The analysis of planktonic algae structure in the Volga and Kama rivers (Republic of Tatarstan)
- Authors: Khaliullina L.Y.1
-
Affiliations:
- Kazan (Volga Region) Federal University
- Issue: Vol 9, No 3 (2020)
- Pages: 158-165
- Section: General Biology
- URL: https://snv63.ru/2309-4370/article/view/50632
- DOI: https://doi.org/10.17816/snv202093126
- ID: 50632
Cite item
Full Text
Abstract
The paper presents the results of a comparative analysis of planktonic algae structure in the Volga and Kama rivers at the confluence of the Kuibyshev reservoir. The author has also assessed the trophic state of the studied river sections in 2012. The hydrochemical regime of the Kuibyshev reservoir is heterogeneous and is determined by the chemical composition of the Volga and Kama waters, which differ in the ratio of ions and mineralization. The ionic composition of the Kama waters is often dominated by sulfates. The salinity depending on the season and water content of the year ranges from 168 to 674 mg/l. The Volga waters contain calcium bicarbonate and have a lower mineralization (120–130 mg/l). The variability of the incoming water, the amount of runoff, the degree of volume drawdown within water bodies and groundwater inflows primarily affect the conditions for planktonic algae existence. In the phytoplankton of the Volga and Kama rivers (areas before their confluence in the Kuibyshev Reservoir), 123 taxa of algae were identified during the 2012 growing season. The waters of the Volga River have a higher species diversity (107 species). The phytoplankton of the Kama River is less diverse (76 species). In the seasonal dynamics of phytoplankton in the studied river sections, two peaks of abundance and biomass are observed – by the middle of summer and at the end of it, when the maximum values of abundance and biomass are reached. The waters of the investigated sections of the Volga River is characterized by a complex of phytoplankton of blue-green, diatoms and green algae, while the Kama River is dominated by diatom phytoplankton. In summer and autumn the «blooming» of water in both rivers is due to the massive development of blue-green algae of the genera Microcystis, Aphanizomenon, Anabaena, Oscillatoria. The waters of the Volga and Kama rivers in 2012 during the study period corresponded to the mesasaprobic type and moderately polluted zone; the waters of the Kama River had higher saprobity indices. The trophic status of the rivers under consideration in the study area was mostly related to the eutrophic type; during the periods of maximum reproduction of blue-green algae – to the hypereutrophic type.
Full Text
Введение
Куйбышевское водохранилище (Республика Татарстан, Россия) образовано в результате перекрытия р. Волга плотиной Жигулёвской ГЭС в районе г. Тольятти и рассчитано на сезонное регулирование стока. Протяженность водохранилища от Чебоксарского гидроузла до Куйбышевского по р. Волга 480 км и по р. Кама 201 км. Р. Кама впадает в р. Волга в Камский залив водохранилища. В месте слияния рек Волги и Кама Куйбышевское водохранилище образовывает озеровидное расширение – Волжско-Камский плес [1].
Гидрохимический режим Куйбышевского водохранилища неоднороден по химическому составу водных масс. Из-за более раннего половодья весенняя волжская водная масса заполняет Волго-Камский и почти весь Тетюшский плесы водохранилища, затем в нее вклиниваются воды Камского плеса. Они, оттесняя зимние камские и волжские воды к западу, распространяются вдоль мелководного левого берега обоих плесов. Фронтальная зона весенних волжской и камской водных масс четко прослеживается даже визуально, а их различный генезис отражается в физических и химических свойствах воды. По гидрохимическим показателям выделяются следующие водные массы: волжская, камская, волго-камская, черемшанская и собственно водохранилища. Камские воды более мутные и менее прозрачные, чем волжские воды. По соотношению ионов и минерализации химический состав волжских и камских вод значительно различается. В ионном составе камских вод преобладают сульфаты, а минерализация в зависимости от сезона и водности года колеблется от 168 до 674 мг/л. Волжские воды являются гидрокарбонатными кальциевыми и имеют меньшую минерализацию (120–130 мг/л) [1].
В целом воды водохранилища относятся к гидрокарбонатному классу, кальциевой группе, второму и третьему типам, также неоднородны по минерализации. Содержание кальция, магния и хлоридов не превышает установленных норм. Жесткость воды колеблется в пределах от 2 до 5 мг-экв./л, а активная реакция среды в норме (рН 6,5–8,5) [1].
