Elemental composition of Vaccinium vitis-idaea и V. myrtillus (Ercaceae) leaves in green moss pine forests under aerotechnogenic pollution in the Komi Republic
- Authors: Robakidze E.A.1
-
Affiliations:
- Institute of Biology of Komi Scientific Centre of the Ural Branch of the Russian Academy of Sciences
- Issue: Vol 12, No 4 (2023)
- Pages: 107-113
- Section: Biological Sciences
- URL: https://snv63.ru/2309-4370/article/view/634308
- DOI: https://doi.org/10.55355/snv2023124116
- ID: 634308
Cite item
Full Text
Abstract
The paper aims at the impact of aerotechnogenic emissions from the largest in the European North pulp and paper production enterprise, namely JSC «Syktyvkar Timber Processing Complex», on the elemental composition (N, S, C, P, K, Ca, Mg, Na, Al, Fe, Mn) of lingonberry and blueberry leaves as the dominant dwarf shrubs in green moss pine forests. The leaves of blueberry and lingonberry growing in pine stands both in the background and contaminated areas were identified to have similar average values of the mass fraction of ash elements in 2009. The content of ash elements in the leaves of dwarf shrubs from the background pine forests was higher than that in leaves collected from the impact zone in 2018. The average values of the mass fraction of ash elements in blueberry leaves were found to access those in lingonberry leaves by 1,5 time both in the background and contaminated areas. There was no regular change in the content of elements in leaves of dwarf shrubs with distance from the source of emission. The differences in the sulfur content in leaves of dwarf shrubs for 2009 and 2018 were within the error limits. No significant differences were found in the values of the mass fraction of nitrogen in blueberry and lingonberry leaves for pine stands located at different distances from the emission source. The nitrogen content in lingonberry leaves was significantly lower than that in blueberry leaves for both observation periods. There was no significant difference in the total nitrogen content in blueberry and lingonberry leaves between 2009 and 2018.
Full Text
В Республике Коми наиболее типичными ассоциациями являются сосняки зеленомошной группы типов, в которых наряду с сосной черника и брусника являются распространенными ресурсными видами [1].
Необходимым составляющим компонентом лесного мониторинга является химический мониторинг [2]. При оценке динамики развития фитоценозов и происходящих в них продукционных процессов представляет интерес изучение химического состава их компонентов [3–5]. Изучение химического состава растений сосняков европейского Севера России проводились в Республике Карелия [6; 7], Кольском полуострове [8–10]. Исследования минерального состава основных видов растений сосновых фитоценозов проводилось и в Республике Коми [11–13].
Исследования содержания химических элементов в различных органах растений показали его высокую изменчивость в зависимости от вида и возраста растения, региональных климатических особенностей, сезонного развития и лесорастительных условий местопроизрастания [14; 15; 7; 16–22].
Исследование элементного состава лесных кустарничков проводилось как в естественных условиях, так и в условиях загрязнения тяжелыми металлами и серы преимущественно горнообогатительных и металлургических производств. В листьях черники и брусники происходит накопление металлов и снижение содержания питательных веществ [23–26]. В среднетаежной зоне Республики Коми крупнейшим источником промышленных выбросов в воздушный бассейн является целлюлозно-бумажный комбинат ОАО «Монди Сыктывкарский ЛПК» (СЛПК). Его основными поллютантами являются оксиды углерода, азота, серы, сероводород, меркаптаны, сероорганические соединения, минеральная пыль, содержащая карбонаты и сульфиды кальция и натрия. По данным публичных экологических отчетов предприятия, суммарное количество выбросов в 1998 г. было 31 тыс. т, в 2006 г. – 20, в 2010 г. – 17, в 2015 г. – 10, в 2020 г. – 7,8 тыс. т [27] Отмечается существенное снижение аэротехногенных выбросов, что связано с глубокой модернизацией очистных сооружений предприятия.
Цель представленного исследования – оценить изменения элементного состава листьев V. myrtillus и V. vitis-idaea в условиях длительного аэротехногенного загрязнения.
Материал и методы
Изучение изменения элементного состава листьев V. myrtillus и V. vitis-idaea проводили в 2009 и 2018 гг. в сосняках [28], произрастающих на загрязненной аэропромышленными выбросами целлюлозно-бумажного производства «Монди СЛПК» территории. В сосновых насаждениях черничного ряда заложены постоянные пробные площади (ППП), расположенные на разном расстоянии к северо-востоку от источника загрязнения до 50 км в направлении доминирующей составляющей региональной розы ветров. Сосняки на фоновой территории, представленные ППП 23, 24 находятся на расстоянии 48,5–49,0 км, а сосняки на ППП 19, 15 – на загрязненной территории расположены соответственно на расстоянии 6,5, 11,2 км от источника эмиссии [29].
