Patterns in steppe meadow vegetation at the border of Forest-steppe and Steppe zones of the Southern Ural
- Authors: Nazarenko N.N.1, Malaev A.V.1, Pirozhenkova A.V.1, Bayda N.A.1
-
Affiliations:
- South Ural State Humanitarian Pedagogical University
- Issue: Vol 9, No 3 (2020)
- Pages: 93-99
- Section: General Biology
- URL: https://snv63.ru/2309-4370/article/view/50512
- DOI: https://doi.org/10.17816/snv202093116
- ID: 50512
Cite item
Full Text
Abstract
The patterns (mosaicity) in steppe meadow vegetation were characterized at the border of Forest-steppe and Steppe zones of the Southern Ural by hierarchical continuum concept theory for Troitskiy state natural complex preserve example. It has been established that the discordant natural region bring about mosaicity destruction – micro-patterns are fuzzy, parcels are not formed and coenotics (12,0 m) level is identified only. The steppe meadow vegetation is characterized by coenotic level continuum – coenotic patterns have almost identical dominant and co-dominant species composition, phytochorologic units form combination of four meadow grasses with middle and weak contagious spatial distribution and most species have random spatial distribution. But the steppe meadow biotopes are characterized by specifics of abiotic factors. The significant factors, influencing coenotic patterns and biotopes of steppe meadow, are soil calcium and nitrogen regime, soil aeration, moistening and its variability.
Full Text
Введение
Современные подходы в изучении пространственной структуры биогеоценоза предполагают выделение мозаик видов на уровне их ценопопуляций [1] и собственно ценотическую мозаичность как многовидовые мозаики [2]. Оценка мозаичности на первом уровне традиционно проводится как геометрическая (картографирование) оценка локусов ценопопуляций отдельных видов, а на втором – многовидовых [3; 4]. Выделение локусов выполняется на основе оценки плотности особей [5], при которой локусы многовидовые часто определяются как совокупность локусов ценопопуляций [3] и само растительное сообщество рассматривается как континуум разномасштабных мозаик, в том числе и ценотических [6–11].
Формирование мозаик определяется как биологическими особенностями видов [12], так и разномасштабной неоднородностью биотопов [13], в связи с чем оценка мозаичности не может исчерпываться только выделением локусов, но должна сопровождаться оценкой факторов формирования мозаик на каждом уровне [4; 8; 11; 14–17]. Уровень микросайт – биотоп, на котором и формируется внутриценотическая структура, является в настоящее время наименее изученным [18], а для луговых сообществ исследования по-прежнему ведутся преимущественно на ценотическом уровне и с использованием картографических подходов [19].
Задачей данной работы является изучение мозаичности остепненных лугов пограничной зоны лесостепи и степи Южного Урала на примере ценозов Троицкого государственного природного комплексного заказника.
Объект и методика исследований
Троицкий государственный природный комплексный заказник (Троицкий р-н Челябинской области) образован в 1927 г. как лесостепной заповедник, с 1951 г. его территория получила статус учебно-опытного хозяйства Пермского университета, с 1969 г. – государственного ботанического заказника, а с 2001 г. – комплексного заказника [20–22]. Научные исследования на его территории велись до 2012 г. [20], а биогеоценологические исследования – до 1990-х годов [23]. В зональном отношении заказник расположен в подзоне северных ковыльно-разнотравных степей [24], но его растительность характерна для южных районов лесостепи [20]. Таким образом, растительность заказника является переходной на границе лесостепной и степной зон Южного Урала.
Для изучения растительности остепненных лугов геоботанический профиль закладывался в зоне «Остепненные луга» (стационар № 1, расположенный в квартале 10 выделы 1 и 25 и квартале 9 выдел 7), организованной Пермским государственным университетом. На профиле закладывались 100-метровые трансекты, состоящие из непрерывных примыкающих площадок 0,2 × 0,2 м, определяемых трансектной вилочкой Л.Г. Раменского [25] размером 0,2 × 1,0 м. На каждой площадке отмечали присутствие видов сосудистых растений. В качестве учетной единицы выбирались парциальные побеги [26], для моноцентрических видов – особь, а для плотнокустовых злаков – компактный клон [27]. Результаты заносились в базу данных, где для каждой площадки по бинарной системе отмечалось наличие (1) или отсутствие (0) вида.