Уровень воды в Куйбышевском водохранилище имеет годовое, сезонное и суточное регулирование плотиной ГЭС. Большое значение имеет также характер антропогенного воздействия и загрязнение на всем протяжении водохранилища. Поскольку водохранилище занимает промежуточное положение в системе водоемов Волжского каскада, для него характерен трансграничный перенос загрязняющих веществ с вышерасположенных участков р. Волга и Кама. При этом часть из них аккумулируется и трансформируется в водохранилище, а часть переносится в нижние участки и может служить источником загрязнения нижерасположенных водохранилищ. Значительный вклад в загрязнение привносят также крупные притоки, речной транспорт, локальные промышленные, сельскохозяйственные и коммунально-бытовые стоки и т.п. [2].
Разнокачественность поступающей воды, величина стока, степень сработки объема, внутриводоемные процессы и подтоки грунтовых вод сказываются на условиях существования гидробионтов, и в первую очередь фитопланктона [3; 4].
Цель настоящей работы: сравнительный анализ видового состава и сезонной динамики, а также оценка трофического состояния прибрежных мелководий рек Волга и Кама, при слиянии образующих Куйбышевское водохранилище.
Материалы и методы
В период май-октябрь 2012 г. на р. Волга (средняя часть Куйбышевского водохранилища) в районе н.п. Боровое Матюшино (ст. 1) и на р. Кама (5 км ниже г. Нижнекамск) (ст. 2) были проведены исследования планктонных водорослей. На рис. 1 приведена схема расположения станции отбора проб. Пробы отбирались с глубины 0,5–2,5 м в прибрежной зоне с интервалом один раз в неделю. Всего было собрано 72 качественных и количественных проб. Отбор и камеральную обработку проб фитопланктона осуществляли согласно общепринятым методам [5–11]. Количественные пробы объемом 0,5 л фиксированы 40% раствором формалина. Фиксированные пробы концентрировали осадочным методом до 7–10 мл для качественного и количественного учета фитопланктона. Также для сгущения фитопланктона применяли прибор вакуумного фильтрования для гидробиологических исследований в воде ПВФ-35/НБ. Для концентрирования фитопланктона были использованы мембранные фильтры Владипор типа МФАС-ОС-2 и МФАС-ОС-3 с размером пор 0,45 и 0,8 мкм. Подсчёт организмов производили по общепринятой методике в камере Горяева. Для определения биомассы использовали счётно-объёмный метод. Для каждой пробы вычисляли индекс трофности (ITS) по блоку Милиуса по формуле Ib = 44,87 + 23,22 × logB [12]. Для определения степени сапробности водоемов рассчитывали индекс сапробности (S) Пантле и Букка в модификации Сладечека [13]. За весь период исследований были регистрированы метеоусловия и гидрологические особенности рек (уровень воды, прозрачность, погодные условия и др.).
Результаты и обсуждения
Состав и эколого-флористическая характеристика водорослей
Так как целью данных исследований было изучение структуры планктонных водорослей в толще воды, видовое разнообразие в пробах воды было невысоким. Всего за период исследований было выявлено 123 таксонов планктонных водорослей из 7 отделов. Данные по таксономической структуре фитопланктона приведены в табл. 1.
Наибольшее видовое разнообразие на всех участках наблюдается в отделах зеленых (32%) и диатомовых (41%) водорослей. Другие группы менее разнообразны: синезеленые водоросли – 14%, эвгленовые – 8%, золотистые – 3%, динофитовые – 2% и криптофитовые – 2% (рис. 2). На ст. 1 количество выявленных видов зеленых и диатомовых водорослей примерно одинаково. Наиболее часто встречаются виды родов синезеленых водорослей Aphanizomenon, Merismopedia, Microcystis, криптофитовых Cryptomonas, диатомовых Stephanodiscus, Nitzschia, Synedra, Cyclotella, эвгленовых Trachelomonas, динофитовых Peridinium и зеленых Carteria, Chlamydomonas, Scenedesmus, Grucigenia, Dictyosphaerium, Tetraedron, Coelastrum, Monoraphidium.
Рисунок 1 – Карта-схема расположения района исследований на р. Волга и р. Кама в 2012 г.