Сосняки черничные (Pinetum myrtillosum) и разнотравные (Pinetum herbosum) (генетически черничные) произрастают на иллювиально-гумусовых железистых подзолах [29]. Древесный ярус состоит из сосны обыкновенной (Pinus sylvestris L.), осины обыкновенной (Populus tremula L.), березы пушистой (Betula pubescens Ehrh.) и березы повислой (B. pendula Roth), елью сибирской (Picea obovata Ledeb.). В подлеске в незначительном количестве присутствуют кусты можжевельника обыкновенного (Juniperus communis L.), рябины обыкновенной (Sorbus aucuparia L.), ивы (Salix sp). Подрост представлен в основном елью, редко встречаются сосна, береза и пихта.
Для изучения химического состава растений были отобраны листья кустарничков. Сбор материала производился в конце июля – начале августа в 2009 и 2018 гг. Образцы растений отбирали методом укосов [30]. Образцы готовили к анализу по [31].
На химический анализ отбирали один средний образец из 10 повторностей с каждой ППП. Химический анализ проводили только одной средней пробы с каждой ППП. Из средней пробы брали три аналитические повторности. Химический анализ проводили в аккредитованной экоаналитической лаборатории Института биологии Коми НЦ УрО РАН (аттестат аккредитации № РОСС RU.0001.511257 от 26 февраля 2014 г.) по аттестованным методикам количественного химического анализа [21].
Результаты и их обсуждение
Обобщенная динамика индекса поврежденности показывает, что в сосновых фитоценозах, растущих на загрязненной аэротехногенными выбросами, жизненное состояние деревьев с 1998 по 2018 гг. улучшилось, а в древостоях фоновой территории состояние деревьев осталось почти на одном уровне [28].
Одновременно с оценкой состояния древостоев исследовали влияние техногенного загрязнения «Монди СЛПК» на элементный состав листьев черники и брусники. Влияние поллютантов промышленных производств, наряду с природными факторами, приводит к изменению химического состава растительных тканей [32; 33]. Поступление поллютантов в листья черники и брусники происходит при техногенном воздействии за счет поверхностного загрязнения, а также фолиарного и почвенного поглощения.
Установлено (рис. 1), что в 2009 г. в листьях черники, произрастающей в сосновых древостоях как на фоновых, так и на загрязненных пробных площадях, средние значения cуммы химических элементов в воздушно-сухих пробах одинаковы – 2,2 ± 0,1%. В 2018 г. содержание зольных элементов в листьях черники, собранных в фоновых сосняках, достоверно выше 2,9 ± 0,1%, чем в листьях черники, собранных на загрязненных пробных площадях 1,9 ± 0,2% (рис. 1).
Рисунок 1 – Суммарное содержание зольных элементов в листьях черники и брусники (А – 2009 г., Б – 2018 г.)
В 2009 г. в пробах листьев брусники, произрастающей в сосновых древостоях как на фоновых, так и загрязненных пробных площадях, достоверной разницы в содержании элементов не выявлено. Средние значения суммы зольных элементов были равны: 1,5 ± 0,1%. В 2018 г. сумма элементов в листьях брусники, собранных в фоновых сосняках незначительно выше 1,8 ± 0,2%, чем в листьях брусники, собранных на загрязненных пробных площадях 1,5 ± 0,1%.
Более ранние исследования [34] показали, что содержание зольных элементов в листьях брусники ельников, расположенных в фоновом районе составляет 1,19% от массы сухого вещества. В еловых насаждениях загрязненных участков выбросами целлюлозно-бумажного производства зольность листьев брусники выше контроля в 1,3 раза и изменяется от 1,44 до 1,79%.
Среди зольных элементов в листьях черники и брусники исследуемых сосновых фитоценозов доминируют кальций и калий.
Характерными особенностями видов рода Vaccinium является высокое содержание кальция. Эти растения относятся к типичным кальцифагам [3]. На долю кальция в листьях брусники в сумме зольных элементов приходится 44–46% (2009 г.) и 41–55% (2018 г.); в листьях черники 24–41% (2009 г.) и 21–45% (2018 г.). Участие калия в листьях брусники составляет 22–25% (2009 г.), 25–28% (2018 г.) и в листьях черники 38–39% (2009 г.), 33–41% (2018 г.). Большая доля в листьях кустарничков приходится на магний, фосфор и марганец.