Оценка характера размещения видов выполнялась методом итераций (Analysis of runs) [28–30] по шкале величины t П.В. Терентьева в модификации А.А. Маслова [17]. Определение размеров мозаик выполнялось по изменению дисперсии численности видов с увеличением размера площадки (Hierarchical ANOVA) [17; 30]. При этом в связи особенностью закладки пробных площадей оценивались не площади, а линейные размеры мозаик [31].
Объективные многовидовые мозаики оценивались методом блоков и главных компонент [15; 17; 30]. На трансектах в двух независимых противоположных направлениях определялись непрерывные неперекрывающиеся блоки переменного размера с шагом 0,2 м для блоков до 2 метров и 1,0 м – свыше 2 метров. Полученные блоки анализировались методом главных компонент (Factor Analysis, Principal components Extraction method) в пакете Statistica. Объективные размеры мозаик (уровни мозаичности) определялись по изменению вклада в суммарную дисперсию видов первых трех осей главных компонент по совместным «пикам» значений 1 и 2-й, 1 и 3-й, 2 и 3-й осей. Оценка факторов мозаичности выполнялась на основе ординации видов в осях главных компонент по величинам нагрузки (Factor Loadings) видов на эти оси и координат видов в пространстве абиотических факторов [16; 17], которые рассчитывались методом реализованной экологической ниши [32] по положению видов в фитоиндикационных шкалах [33]. Интерпретация осей проведена непараметрической корреляцией [34] с использованием коэффициента тау Кендалла.
Выделенные мозаики классифицировались методом кластерного анализа по матрице коэффициента Сёренсена–Чекановского с использованием бета-гибкой стратегии Ланса [35]. Проверка классификации проводилась дискриминантным анализом [36], а оценка биотопов мозаик – ординацией выделенных мозаик в пространстве фитоиндикационных шкал [32] и осей неметрического многомерного шкалирования (НМШ) [35]. Положение мозаик в шкалах рассчитывалось методом среднего балла [32], на основе определенных координат видов, а интерпретация осей выполнялась также непараметрической корреляцией [34] с использованием коэффициента тау Кендалла.
Результаты и обсуждение
Анализ характера пространственного размещения видов остепненых лугов Троицкого заказника (табл. 1) позволяет выделить пять групп типов пространственного размещения видов.
Так, 2 вида (Phleum pratense и Lepidotheca suaveolens) характеризуются сильно контагиозным размещением, 4 вида – средне контагиозным и шесть – слабо контагиозным. Для Euphorbia virgata характерен регулярный характер размещения. Остальное большинство видов остепненных лугов размещено в пределах профиля случайно. При этом для всех видов характерно наличие нескольких «пиков» дисперсии численности в зависимости от размеров блоков, а их число возрастает с увеличением этого размера, что указывает на изменение характера размещения с масштабом. Это означает, что при увеличении размеров площадок вид, например, с сильно контагиозным характером размещения может определяться как случайный и наоборот. А сама оценка характера пространственного размещения зависит от того, какой размер учетной площадки принят как базовый. Более того, исследования на основе учетных площадок большего размера, чем минимальный размер учетной единицы особи для биоморфы, не только не свидетельствуют о реальном характере пространственного размещения вида в ценопопуляции, но и могут давать искаженную информацию об этом размещении.
Важной особенностью пространственной структуры изученных остепненных лугов также является отсутствие сопряженности между «пиками» для разных видов – четко не выделяются уровни мозаичности, для которых характер размещения меняется для достаточно большого числа видов. Это указывает на высокую континуальность остепненных лугов и прогнозируемое небольшое число объективных многовидовых мозаик.
