аминокислот составляла 50 ± 9%, коэффициент вариации около 20%. Содержание азота белковых аминокислот в талломах тесно коррелировало с общим азотом (r = 0,67). Следует отметить, значительную изменчивость содержания растворимого белка в талломах лишайников (рис. 1). Максимальный уровень растворимого белка отмечен в талломах кустистых эпигейных лишайников C. squamosa и H. lugubris, где фотобионт зеленая водоросль и у P. hypnorum – фотобионт цианобактерии. Средняя величина содержания растворимого белка составляла 3,7 ± 0,6 мг/г сухой массы, коэффициент вариации 57%. Содержание растворимого белка в талломах лишайников Антарктиды не коррелировало с количеством в них общего азота, как ранее это было показано для лишайников таежной зоны Республики Коми [15].
К основным исходным веществам, обеспечивающим синтез белков, относятся свободные аминокислоты (САК), они являются одними из самых активных участников метаболизма. Анализ САК в образцах лишайников выявил их низкую концентрацию и значительные колебания (от 1,2 до 29 мг/г сухой массы) в содержании (рис. 1, табл. 3). В талломах лишайников было идентифицировано 16 индивидуальных аминокислот и два амида. Вклад большинства из них в суммарный фонд САК был довольно низким, доминировали 8 соединений, содержание которых составляло для большинства видов не менее 1% суммы аминокислот (табл. 3). В число доминирующих аминокислот входят глутаминовая, аспарагиновая кислоты, их амиды глутамин и аспарагин, а также серин, треонин, пролин, аланин, аргинин. Были также идентифицированы САК (глицин, ϒ-аминобутировая, валин, цистеин, метионин, лейцин, изолейцин, тирозин, орнитин, гистидин, лизин) содержание которых было менее 1% от суммы аминокислот. Максимальное содержание САК отмечено для талломов P. hypnorum, где фотобионт цианобактерии, более низким содержанием САК отличались талломы лишайников, где фотобионт зеленая водоросль (табл. 3). Содержание САК статистически значимо коррелирует с концентрацией общего азота и суммой БАК.
Таблица 3 – Содержание основных свободных аминокислот в талломах лишайников, % от суммы аминокислот
Аминокислоты | Фотобионт | ||||||||||
Ц | В + Ц | В | |||||||||
1 | 2 | 3 | 4 | 5 | 6 | 7 | 8 | 9 | 10 | 11 | |
Аспарагиновая | 3,2 | 6,1 | 4,6 | 4,9 | 2,6 | 6,6 | 6,6 | 3,2 | 3,9 | 5,4 | 3,7 |
Треонин | 0,9 | 2,1 | 0,8 | 1,5 | 0,4 | 0,6 | 0,3 | 2,1 | 1,0 | 1,1 | 1,0 |
Серин | 2,8 | 4,1 | 0,8 | 2,4 | 8,9 | 1,7 | 0,8 | 3,3 | 2,3 | 2,6 | 2,0 |
Аспарагин | 0,8 | 0,1 | 1,7 | 0,9 | 1,3 | 0,6 | 5,0 | 0,9 | 1,0 | 2,3 | 0,1 |
Глутаминовая | 22,6 | 12,6 | 21,4 | 21,2 | 9,3 | 34,7 | 17,0 | 11,4 | 15,4 | 15,2 | 18,5 |
Глутамин | 58,9 | 64,9 | 64,9 | 59,4 | 74,1 | 40,4 | 62,1 | 53,4 | 56,4 | 64,6 | 61,9 |
Пролин | 1,3 | 0,9 | 0,3 | 0,8 | 0,9 | 3,0 | 1,3 | 2,2 | 2,6 | 2,5 | 1,5 |
Аланин | 6,2 | 3,1 | 1,2 | 2,1 | 1,0 | 3,1 | 2,0 | 4,3 | 4,4 | 3,8 | 3,0 |
ϒ-амино-бутировая | 0,1 | 0,1 | 0,2 | 0,9 | 0,2 | 0,1 | 0,2 | 1,9 | 2,7 | 0,1 | 0,9 |
Аргинин | 0,6 | 0,2 | 0,9 | 1,1 | 0,2 | 0,2 | 1,7 | 4,7 | 4,4 | 0,1 | 1,7 |
Сумма свободных АК, мг/г сухой массы | 30,0 | 5,5 | 5,9 | 2,5 | 3,4 | 1,3 | 1,7 | 1,8 | 2,6 | 1,2 | 4,9 |
Примечание. Фотобионт: Ц – цианобактерии; В + Ц – зеленая водоросль + цианобактерии; В – зеленая водоросль. 1 – Psoroma hypnorum, 2 – Leptogium puberulum, 3 – Stereocaulon alpinum, 4 – Stereocaulon glabrum, 5 – Cladonia squamosa, 6 – Himantormia lugubris, 7 – Sphaerophorus globosus, 8 – Usnea aurantiaco-atra, 9 – Usnea antarctica, 10 – Ochrolechia frigid, 11 – Umbilicaria antarctica. В таблице представлены аминокислоты, содержание которых у большинства видов превышает 1%.