Таблица 1 – Количество таксонов в отдельных группах фитопланктона Куйбышевского водохранилища (2012 г.) (в скобках количество видов р. Волга / р. Кама)
Отдел | Класс | Порядок | Род | Вид |
Cyanophyta | 2 | 3 | 9 | 16 (16/9) |
Cryptophyta | 1 | 1 | 1 | 2 (2/1) |
Dinophyta | 1 | 2 | 4 | 7 (6/4) |
Chrysophyta | 1 | 2 | 3 | 3 (3/2) |
Bacillariophyta | 2 | 5 | 26 | 48 (34/45) |
Euglenophyta | 1 | 1 | 4 | 9 (9/0) |
Chlorophyta | 3 | 4 | 24 | 38 (37/16) |
Всего | 11 | 18 | 71 | 123 (102/77) |
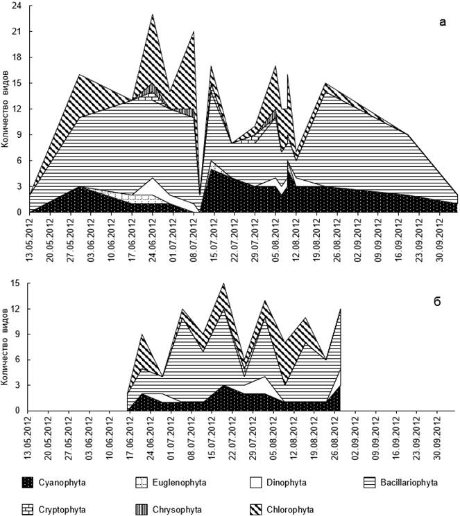
Рисунок 2 – Количество таксонов в отдельных группах фитопланктона Куйбышевского водохранилища р. Волга (a) и р. Кама (б) в 2012 г.
На ст. 2 по видовому разнообразию преобладают диатомовые водоросли (61%) родов Stephanodiscus, Nitzschia, Aulacoseira, Cyclotella, Synedra. Из синезеленых водорослей чаще всего в пробах воды встречается вид Aphanizomenon flos-aquae (L.) Ralfs.
Также в состав фитопланктона исследованных участков входят водоросли эпифитона, эпипелона и свободно плавающие нитчатые водоросли. Значительная часть водорослей из всего списка встречались единично и были выявлены лишь в качественных пробах.
Весной и в начале лета в фитопланктоне преобладают виды водорослей с широким экологическим спектром, способные обитать в составе и планктона и бентоса. В основном это виды пеннатных и нитчатых центрических диатомовых водорослей, а также зеленые сфероплеевые водоросли. Наиболее высокое видовое разнообразие характерно родам Synedra, Stephanodiscus, Nitzschia, Cyclotella, Scenedesmus. В дальнейшем с прогреванием водных масс массово начинают развиваться синезеленые, эвгленовые и зеленые водоросли.
Сезонная динамика фитопланктона в 2012 г.
В 2012 г. в вегетационный период водорослей среднемесячные температуры воздуха были выше нормы на 2–3°С, отмечалась неустойчивая погода со значительными колебаниями температуры воздуха. Обильные осадки и грозы, которые распределялись неравномерно по территории и по времени, чередовались продолжительными периодами спокойной жаркой и сухой погоды. Уровень воды в водохранилище, в отличие от предыдущих лет, в течение всего безледного периода держался весьма высоко, близко к отметкам 53–54 м [14].
В начале вегетационного периода (май) общее количество видов планктонных водорослей на пробу на ст. 1 составляло от нескольких до 16 видов (рис. 3). По видовому разнообразию преобладали зеленые и диатомовые водоросли (31 и 50%), также до 19% от общего числа встречались синезеленые водоросли. Наиболее многочисленными были виды диатомовых Aulacoseira islandica o. Mill., A. italica (Ehr.) Kiitz., A. granulata (Ehr.) Ralfs., Stephanodiscus hantzschii Crun., Nitzschia acicularis W. Sm. Зеленые были представлены сфероплеевыми, из синезеленых преобладал Aphanizomenon flos-aquae (L.) Ralfsz.
Число видов снижалось к началу июня, однако к третьей декаде июня число водорослей на обеих станциях возросло более чем в два раза и составило на ст. 1 – 23 вида, на ст. 2 – 9 видов. По видовому разнообразию на ст. 1 преобладали диатомовые и зеленые водоросли. Диатомовые в начале июня составляли 85%, к середине 40 и к концу 71%. Зеленые сфероплеевые составляли до 35% числа видов. Доминирующими видами являлись Aulacoseira islandica o. Mill., Aulacoseira italica (Ehr.) Kiitz.