Оценка многовидовых мозаик (рис. 1) показывает рост вклада трех осей главных компонент и четкую дифференциацию их вклада в суммарную дисперсию. Это указывает на наличие нескольких эколого-ценотических групп растений и высокое разнообразие разномасштабных факторов мозаичности. Для обоих вариантов однозначно выделяется только ценотический уровень мозаичности 12,0 метров. При этом для одного варианта также определяются объективные микромозаики размером 1,8 м (рис. 1: А), а для другого – 1,6, 10,0, 14,0 и 16,0 метров (рис. 1: Б). Таким образом, для остепненных лугов однозначно определяется только ценотический уровень (12 м) мозаичности при однозначно не выделяемом микрозональном и не выраженном парцеллярном. Это, вероятнее всего, связано с экологическим несоответствием луговых экосистем степным условиям среды – увеличение экстремальности экологических факторов (остепнение) приводит к упрощению горизонтальной структуры, пространственные мозаики становятся менее выраженными и начинают превалировать мозаики одного масштаба. Таким образом, на пространственном уровне наблюдается известное в геоботанике упрощение ценотического разнообразия экосистем с ухудшением биотопов («чем жестче – тем проще»). Также необходимо отметить, что закладка классических геоботанических площадок размером 10 × 10 м не полностью охватывает ценотический уровень травянистых сообществ, хотя и близок ему.
Таблица 1 – Оценка характера размещения ценопопуляций видов остепненных лугов Троицкого заказника
Вид | % | t | Размер мозаики, м | ||||||||||||||||||||||
0,8 | 1,2 | 1,4 | 1,6 | 1,8 | 2,0 | 3,0 | 4,0 | 5,0 | 6,0 | 7,0 | 8,0 | 9,0 | 10,0 | 11,0 | 12,0 | 13,0 | 14,0 | 15,0 | 16,0 | 17,0 | 18,0 | 19,0 | |||
Euphorbia virgata Waldst. et Kit. | 12 | 2,4 | + | + |
| + |
|
|
|
| + |
|
|
| + | ||||||||||
Vicia cracca L. | 8 | 1,3 | + | + | + | + |
| + |
|
|
|
| + |
|
|
| + | ||||||||
Achillea millefolium L. | 7 | 1,2 | + | + | + |
|
| + |
|
| + |
|
|
| + | ||||||||||
Lathyrus pratensis L. | 5 | 1,2 | + | + |
|
|
| + |
|
| + |
|
|
|
| ||||||||||
Sanguisorba officinalis L. | 5 | 1,2 | + |
|
| + |
|
| + |
| + |
|
|
| |||||||||||
Filipendula vulgaris Moench | 4 | 0,8 |
| + |
| + |
|
| + |
| + |
|
| ||||||||||||
Artemisia absinthium L. | 3 | 0,6 | + |
|
|
|
|
|
| + |
|
|
| + | |||||||||||
Salvia stepposa Shost. | 3 | 0,6 | + |
| + |
|
| + |
| + |
| + |
|
| |||||||||||
Taraxacum officinale Webb. ex Wigg. | 1 | 0,3 |
|
|
|
|
|
|
|
|
|
|
| ||||||||||||
Stipa tirsa Stev. | 1 | 0,2 | + |
|
|
|
|
|
|
|
|
|
|
| |||||||||||
Plantago major L. | 3 | 0,0 | + |
|
|
| + |
|
|
| + |
|
|
| |||||||||||
Arctium minus (Hill) Bernh. | 4 | –0,1 | + | + |
|
| + |
| + |
|
| + |
|
| + | ||||||||||
Medicago falcata L. | 4 | –0,2 | + |
| + |
|
|
| + |
|
|
| + | ||||||||||||
Phlomoides tuberosa (L.) Moench | 7 | –0,6 | + | + |
|
|
| + |
| + |
| + |
| + |
| ||||||||||
Cichorium intybus L. | 14 | –1,8 |
|
| + |
| + |
|
|
| + |
|
| ||||||||||||
Stipa pennata L. | 5 | –2,6 | + |
|
|
| + |
|
|
|
| + |
|
| |||||||||||
Galium verum L. | 6 | –2,7 | + | + | + | + |
|
|
|
| + |
|
|
|
| + |
| ||||||||
Plantago major L. | 7 | –3,0 | + | + | + |
|
|
|
|
|
| + |
| + |
|
| |||||||||
Festuca pratensis Huds. | 6 | –4,2 | + | + | + |