Можно отметить, что средние значения массовой доли зольных элементов в пробах листьев черники в 1,5 раза выше, чем в листьях брусники как для фоновых, так и загрязненных пробных площадей. Подобная тенденция была отмечена нами ранее в среднетаежных ельниках [21].
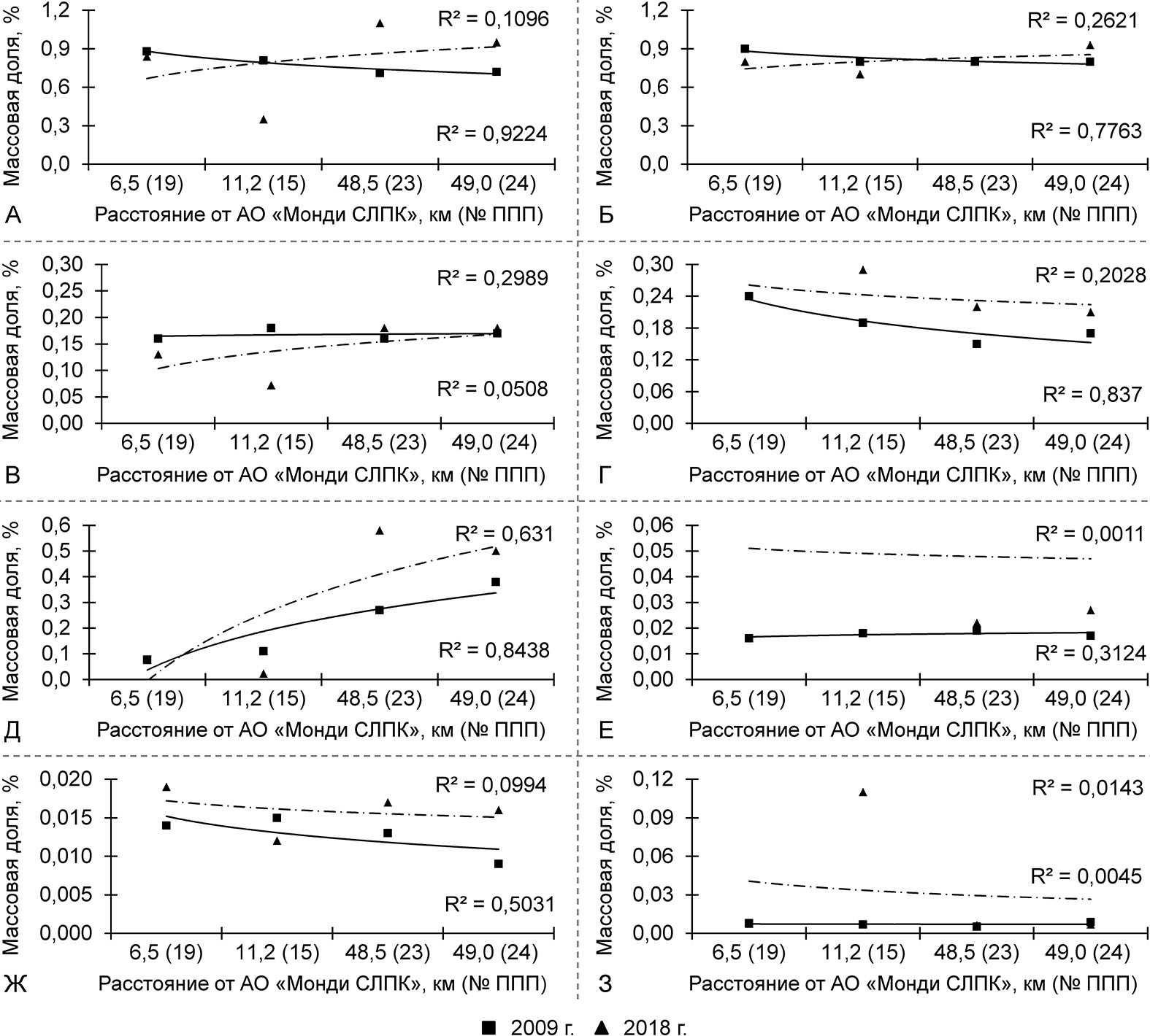
На рисунках 2 и 3 указаны коэффициенты аппроксимации логарифмических трендов (R²) зависимости содержания элемента в листьях кустарничков при удалении от источника загрязнения. На основе полученных данных не выявлено закономерного изменения содержания элементов в листьях кустарничков по мере удаления от источника загрязнения (рис. 2, 3).