Рисунок 3 – Сезонная динамика количества таксонов фитопланктона на пробу Куйбышевского водохранилища р. Волга (a) и р. Кама (б) в 2012 г.
Общее количество видов планктонных водорослей на ст. 2 на 33–50% составляли диатомовые и на 35% зеленые сфероплеевые. Также по 25% к концу июня стали встречаться динофитовые и синезеленые. На этой станции со второй половины июня стала доминировать центрическая диатомовая водоросль Stephanodiscus hantzschii Crun., образовывая местами до 84% общей численности и 99% общей биомассы.
С середины лета на ст. 1 видовое разнообразие диатомовых стало снижаться и до осени держалось в пределах 30–50%. Далее их разнообразие повысилась только в конце августа до показателей 70%. Доминировали вышеуказанные виды центрических диатомовых.
В летний период на этой станции высокое разнообразие наблюдалось среди зеленых (29–44% до середины августа) и синезеленых водорослей (29–50% вплоть до октября). К зеленым сфероплеевым присоединились и массово развивались зеленые вольвоксовые Pandorina morum (Mill.) Bory., Chlamydomonas sp., Carteria globosa Korschik.
С середины июля на водохранилище повсеместно началось «цветение» воды синезелеными водорослями Microcystis aeruginosa Kutz., Anabaena flos-aquae Breb., Anabaena scheremetievi Elenc., Aphanizomenon flos-aquae (L.) Ralfs., Oscillatoria planctonica Wotosz. На ст. 1 «цветение» воды можно было наблюдать еще и в начале сентября. Часто явления «цветения» воды на Куйбышевском водохранилище могут продолжаться до конца сентября. Однако лето в 2012 г. выдался многоводным и прохладным, массовое размножение синезеленых водорослей было не таким интенсивным и продолжительным.
Ст. 2 отличается от ст. 1 более низкими значениями всех показателей. Со второй половины лета на ст. 2 видовое разнообразие не превышало 15 видов на пробу. В течение всего периода наблюдений преобладали центрические и пеннатные диатомовые водоросли (60–80%). Stephanodiscus hantzschii Crun был доминирущим видом, также обильно развивались Aulacoseira islandica o. Mill., Aulacoseira italica (Ehr.) Kiitz., Aulacoseira granulata (Ehr.) Ralfs.
Зеленые (до 28–63%) были отмечены в первой половине августа и представлены сфероплеевыми и вольвоксовыми Chlamydomonas sp. Максимальные показатели синезеленых водорослей (до 25–33% числа видов на пробу) были отмечены в середине июля и августа. В целом для вод р. Кама в вегетационный период характерно диатомовый комплекс водорослей. Зеленые и синезеленые водоросли в такой многоводный год нехарактерны для этой станции.
По количественным показателям рассматриваемые участки рек разительно отличаются (рис. 4, 5). И по биомассе, и по численности в водах реки Волга на ст. 1 преобладают синезеленые водоросли. Диатомовые были доминирующей группой только в начале вегетационного сезона.
Рисунок 4 – Сезонная динамика численности (млн кл./л) фитопланктона Куйбышевского водохранилища р. Волга (a) и р. Кама (б) в 2012 г.
Рисунок 5 – Сезонная динамика биомассы (мг/л) фитопланктона Куйбышевского водохранилища р. Волга (a) и р. Кама (б) в 2012 г.
На этом участке максимальные количественные показатели фитопланктона наблюдались во второй декаде июля (начинается «цветение») и ко второй декаде августа. Общая численность фитопланктона в дни интенсивного «цветения» воды составляла 2471,20 млн кл./л и 2380,90 млн кл./л, при этом 99,6 и 99,8% общей численности образовывали синезеленые водоросли. Общая биомасса составила 168,72 мг/л и 160,30 мг/л. Синезеленые также образовывали до 97 и 98% от общей биомассы.