| + |
|
|
|
|
|
| + |
|
| |||||||||
Veronica chamaedrys L. | 3 | –4,4 | + | + |
|
| + |
| + |
|
| + |
|
|
| ||||||||||
Poa pratensis L. | 14 | –6,0 | + | + | + | + |
| + |
|
|
| + |
|
| + |
| + | ||||||||
Bromopsis inermis (Leyss.) Holub | 12 | –6,3 | + | + | + | + |
| + |
|
| + |
|
|
| + |
|
| ||||||||
Brachypodium pinnatum (L.) Beauv. | 2 | –7,4 | + | + | + |
|
|
|
|
|
|
|
|
|
|
| |||||||||
Carex supina Wahlenb. | 14 | –8,2 |
|
|
|
| + |
|
| + |
|
| + | ||||||||||||
Fragaria viridis Duch. | 6 | –8,5 | + | + |
| + |
|
| + |
|
| + |
|
| + | ||||||||||
Phleum pratense L. | 6 | –10,5 | + | + |
|
| + |
|
| + |
| + |
|
|
| ||||||||||
Lepidotheca suaveolens (Pursh) Nutt. | 11 | –11,2 | + | + |
|
|
|
|
|
| + |
|
|
|
| ||||||||||
Примечание. Показаны мозаики, для которых определены «пики» (+) дисперсии численности видов, % обозначена встречаемость на профиле.
Выделенные ценотические мозаики остепненных лугов по размеру близки ценотическим мозаикам степных целинок Южного Урала (11,0 м) [37], что может указывать на фундаментальность мозаичности 11–12 м для травянистых ценозов Южного Урала.
Оценка влияния абиотических факторов на формирование многовидовых мозаик предполагает выделение трех осей ординации, в связи с чем идентифицировались три группы ведущих факторов (табл. 2).
Ведущими факторами распределения видов в микромозаиках остепненных лугов (1,6–1,8 м) являются режим уменьшения в почве кальция, режим почвенного азота и ухудшения режима почвенной аэрации (утяжеление гранулометрического состава и увеличение обводненности корнеобитаемого слоя почвы), а также нарастание почвенной кислотности. На ценотическом уровне (12 м) роль большинства этих факторов сохраняется, меняется только характер влияния – повышение содержания в почве кальция, не только ухудшение, но и улучшение режима аэрации почв (более легкий гранулометрический состав и меньшая обводненность корнеобитаемого слоя) и рост содержания почвенного азота. Но при этом не идентифицируется как ведущий режим кислотности, а проявляется роль роста почвенного увлажнения. Для ценотических мозаик более высокого уровня (14,0 м) при сохранении ведущей роли режима почвенной аэрации в качестве определяющих также становятся солевой режим (минерализованность почвенного раствора) и рост переменности (контрастности) почвенного увлажнения – статистически значимый фактор.
Необходимо отметить, что корреляция мозаик с абиотическими факторами в большинстве случаев статистически не значима, что указывает на недостаток использования метода главных компонент, а также на преобладающее влияние ценотических факторов. В связи с этим для остепненных лугов на однозначно выделяемом ценотическом уровне (12 м) проводилась классификация выделенных многовидовых мозаик с выделением их группировок – «мезофитохор» (биотоп) [14]. Всего определено 5 мезофитохор, которые фактически формируют одни и те же виды злаков со слабым и средним контагиозным размещением:
1) Bromopsis inermis (Leyss.) Holub – Poa pratensis L. – Carex supina Wahlenb. – Stipa pennata L. s. l.;
2) Poa pratensis – Bromopsis inermis;
3) Carex supina – Poa pratensis;
4) Festuca pratensis Huds. – Poa pratensis – Bromopsis inermis;
5) Poa pratensis – Carex supina.