Глутамин является основным соединением, получаемым в результате усвоения неорганического азота [21] и является аминодонором для синтеза аминокислот и других азотсодержащих соединений в растениях [10]. Было высказано предположение, что глутамин играет роль в передаче сигналов, ответственных за регуляцию поглощения нитратов [22]. При первичной ассимиляции неорганический азот, такой как нитрат или аммоний, превращается в растениях в глутамин и глутамат. Глутамат – высоко активная аминокислота, которая является основным донором азота для большинства реакций переаминирования [10]. Анализ показал, что значительная часть синтезируемых аминокислот в талломах всех представленных лишайников представлена амидами в основном глутамином, его концентрация значительно выше, чем аспарагина (табл. 3). В составе САК лишайников в следовых количествах обнаружено 5 непротеиногенных (β-аланин, орнитин, аминоадипиновая, α-аминобутировая кислота и ϒ-аминомасляная кислоты). Присутствие в талломах всех исследованных лишайников непротеиногенной аминокислоты орнитина свидетельствует о функционировании орнитинового цикла, участвующего в синтезе протеиногенных аминокислот. Состав доминирующих аминокислот не зависел от фотобионта, но отличался у разных видов лишайников (табл. 3). Так, в талломах U. aurantiaco-atra, U. antarctica с фотобионтом зеленая водоросль отмечено более высокое, по сравнению с другими видами, в том числе и хлоролишайниками, доля аргинина, аминокислоты с самым большим содержанием в молекуле азота, талломы P. hypnorum с фотобионтом цианобактерии характеризовались максимальной долей аланина и т.д. В отличие от белковых аминокислот, где доля отдельных групп различалась незначительно, доля свободных изменялась сильно. Так, доля глутамина в хлоролишайниках варьировала от 40% у Himantormia lugubris до 74% у Cladonia squamosa.
Полученные экспериментальные данные показывают значительные количественные изменения содержания аминокислот в талломах лишайников, минимальные и максимальные значения отличаются на порядок. В среднем содержание БАК составило около 44 мг/г сухой массы, САК – 5,5 мг/г сухой массы таллома (табл. 4). Медианные значения выборки по содержанию аминокислот отличались от средних, что свидетельствует о небольшом смещении нормальности распределения первичных данных. Коэффициент вариации изученных биохимических показателей был высокий (табл. 4). Анализ данных показал, что содержание в талломах белковых и свободных аминокислот статистически значимо коррелирует с концентрацией общего азота (р-величина <0,05). Статистически значимо коррелирует между собой содержание белковых и свободных аминокислот. Корреляция между содержанием растворимого белка и общего азота, а также содержанием растворимого белка и суммой белковых и суммой свободных аминокислот была статистически незначимой (табл. 5).