Как показывают результаты исследований, проведенные в 2012 г., в фитопланктоне р. Волга в весенне-летний период по количественным показателям доминируют диатомовые Stephanodiscus hantzschii, Aulacoseira islandica o. Mill., Aulacoseira italica (Ehr.) Kiitz., Aulacoseira granulata (Ehr.) Ralfs., в летне-осенний период – синезеленые Aphanizomenon flos-aquae (L.) Ralfs., Oscillatoria planctonica Wotosz., Microcystis aeruginosa Kutz., Anabaena flos-aquae Breb., Anabaena scheremetievi Elenc., зеленые сфероплеевые Actinastrum hantzschii var. sp., Crucigenia tetrapedia (Kirchn.) W. et. W., Crucigenia rectangularis (A. Br.) Gay., Pediastrum duplex Meyen., Scenedesmus guadricauda (Turp.) Breb., Scenedesmus acuminatus (Lagerh.) Chod., зеленые вольвоксовые Pandorina morum (Mill.) Bory., Chlamydomonas sp., Carteria globosa Korschik., диатомовые Aulacoseira italica (Ehr.) Kiitz.
В водах реки Кама на ст. 2 и по биомассе, и по численности преобладают диатомовые водоросли. Синезеленые доминировали по биомассе только в начале и в конце августа, вызывая небольшие пятна «цветения». Если анализировать динамику численности фитопланктона на этом участке, то синезеленые по численности преобладают в течение всего периода наблюдений, что вызвано маленькими размерами клеток планктонных синезеленых водорослей. Однако нельзя сказать, что именно они доминируют на этом участке, так как по биомассе эти водоросли не превышают и 5%.
Максимальные количественные показатели фитопланктона на этом участке наблюдаются к середине июня и к концу июля до августа. В первый максимум, вызванный развитием диатомовых, общая численность фитопланктона составляла 11,44 млн кл./л (диатомовые образовывали до 65% от общей численности). Общая биомасса в этот период составила 44,03 мг/л (диатомовые образовали 99% общей биомассы). Такая же биомасса в этот период наблюдалась и на ст. 1.
В начале августа за счет синезеленых (99%) общая численность и общая биомасса фитопланктона составила 160,61 млн кл./л и 13,74 мг/л. Синезеленые доминировали совсем недолго, и с середины августа вновь начали преобладать в воде диатомовые, которые к концу августа образовали 63,07 млн кл./л и 11,85 мг/л (диатомовые 90 и 84%, соответственно).
В фитопланктоне р. Кама в весенне-летний период по количественным показателям доминируют также диатомовые Stephanodiscus hantzschii, Aulacoseira islandica o. Mill., Aulacoseira italica (Ehr.) Kiitz., Aulacoseira granulata (Ehr.) Ralfs., в летне-осенний период – синезеленые Aphanizomenon flos-aquae (L.) Ralfs., Anabaena flos-aquae Breb., диатомовые Stephanodiscus hantzschii, Aulacoseira islandica o. Mill., Aulacoseira italica (Ehr.) Kiitz., Aulacoseira granulata (Ehr.) Ralfs., зеленые Crucigenia rectangularis (A. Br.) Gay., Scenedesmus guadricauda (Turp.) Breb., Scenedesmus acuminatus (Lagerh.) Chod., зеленые вольвоксовые Chlamydomonas sp.
Таким образом, в наблюдаемый год в сезонной динамике фитопланктона р. Волга и Кама было выявлено два пика численности и биомассы – в летний и летне-осенний периоды. Как правило, «цветение» воды обусловлено массовым развитием синезеленых водорослей родов Aphanizomenon и Microcystis.
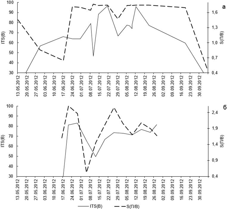
Воды исследуемых участков обеих рек в течение большей части вегетационного сезона в 2012 г. соответствовали мезосапробному типу и умеренно-загрязненной зоне (рис. 6), причем водам р. Кама характерны более высокие показатели сапробности.
Также при комплексной оценке полученных данных был установлен трофический статус вод рассматриваемых участков рек, которые соответствовали эвтрофному, а в периоды максимального развития планктонных водорослей гиперэвтрофному типу (60–79 – эвтрофный, 80–100 – гиперэфтрофный).
Рисунок 6 – Динамика индексов трофности (IТS, В – биомасса) и сапробности (S, П/В – индекс сапробности Пантле и Букка в модификации Сладечека) по биомассе фитопланктона Куйбышевского водохранилища р. Волга (а) и р. Кама (б) в 2012 г.
Выводы
В фитопланктоне проточных районов рек Волга и Кама (на участках перед их слиянием в Куйбышевском водохранилище) в вегетационный период 2012 г. выявлено 123 таксонов водорослей, относящихся к 7 отделам, среди которых по видовому разнообразию преобладают зеленые и диатомовые водоросли. Воды р. Волга имеют более высокое видовое разнообразие (107 видов). Фитопланктон р. Кама менее разнообразен (76 видов).