Оценка классификации дискриминантным анализом показала ее 100% точность, но при этом различаются фитохоры не столько наличием и численностью указанных выше видов, представленных во всех мозаиках, сколько наличием в мозаиках и численностью нескольких видов разнотравья. Так, значимыми с высокой информативностью (статистически значимые величины Лямбда Уилкса и F-удаленное при уровне значимости 0,05), определяющими дискриминацию на ценохоры являются следующие виды разнотравья: Brachypodium pinnatum (L.) Beauv., Plantago major L., Cichorium intybus L., Lepidotheca suaveolens (Pursh) Nutt., Lathyrus pratensis L. и Euphorbia virgata Waldst. et Kit., часть из которых маркирует нарушенные сообщества. При этом какой-либо закономерности между характером размещения вида и его значимостью не определяется – значимыми выступают виды, характеризующиеся всеми видами размещения от регулярного до сильно контагиозного. Таким образом, остепненные луга в ценотическом плане представляют собой континуальную систему из сообществ одних и тех же видов, различающихся по численности этих видов, во-первых, и нарушенностью в результате влияния экстремальных факторов среды, которая маркируется видами-эксплерентами (рудерантами) лугового разнотравья. Также для остепненных лугов в некоторой степени подтверждается одно из основных положений флористической школы классификации Й. Браун-Бланке, что «верными» (информативными) видами для выделения синтаксонов могут быть не доминанты или эдификаторы растительности.
Ординация ценотических мозаик остепненных лугов методом неметрического многомерного шкалирования (НМШ) по показателю стресса выделила две ведущие оси или две группы ценотических факторов, и при этом определяется сложный характер влияния биотопов на эти факторы (табл. 3). В частности, ведущими факторами, определяющими ценотическую структуру, являются уменьшение почвенного увлажнения (ксерофитизация), содержания в почве азота и увеличение почвенной аэрации (связанной с уменьшением почвенного увлажнения, соответственно, капиллярной влаги в почве).
Оценка положения выделенных фитоценохр остепненных лугов в осях НМШ и фитоиндикационных шкалах методами дискриминантного анализа показала 100% точность определения мозаик, что указывает на их ценотическую специфичность и специфичность их биотопов. При этом значимыми факторами с высокой информативностью (статистически значимые величины Лямбда Уилкса и F-удаленное при уровне значимости 0,05), определяющими дискриминацию биотопов выделенных ценотических мозаик (мезофитоценохор) являются режимы почвенного увлажнения, почвенного кальция и почвенного азота.
Обе ординации фитоценохор (по численности и встречаемости видов и в пространстве осей НМШ и фитоиндикаицонных шкал) в пространстве первых двух дискриминантных функций (рис. 2) показывают, что ценохоры четко отличаются как видовой специфичностью и фиторазнообразием, так и экологической специфичностью их биотопов.
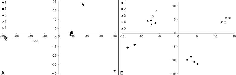
Рисунок 1 – Вклад в суммарную дисперсию растительности остепненных лугов осей главных компонент в зависимости от размера блока для степных экосистем Троицкого заказника (по оси ординат – вклад оси, %; по оси абсцисс – размер блока, м; 1, 2, 3 – номера осей, вертикальными линиями отмечены уровни мозаичности). А и Б – варианты объединения блоков в независимых противоположных направлениях
Таблица 2 – Идентификация ведущих факторов распределения видов в многовидовых мозаиках остепненных лугов Троицкого заказника на разных уровнях мозаичности (метод главных компонент)
Размер, м | Оси | Почвенное увлажнение (hd) | Переменность увлажнения (fh) | Кислотность почв (rc) | Солевой режим (sl) | Режим кальция (Ca) | Азотный режим (nt) | Почвенная аэрация (ae) |
1,6–1,8 | 1 | 0,08 0,06 | 0,00 0,03 | –0,08 0,01 | 0,08 –0,16 | –0,04 –0,18 | –0,03 0,17 | 0,09 0,12 |