Таблица 4 – Описательная статистика содержание общего азота (Nобщ.), растворимого белка (РБ), белковых (БАК) и свободных (САК) аминокислот в талломах лишайников
Показатели | Nобщ. | БАК | САК | РБ |
Количество измерений | 11 | 11 | 11 | 11 |
Среднее значение | 10,8 | 44,1 | 5,5 | 3,7 |
Ошибка среднего | 2,7 | 13,0 | 2,5 | 0,6 |
Медиана | 7,3 | 26,1 | 2,6 | 3,4 |
Минимум | 3,6 | 10,0 | 1,2 | 1,2 |
Максимум | 29,0 | 131,0 | 29,9 | 7,1 |
Размах | 25,4 | 121,0 | 28,7 | 5,9 |
Коэффициент вариации, % | 82,9 | 97,6 | 151,2 | 57,0 |
Таблица 5 – Корреляционная матрица содержания общего азота (Nобщ.), белковых (БАК) и свободных (САК) аминокислот, растворимого белка (РБ) в талломах лишайников
Показатели | Nобщ. | БАК | САК | РБ |
Nобщ. | 1 | 0,97 | 0,76 | −0,05 |
БАК |
| 1 | 0,83 | 0,11 |
САК |
|
| 1 | 0,34 |
РБ |
|
|
| 1 |
Примечание. Выделены статистически значимые коэффициенты корреляции Спирмена при Р ≤ 0,05.
Заключение
Таким образом, получены оригинальные данные об азотсодержащих соединениях в талломах лишайников представителей антарктической флоры. Выявлена существенная видовая вариабельность содержания общего азота, растворимого белка, белковых и свободных аминокислот в талломах лишайников. Показано, что талломы разных видов лишайников отличаются по составу доминирующих аминокислот, но их состав не зависел от фотобионта. Установлено, что содержание белковых и свободных аминокислот тесно коррелирует с концентрацией общего азота в талломах, тогда как корреляция между содержанием растворимого белка и общего азота, а также растворимого белка и суммы БАК и САК статистически незначима. В целом, полученные результаты существенно углубляют и расширяют представление об эколого-биологических особенностях лишайников Антарктиды и их роли в круговороте азота экосистем.
Авторы признательны д.б.н. М.П. Андрееву за предоставленный материал.
About the authors
Galina Nikolaevna Tabalenkova
Institute of Biology of Komi Scientific Centre of the Ural Branch of the Russian Academy of Sciences
Email: tabalenkova@ib.komisc.ru
doctor of biological sciences, associate professor, leading researcher of Ecological Plants Physiology Laboratory
Russian FederationEkaterina Valerievna Silina
Institute of Biology of Komi Scientific Centre of the Ural Branch of the Russian Academy of Sciences
Author for correspondence.
Email: silina@ib.komisc.ru
candidate of biological sciences, researcher of Ecological Plants Physiology Laboratory
Russian FederationReferences
- Андреев М.П. Лишайники Антарктики: видовой состав, история и перспективы изучения и особенности формирования синузий на орнитогенных почвах // Ботаника в современном мире: тр. XIV Съезда Русского ботанического общества и конференции «Ботаника в современном мире» (г. Махачкала, 18–23 июня 2018 г.). Т. 3: Споровые растения. Микология. Структурная ботаника. Физиология и биохимия растений. Эмбриология растений. Махачкала: Алеф, 2018. С. 7–10.
- Вайнштейн Е.А. Регуляторные механизмы лишайникового симбиоза // Успехи современной биологии. 1990. Т. 109, вып. 2. С. 311–320.
- Pichler G., Muggia L., Carniel F.C., Grube M., Kranner I. How to build a lichen: from metabolite release to symbiotic interplay // New Phytologist. 2023. Vol. 238, iss. 4. P. 1362–1378. doi: 10.1111/nph.18780.
- Флора лишайников России: биология, экология, разнообразие, распространение и методы изучения лишайников / отв. ред. М.П. Андреев, Д.Е. Гимельбрант. М.; СПб.: Тов-во научных изданий КМК, 2014. 392 с.
- Войцeхович А.А., Михайлюк Т.И., Дариенко Т.М. Фотобионты лишайников. 1: разнообразие, экологические особенности, взаимоотношения и пути совместной эволюции с микобионтом // Альгология. 2011. Т. 21, № 1. С. 3–26.
- Liu X.-Q., Lee K.-S. Effect of mixed amino acids on crop growth // Agricultural Science / ed. by G. Aflakpui. InTech, 2012. P. 119–158. doi: 10.5772/37461.
- Amir R. Current understanding of the factors regulating methionine content in vegetative tissues of higher plants // Amino Acids. 2010. Vol. 39, № 4. P. 917–931. doi: 10.1007/s00726-010-0482-x.