Рисунок 2 – Изменение массовой доли зольных элементов (А – Ca, Б – K, В – P, Г – Mg, Д – Mn, Е – Al, Ж – Na, З – Fe) в листьях черники в зависимости от расстояния от СЛПК: R² – в нижнем правом углу – аппроксимация тренда 2009 г., в верхнем правом углу – 2018 г.
Рисунок 3 – Изменение массовой доли зольных элементов (А – Ca, Б – K, В – P, Г – Mg, Д – Mn, Е – Al, Ж – Na, З – Fe) в листьях брусники в зависимости от расстояния от СЛПК: R² – в нижнем правом углу – аппроксимация тренда 2009 г., в верхнем правом углу – 2018 г.
В 2009 г. средние значения массовой доли серы в воздушно-сухих пробах листьев черники с фоновых и загрязненных пробных площадей были одинаковы и составили 0,18 ± 0,01%, в листьях брусники варьировали от 0,15 ± 0,01% до 0,17 ± 0,01% (рис. 4). В 2018 г. средние значения массовой доли серы в пробах листьев черники на фоновых пробных площадях составили 0,17 ± 0,01%, брусники – 0,13 ± 0,01%, на загрязненных пробных площадях – 0,14 ± 0,01% и 0,12 ± 0,01% соответственно для черники и брусники. В целом, различия по содержанию серы в листьях кустарничков в 2009 и 2018 годах находятся в пределах погрешности, а некоторое уменьшение значений массовой доли серы в пробах листьев 2018 года можно квалифицировать как тренд.
Рисунок 4 – Массовая доля серы в пробах листьев брусники и черники (А – 2009 г., Б – 2018 г.)
В 2009 и 2018 гг. были получены одинаковые средние значения массовой доли азота в воздушно-сухих пробах листьев черники для фоновых и загрязненных пробных площадей – 2,0 ± 0,1% и 2,1 ± 0,1% соответственно. Аналогичные значения массовой доли азота в пробах листьев брусники для фоновых и загрязненных пробных площадей варьируют в пределах погрешности измерений – от 1,1 ± 0,1% до 1,2 ± 0,1%. Эти данные свидетельствует о том, что не обнаружено достоверных различий в значениях массовой доли азота в листьях черники и брусники для сосновых древостоев, расположенных на различном удалении от источника эмиссии – АО «Монди СЛПК» (рис. 5).
Рисунок 5 – Массовая доля азота в пробах листьев брусники и черники (А – 2009 г., Б – 2018 г.)
Выявлено, что массовая доля азота в листьях брусники значительно меньше, чем в листьях черники за оба периода наблюдений. Не наблюдается достоверной разницы в содержании общего азота в листьях черники и брусники между 2009 и 2018 гг. (рис. 5).
Значения массовой доли углерода в пробах листьев черники и брусники, произрастающих в сосновых древостоях, варьируют в диапазоне от 48% до 51% и не дифференцированы относительно вида кустарничков, времени отбора проб, уровня загрязнения пробных площадей или их удаления от источника эмиссии (рис. 6).
Рисунок 6 – Массовая доля углерода в пробах листьев брусники и черники (А – 2009 г., Б – 2018 г.)
Таким образом, в листьях черники преобладает азот и сера, содержание углерода в листьях кустарничков находится на одном уровне.
В условиях техногенных выбросов в атмосферу оксидов азота, серы, соединений углерода, как в 1998 г., так и в 2009 г. не отмечается накопления их в листьях черники и брусники [12].
Заключение
Установлено, что в 2009 г. в листьях черники и брусники, произрастающей в сосновых древостоях как на фоновой, так и на загрязненной территории, средние значения массовой доли зольных элементов одинаковы. В 2018 г. содержание зольных элементов в листьях кустарничков фоновых сосняков выше, чем в листьях, собранных в импактной зоне.
Выявлено, что средние значения массовой доли зольных элементов в пробах листьев черники в 1,5 раза выше, чем в листьях брусники как фоновой, так и загрязненной территории. Среди зольных элементов доминирующими в листьях черники и брусники на всех участках являются Ca и K, на долю которых приходится от 21% до 55% от общей массовой доли зольных элементов.