2 | –0,07 0,04 | 0,05 0,00 | –0,10 –0,21 | 0,17 –0,08 | –0,04 0,12 | –0,19 –0,06 | –0,09 0,02 | |
3 | –0,07 0,08 | –0,07 0,03 | 0,03 0,05 | –0,01 –0,17 | –0,15 –0,07 | 0,15 0,22 | 0,12 0,20 | |
12,0 | 1 | 0,13 –0,01 | 0,09 –0,01 | –0,06 0,01 | 0,03 0,03 | –0,03 –0,01 | –0,01 0,08 | 0,09 0,02 |
2 | –0,08 –0,19 | 0,12 0,03 | –0,15 0,01 | 0,13 0,18 | 0,06 0,05 | –0,12 –0,19 | –0,17 –0,23 | |
3 | 0,11 –0,06 | –0,13 –0,09 | –0,12 –0,20 | 0,04 0,15 | 0,06 0,24 | 0,00 –0,09 | 0,16 0,04 | |
14,0 | 1 | 0,07 –0,04 | 0,06 –0,02 | –0,05 0,05 | 0,10 –0,07 | 0,00 –0,05 | –0,03 0,04 | 0,04 –0,01 |
2 | 0,16 –0,15 | –0,07 0,03 | 0,07 –0,12 | –0,11 0,09 | –0,04 0,05 | 0,13 –0,14 | 0,26 –0,22 | |
3 | 0,03 –0,06 | –0,04 0,30 | –0,14 0,16 | 0,06 0,00 | 0,16 –0,04 | –0,09 0,00 | 0,12 –0,16 |
Примечание. В числителе/знаменателе в случае отличий представлены первый и второй варианты выделения блоков соответственно; полужирным выделены статистически значимые величины тау Кендалла.
Таблица 3 – Идентификация ведущих факторов ординации мозаик остепненных лугов Троицкого заказника (неметрическое многомерное шкалирование)
Ось | Почвенное увлажнение (hd) | Переменность увлажнения (fh) | Кислотность почв (rc) | Солевой режим (sl) | Режим кальция (Ca) | Азотный режим (nt) | Почвенная аэрация (ae) |
NMS1 | –0,57 | –0,17 | –0,20 | 0,15 | 0,05 | –0,52 | –0,40 |
NMS2 | 0,35 | –0,05 | 0,28 | 0,30 | 0,10 | 0,23 | 0,15 |
Примечание. Полужирным выделены статистически значимые величины тау Кендалла.
Рисунок 2 – Ординация мозаик остепненных лугов (14 м) в пространстве показателей фиторазнообразия (А) и в пространстве осей НМШ и фитоиндикаицонных шкал (Б). На графиках показаны первые две дискриминантные оси
Выводы
Для экосистем остепненных лугов на границе лесостепной и степной зоны Южного Урала (на примере Троицкого государственного природного комплексного заказника) методами многомерной статистики подтверждается наличие иерархического континуума. Большинство видов характеризуется случайным характером пространственного распределения, многовидовые микромозаики выражены нечетко, парцеллярный уровень не определяется, а однозначно определяются только ценотические мозаики размером 12,0 метров, ценотические мозаики более высокого уровня также нечеткие. Это связано с несоответствием луговых экосистем природным степным факторам, в результате которого увеличение экстремальности факторов приводит к фрагментации горизонтальной структуры вплоть до упрощения пространственной организации, к возникновению пространственной неустойчивости и, соответственно, неустойчивости самих экосистем.
Изученные остепненные луга на границе двух зон Южного Урала характеризуются континуальностью ценотической структуры. Для них выделяется 5 фитохор, которые фактически формируются комбинациями четырех луговых злаков со средним и слабым контагиозным характером размещения: Bromopsis inermis (Leyss.) Holub, Poa pratensis L., Carex supina Wahlenb., Festuca pratensis Huds. и идентифицируются видами-эксплерентами (рудерантами) лугового разнотравья. Это подтверждает тезис, что информативными («верными») при классификации сообществ видами могут быть не доминанты или эдификаторы.
Корреляция многовидовых мозаик остепненных лугов с абиотическими факторами в большинстве случаев статистически не значима, что указывает на преобладающее влияние на формирование травянистых сообществ остепненных лугов Южного Урала ценотических факторов. Ведущими факторами, определяющими ценотическую структуру и биотопы остепненных лугов, являются режим почвенного кальция, почвенного азота, аэрации почв, почвенного увлажнения и ее переменность. При этом ценотические мозаики, несмотря на практически идентичный видовой состав доминант и содоминант, отличаются как видовой специфичностью и фиторазнообразием, так и экологической специфичностью их биотопов, но рядов биотопического замещения не образуют.