- Pinheiro C., Passarinho J.A., Ricardo C.P. Effect of drought and rewatering on the metabolism of Lupinus albus organs // Journal of Plant Physiology. 2004. Vol. 161, iss. 11. P. 1203–1210. doi: 10.1016/j.jplph.2004.01.016.
- Walch-Liu P., Liu L.-H., Remans T., Tester M., Forde B.G. Evidence that l-glutamate can act as an exogenous signal to modulate root growth and branching in Arabidopsis thaliana // Plant and Cell Physiology. 2006. Vol. 47, iss. 8. P. 1045–1057. doi: 10.1093/pcp/pcj075.
- Forde B.G., Lea P.J. Glutamate in plants: metabolism, regulation, and signalling // Journal of Experimental Botany. 2007. Vol. 58, iss. 9. P. 2339–2358. DOI: 10.1093/ jxb/erm121.
- Ünal D., Uyanikgi̇l Y. UV-B induces cell death in the lichen Physcia semipinnata (J.F. Gmel) // Turkish Journal of Biology. 2011. Vol. 35, № 2. P. 137–144. DOI: 10.3906/ biy-0901-5.
- Chowdhury D.P., Solhaug K.A., Gauslaa Y. Ultraviolet radiation reduces lichen growth rates // Symbiosis. 2017. Vol. 73, iss. 1. P. 27–34. doi: 10.1007/s13199-016-0468-x.
- Вершинина С.Э., Кравченко О.Ю. Состав аминокислот лишайника Cetraria islandica в Восточной Сибири // Пищевые технологии, качество и безопасность продуктов питания: мат-лы докл. науч.-практ. конф. Иркутск: ИрГТУ, 2008. С. 23–25.
- Вершинина С.Э., Кравченко О.Ю. Аминокислотный состав двух видов лишайников рода Cetraria // Хранение и переработка сельхозсырья. 2011. № 1. С. 26–28.
- Табаленкова Г.Н., Далькэ И.В., Захожий И.Г. Аминокислотный состав биомассы некоторых видов лишайников таежной зоны на Европейском Северо-Востоке России // Известия Самарского научного центра Российской академии наук. 2017. Т. 19, № 2–3. С. 556–560.
- Shelyakin M.A., Andreev M.P., Tabalenkova G.N., Golovko T.K. Respiratory activity of some lichen species-representatives of Antarctic flora // Contemporary Problems of Ecology. 2019. Vol. 12, iss. 4. P. 332–338. DOI: 10.1134/ s1995425519040115.
- Bradford M.M. A rapid and sensitive method for the quantitation of microgram quantities of protein utilizing the principle of protein-dye binding // Analytical Biochemistry. 1976. Vol. 72, iss. 1–2. P. 248–254. doi: 10.1016/0003-2697 (76)90527-3.
- Пыстина Т.Н., Романов Г.Г. Видовое разнообразие цианобионтных лишайников и их азотфиксирующая активность на территории Республики Коми // Ботанический журнал. 2010. Т. 95, № 2. С. 177–187.
- Головко Т.К., Дымова О.В., Табаленкова Г.Н., Пыстина Т.Н. Фотосинтетические пигменты и азот в талломах лишайников бореальной флоры // Теоретическая и прикладная экология. 2015. № 4. С. 38–44.
- Nash T.H. Nutrients, elemental accumulation, and mineral cycling // Lichen biology / ed. by T.N. Nash. Cambridge University Press, 2008. P. 234–251. DOI: 10.1017/ cbo9780511790478.013.
- Tabuchi M., Abiko T., Yamaya T. Assimilation of ammonium ions and reutilization of nitrogen in rice (Oryza sativa L.) // Journal of Experimental Botany. 2007. Vol. 58, № 9. P. 2319–2327. doi: 10.1093/jxb/erm016.
- Miller A.J., Fan X., Shen Q., Smith S.J. Amino acids and nitrate as signals for the regulation of nitrogen acquisition // Journal of Experimental Botany. 2008. Vol. 59, iss. 1. P. 111–119. doi: 10.1093/jxb/erm208.
Supplementary files