На основе полученных данных не выявлено закономерного изменения содержания элементов в листьях кустарничков в зависимости от расстояния от источника загрязнения. Выявлено, что различия по содержанию серы в листьях кустарничков в 2009 и 2018 годах находятся в пределах погрешности. Не обнаружено достоверных различий в значениях массовой доли азота в листьях черники и брусники для сосновых древостоев, расположенных на различном удалении от СЛПК. Выявлено, что массовая доля азота в листьях брусники значительно меньше, чем в листьях черники за оба периода наблюдений. Значения массовой доли углерода в пробах листьев черники и брусники, произрастающих в сосновых древостоях, не дифференцированы относительно вида кустарничков, времени отбора проб, уровня загрязнения пробных площадей или их удаления от источника эмиссии.
Таким образом, в условиях техногенных выбросов в атмосферу оксидов азота, серы, соединений углерода как в 2009 г., так и в 2018 г. не отмечается накопления их в листьях черники и брусники.
Благодарности
Автор выражает благодарность Н.В. Торлоповой, принимавшей активное участие в сборе и анализе экспериментального материала в разные периоды исследования.
***
Работа выполнена в рамках темы НИР «Зональные закономерности динамики структуры и продуктивности первичных и антропогенно измененных фитоценозов лесных и болотных экосистем европейского Северо-Востока России» (122040100031-8).
About the authors
Elena A. Robakidze
Institute of Biology of Komi Scientific Centre of the Ural Branch of the Russian Academy of Sciences
Author for correspondence.
Email: robakidze@ib.komisc.ru
candidate of biological sciences, researcher of Forest Biological Problems of the North Department
Russian Federation, SyktyvkarReferences
- Лесное хозяйство и лесные ресурсы Республики Коми. М.: Дизайн. Информация. Картография, 2000. 512 с.
- Никонов В.В., Лукина Н.В., Карабань Р.Т., Копцик Г.Н. Методология и опыт реализации системы химического мониторинга лесов восточной Фенноскандии // Биологические основы изучения, освоения и охраны животного и растительного мира, почвенного покрова восточной Фенноскандии. Петрозаводск, 1999. С. 185–186.
- Ingestad T. Mineral nutrient requirements of Vaccinium vitis-idaea and Vaccinium myrtillus // Physiologia Plantarum. 1973. Vol. 29. P. 239–246.
- Helmisari H.S. Spatial and age-related variation in nutrient concentration of Pinus sylvestris needles // Silva Fennica. 1992. Vol. 26, № 3. P. 145–153.
- Tamminen P., StarrM., Kubin E. Element concentrations in boreal, coniferous forest humus layers in relation to moss chemistry fnd soil factors // Plant and Soil. 2004. Vol. 259. P. 51–58.
- Обмен веществ и энергии в сосновых лесах европейского Севера. Л.: Наука, 1977. 304 с.
- Морозова Р.М. Минеральный состав растений лесов Карелии. Петрозаводск, 1991. 97 c.
- Никонов В.В. Почвообразование на северном пределе сосновых биогеоценозов. Л.: Наука, 1987. 142 с.
- Лукина Н.В., Никонов В.В. Биогеохимические циклы в лесах Севера в условиях аэротехногенного загрязнения. Ч. 1. Апатиты: Изд-во Кольского НЦ РАН, 1996. 213 с.
- Сухарева Т.А., Лукина Н.В. Минеральный состав ассимилирующих органов хвойных деревьев после снижения уровня атмосферного загрязнения на Кольском полуострове // Экология. 2014. № 2. С. 97–104.
- Эколого-физиологические основы продуктивности сосновых лесов европейского Северо-Востока. Сыктывкар, 1992. 174 с.
- Торлопова Н.В., Робакидзе Е.А. Химический состав хвои сосны обыкновенной в условиях аэротехногенного загрязнения Сыктывкарского лесопромышленного комплекса // Сибирский экологический журнал. 2012. № 3. С. 415–422.
- Осипов А.Ф., Манова С.О., Бобкова К.С. Запасы и элементный состав растений напочвенного покрова в среднетаежных сосняках послепожарного происхождения (Республика Коми) // Растительные ресурсы. 2014. Т. 50, вып. 1. С. 3–11.
- Митрофанов Д.П. Химический состав лесных растений Сибири. Новосибирск: Наука, 1977. 120 с.
- Прокушкин С.Г. Минеральное питание сосны. Новосибирск: Наука, 1982. 189 c.