В сезонной динамике фитопланктона исследованных участков рек наблюдались два пика численности и биомассы – к середине и в конце лета, в периоды которых достигаются максимальные значения численности и биомассы. Если для вод исследуемых участков р. Волга характерен комплекс фитопланктона из синезеленых, диатомовых и зеленых и водорослей, то в р. Кама преобладает диатомовый фитопланктон.
Летом и осенью «цветение» воды в обеих реках обусловлено массовым развитием синезеленых водорослей родов Aphanizomenon, Microcystis, Anabaena, Oscillatoria.
Воды р. Волга и р. Кама в 2012 г. в период исследований соответствовали умеренно-загрязненной зоне и к мезасапробному типу, причем воды р. Кама имели более высокие показатели сапробности. Трофический статус рассматриваемых рек в районе исследований относится к эвтрофному, а в периоды максимального размножения синезеленых водорослей – к гиперэвтрофному типу.
Заключение
Сравнительный анализ качества воды по показателям планктонных водорослей рек Волга и Кама ниже крупных городов до их слияния может быть использован в работе природоохранных и рыбохозяйственных организаций при оценке состояния рек, впадающих в Куйбышевское водохранилище, а также при разработке практических рекомендаций по улучшению качества водной среды водохранилища. Полученные результаты применены в мониторинговых и прогностических исследованиях рек Республики Татарстан, а также при изучении биологического разнообразия РТ и РФ.
About the authors
Liliya Y. Khaliullina
Kazan (Volga Region) Federal University
Author for correspondence.
Email: liliya-kh@yandex.ru
candidate of biological sciences, associate professor of Botany and Plant Physiology Department
Russian Federation, KazanReferences
- Куйбышевское водохранилище (Научно-информационный справочник). Тольятти: ИЭВБ РАН, 2008. 123 с.
- Экология фитопланктона Куйбышевского водохранилища. Л.: Наука, 1989. 304 с.
- Халиуллина Л.Ю., Яковлев В.А. Фитопланктон мелководий в верховьях Куйбышевского водохранилища. Казань: Изд-во АН РТ, 2015. 171 с.
- Khaliullina L.Yu., Khaliullin I.I., Yakovlev V.A. Seasonal and year-to-year dynamics of phytoplankton in connection with the level regime of the Kuibyshev Reservoir // Water Resources. 2009. Vol. 36, № 4. С. 459–465.
- Водоросли. Справочник. Киев: Наук. думка, 1989. 608 с.
- Садчиков А.П. Методы изучения пресноводного фитопланктона. М.: Университет и школа, 2003. 200 с.
- AlgaBase is a database of information on algae that includes terrestrial, marine and freshwater organisms [Internet] // https://www.algaebase.org.
- Cantonati M. Freshwater bentic diatoms of Central Europe: over 800 common species used in ecological assessment. Berlin: Spektrum Akademischer Verlag, 2017. 942 s.
- Krammer K. Bacillariophyceae. 3. Teil: Centrales, Fragilariaceae, Eunotiaceae. Susswasserflora von Mitteleuropa. Berlin: Spektrum Akademischer Verlag, 1991. 576 s.
- Krammer K. Bacillariophyceae. 4. Teil: Achnanthaceae, Kritische Erganzungen zu Navicula (Lineolatae) und Gomphonema. Susswasserflora von Mitteleuropa. Berlin: Spektrum Akademischer Verlag, 1991. 437 s.
- Pröschold T., Leliaert F. Systematics of the green algae: conflict of classic and modern approaches // Unravelling the algae. The past, present, and future of algal systematics. The Systematics Association Special. 2007. Vol. 75. P. 123–153.
- Андроникова И.Н. Теоретические вопросы классификации озер. СПб.: Наука, 1993. С. 51–72.
- Sladecek V. System of water quality from the biological point of view // Archiv für Hydrobiologie Beihefte: Ergebnisse der Limnologie. 1973. Bd. 7. 189 p.
- Булыгина О.Н., Коршунова Н.Н., Разуваев В.Н. Погода на территории Российской Федерации в 2012 году [Электронный ресурс] // Федеральная служба по гидрометеорологии и мониторингу окружающей среды. – http://meteo.ru/93-klimaticheskie-usloviya/190-2012.
Supplementary files