About the authors
Nazar N. Nazarenko
South Ural State Humanitarian Pedagogical University
Author for correspondence.
Email: nnazarenko@hotmail.com
doctor of biological sciences, professor of Chemistry, Ecology and Chemistry Methodology Department
Russian Federation, ChelyabinskAleksandr V. Malaev
South Ural State Humanitarian Pedagogical University
Email: malaev2@mail.ru
candidate of geographical sciences, head of Geography and Geography Methodology Department
Russian Federation, ChelyabinskAlla V. Pirozhenkova
South Ural State Humanitarian Pedagogical University
Email: allapirozhenkova@mail.ru
student of Natural Sciences and Technologies Department
Russian Federation, ChelyabinskNatalya A. Bayda
South Ural State Humanitarian Pedagogical University
Email: bayda.natashenka@mail.ru
student of Natural Sciences and Technologies Department
Russian Federation, ChelyabinskReferences
- Миркин Б.М., Розенберг Г.С. Анализ мозаичности травянистых растительных сообществ. 1. Популяционный уровень // Биологические науки. 1976. № 12. С. 127–134.
- Миркин Б.М., Розенберг Г.С. Анализ мозаичности травянистых растительных сообществ. 2. Ценотический уровень // Биологические науки. 1977. № 2. С. 121–126.
- Ценопопуляции растений (развитие и взаимоотношения). М.: Наука, 1977. 213 с.
- Ценопопуляции растений (очерки популяционной биологии). М.: Наука, 1988. 181 с.
- Фардеева М.Б., Исламова Г.Р., Чижикова Н.А. Анализ пространственно-возрастной структуры растений на основе информационно-статистических подходов // Ученые записки Казанского государственного университета. Естественные науки. 2008. Т. 150, кн. 4. С. 226–240.
- O’Neil R.V., de Anders D.L., Waide J.B., Allen T.F.H. A hierarchical concept of ecosystems. Princeton: Princeton University Press, 1986. 153 p.
- Austin M.P., Smith T.M. A new model for the continuum concept // Vegetatio. 1989. Vol. 83, № 1–2. P. 35–47.
- Collins S.L., Glenn S.M. A hierarchical analysis of species' abundance patterns in grassland vegetation // American Naturalist. 1990. № 135 (5). P. 633–648.
- Collins S.L., Glenn S.M., Roberts D.W. The hierarchical continuum concept // Journal of Vegetation Science. 1993. Vol. 4, is. 2. P. 149–156.
- van der Maarel E. Pattern and process in plant community: fifty years after A.S. Watt // Journal of Vegetation Science. 1996. Vol. 7, is. 1. P. 19–28.
- Martinez K.A., Gibson D.J., Middleton B.A. Core-satellite species hypothesis and native versus exotic species in secondary succession // Plant Ecology. 2015. № 216 (3). P. 419–427.
- Василевич В.И. Статистические методы в геоботанике. Л.: Наука, 1969. 232 с.
- Pelissier R., Goreaud F. A practical approach to the study pf spatial structure in simple cases of heterogeneous vegetation // Journal of Vegetation Science. 2001. № 12. P. 99–108.
- Заугольнова Л.Б., Истомина И.И., Тихонова Е.В. Анализ растительного покрова лесной катены в антропогенном ландшафте (на примере бассейна р. Жилетовки, Подольский район Московской области) // Бюллетень МОИП. Отдел биологический. 2000. Т. 105, вып. 4. С. 42–52.
- Маслов А.А. О совместном применении метода блоков и метода главных компонент для анализа мозаичности лесных сообществ. 1. Выделение осей // Бюллетень МОИП. Отд. Биологический. 1983. Т. 88, вып. 6. С. 73–79.
- Маслов А.А. О совместном применении метода блоков и метода главных компонент для анализа мозаичности лесных сообществ. 2. Идентификация осей экологическими факторами // Бюллетень МОИП. Отд. Биологический. 1985. Т. 90, вып. 4. С. 107–117.