- Бобкова К.С. Биологический круговорот азота и зольных элементов в сосновых биогеоценозах // Эколого-физиологические основы продуктивности сосновых лесов европейского Севера. Сыктывкар: Коми НЦ РАН, 1993. С. 127–148.
- Barcan V.Sh., Kovnatsky E.F., Smetannikova M.S. Absorption of heavy metals in wild berries and edible mushrooms in an area affected by smelter emission // Water, Air and Soil Pollution. 1998. Vol. 103, № 1–4. P. 173–195.
- Дроздова И.В., Алексеева-Попова Н.В. Оценка макро- и микроэлементного состава некоторых полезных растений Полярного Урала // Растительные ресурсы. 2008. Т. 44, вып. 4. С. 116–122.
- Сухарева Т.А. Пространственно-временная динамика микроэлементного состава хвойных деревьев и почвы в условиях промышленного загрязнения // Известия вузов. Лесной журнал. 2013. № 6. С. 19–28.
- Барановская Н.В., Черненькая У.В. Особенности накопления химических элементов в чернике обыкновенной (Vaccinium myrtillus) на территории Западной Сибири // Фундаментальные исследования. 2015. № 2. С. 299–306.
- Робакидзе Е.А., Бобкова К.С., Наймушина С.И. Элементный состав доминирующих видов растений в среднетаежных ельниках (на примере Республики Коми) // Растительные ресурсы. 2022. Т. 58, вып. 1. С. 87–99.
- Робакидзе Е.А., Бобкова К.С., Наймушина С.И. Элементный состав доминирующих видов растений в среднетаежных сосняках разного возраста (на примере Республики Коми) // Растительные ресурсы. 2020. Т. 56, вып. 1. С. 53–65.
- Мазная Е.А., Лянгузова И.В. Параметры ценопопуляций и накопление тяжелых металлов Vaccinium vitis-idaea и Vaccinium myrtilus при разном уровне техногенной нагрузки // Растительные ресурсы. 2006. Т. 42, вып. 1. С. 16–27.
- Лянгузова И.В. Динамика содержания никеля и меди в растениях сосновых лесов Кольского полуострова в условиях аэротехногенного загрязнения // Растительные ресурсы. 2008. Т. 44, вып. 4. С. 91–98.
- Артемкина Н.А. Содержание фенольных соединений и элементный состав в Vaccinium vitis-idaea в еловых лесах Кольского полуострова в условиях техногенного загрязнения // Растительные ресурсы. 2010. Т. 46, вып. 2. С. 86–98.
- Reimann C., Koller F., Kashulina G., Niskavaara H., Englmaier P. Influence of extreme pollution on the inorganic chemical composition of some plants // Environmental Pollution. 2001. Vol. 115, iss. 2. P. 239–252.
- Экологические отчеты 2006, 2009–2010, 2013–2015 [Электронный ресурс] // Сыктывкарский ЛПК. https://www.mondigroup.com.
- Робакидзе Е.А. Состояние доминирующих видов растений напочвенного покрова (Vaccinium vitis-idaea и Vaccinium myrtillus) в сосняках черничных в условиях загрязнения целлюлозно-бумажного производства // Экосистемы. 2023. № 35. С. 41–49.
- Робакидзе Е.А., Торлопова Н.В., Бобкова К.С., Наймушина С.И. Мониторинг состояния древесных растений в сосняках черничных при загрязнении выбросами Сыктывкарского лесопромышленного комплекса (Республика Коми) // Растительные ресурсы. 2021. Т. 57, вып. 3. С. 260–274.
- Методы изучения лесных сообществ. СПб., 2002. 240 c.
- Родин Л.Е., Ремезов Н.П., Базилевич Н.И. Методические указания к изучению динамики и биологического круговорота в фитоценозах. Л.: Наука, 1968. 143 с.
- Сидорович Е.А., Рупасова Ж.А., Бусько Е.Г. Функционирование лесных фитоценозов в условиях антропогенных нагрузок. Минск: Наука и техника, 1985. 205 с.
- Бусько Е.Г. Трансформация сосновых лесов Беларуси под воздействием антропогенных факторов. М.: Наука, 1995. 88 c.
- Робакидзе Е.А., Торлопова Н.В. Изменение видового состава напочвенного покрова ельников и минерального состава листьев Vaccinium vitis-idaea и V. myrtillus (Ericaceae) в условиях аэротехногенного загрязнения в Республике Коми // Растительные ресурсы. 2013. Т. 49, вып. 1. С. 65–77.
Supplementary files