- Маслов А.А. Количественный анализ горизонтальной структуры лесных сообществ. М.: Наука, 1990. 160 с.
- Заугольнова Л.Б. Иерархический подход к анализу лесной растительности малого речного бассейна (на примере Приокско-Террасного заповедника) // Ботанический журнал. 1999. Т. 84, № 8. С. 42–56.
- Горнов А.В. Особенности горизонтальной структуры внутрилесных лугов Нерусско-Деснянского полесья // Известия Самарского научного центра РАН. 2012. Т. 14, № 1 (5). С. 1219–1222.
- Гашек В.А., Захаров В.Д. Орнитофауна Троицкого заказника (Челябинская область) // Фауна Урала и Сибири. 2018. № 1. С. 163–183.
- Макарова Т.Н., Гизатуллин А.Н. 90 лет со времени образования Троицкого лесостепного заповедника // Биосферное хозяйство: теория и практика. 2018. № 2 (5). С. 55–64.
- Потапова Н.А., Назырова Р.И., Забелина Н.М., Исаева-Петрова Л.С., Коротков В.Н., Очагов Д.М. Сводный список особо охраняемых природных территорий Российской Федерации (справочник). Ч. II / отв. ред. Д.М. Очагов. М.: ВНИИприроды, 2006. 364 с.
- Антонова Л.А. Роль профессора А.Н. Пономарева в развитии ботанических исследований в Троицком лесостепном заповеднике (к 100-летию со дня рождения, 1906–2006 гг.) // Вестник Пермского университета. Сер. Биология. 2008. Вып. 9 (25). С. 111–114.
- Колесников Б.П. Растительность Челябинской области // Природа Челябинской области. Челябинск: Юж.-Урал. кн. изд-во, 1964. С. 135–158.
- Раменский Л.Г. Учет и описание растительности (на основе проективного метода) // Избранные работы – проблемы и методы изучения растительного покрова. Л.: Наука, 1971. С. 57–105.
- Смирнова О.В. Объем счетной единицы при изучении ценопопуляций растений различных биоморф // Ценопопуляции растений (основные понятия и структура). М.: Наука, 1976. С. 72–80.
- Смирнова О.В. Структура травяного покрова широколиственных лесов. М.: Наука, 1987. 208 с.
- Терентьев П.В. Применение метода итераций в количественном учете животных // Применение математических методов в биологи. Л.: ЛГУ, 1964. С. 105–110.
- Maslov A.A. Small-scale patterns of forest plants and environmental heterogeneity // Vegetatio. 1989. Vol. 84, is. 1. P. 1–7.
- Xiaobing Dai, van der Maarel E. Transect-based patch size frequency analysis // Journal of Vegetation Science. 1997. Vol. 8, is. 6. P. 865–872.
- Kershaw K.A. The Use of Cover and Frequency in the Detection of Pattern in Plant Communities // Ecology. 1957. Vol. 38, № 2. P. 291–299.
- Маслов А.А. К оценке параметров экологических ниш лесных растений при помощи индикационных шкал // Перспективы теории фитоценологии. Тарту: Изд. АН ЭССР, 1988. С. 105–110.
- Didukh Ya.P. The ecological scales for the species of Ukrainian flora and their use in synphytoindication. Kyiv: Phytosociocentre, 2011. 176 p.
- Persson S. Ecological indicator values as an aid in the interpretation of ordination diagrams // Journal of Ecology. 1981. Vol. 69, № 1. P. 71–84.
- Legendre L., Legendre P. Numerical ecology. Amsterdam: Elsevier Science B.V., 1998. 853 p.
- McLachlan G.J. Discriminant analysis and statistical pattern recognition. Wiley-Interscience: Hoboken, 2004. 580 p.
- Назаренко Н.Н., Перлов Е.Д. Мозаичность степных экосистем Брединского государственного природного биологического заказника // Самарский научный вестник. 2018. Т. 7, № 4 (29). С. 85–93.
Supplementary files






