Species composition and structure of parasites component communities of tugun Coregonus tugun (Pallas, 1814) from the Khatanga and Yenisei Rivers
- Authors: Polyaeva K.V.1, Dorovskikh G.N.2, Chugunova Y.K.1
-
Affiliations:
- Krasnoyarsk Branch of Russian Federal Research Institute of Fisheries and Oceanography
- Pitirim Sorokin Syktyvkar State University
- Issue: Vol 8, No 3 (2019)
- Pages: 72-80
- Section: General Biology
- URL: https://snv63.ru/2309-4370/article/view/34356
- DOI: https://doi.org/10.17816/snv201983112
- ID: 34356
Cite item
Full Text
Abstract
Tugun Coregonus tugun (Pallas, 1814) is an endemic of Siberia. Information about the species composition and structure of tugun parasite community on the stage of spawning migration is described in this paper. We carried out ichtioparasitologic studies in the Yenisey and the Khatanga Rivers in 2011–2014. Tugun parasite complex from the Khatanga River remains statistically identical in species composition, number of individuals and biomass and differs from those of the Yenisei’s tugun over the entire study period. Apparently two different stocks of tugun were investigated in the Yenisei River. One of them lives in the Yenisei’s streambed, the other one lives in the Podkamennaya Tunguska River. The composition of the parasitic fauna of tugun from two rivers is formed by generalist species. Tugun parasites component communities from all material collection stations have high values of the Shannon index and two dominant species (by numbers of parasites and by biomass). We found out that the species biomasses differ significantly on the «graphic» community structure. The description of tugun parasite communities corresponds to characteristic of a climax community on the stage of destruction except the «graphic» structure. In the analyzed parasitic communities the processes of egg laying and larval appearance, the death of parasites of previous year generation and infection with this year parasites occur simultaneously. The stages of formation and destruction of the community overlap. The described state of tugun parasites communities has an adaptive value. The load on the host body is reduced which ensures the long-term existence of parasites.
Keywords
Full Text
Введение и объект исследования
Тугун Coregonus tugun (Pallas, 1814) – эндемик Сибири, населяет реки от Оби до Яны. В р. Енисей встречается на всем протяжении, образуя наибольшие концентрации в пределах Туруханского и Енисейского районов Красноярского края [1, с. 113]. В системе р. Хатанга тугун является второстепенным компонентом ихтиофауны [2, с. 421].
Всего у тугуна обнаружено 39 видов паразитов [3–6; 7, с. 107–108; 8, с. 686–687], в р. Хатанга – 16 [7, с. 107–108; 8, с. 686–687], в р. Енисей – 21 вид [9, с. 146; 7, с. 107–108].
В работе, помимо уточнения состава паразитофауны тугуна из разных местообитаний в период нерестовой миграции, рассмотрены характеристики сообществ его паразитов как необходимых компонентов устойчивости экосистем [10, с. 2]. Сведения о состоянии паразитарных сообществ в этот период жизни рыбы немногочисленны [11]. Ранее исследователи изучали возрастную и сезонную динамику структуры сообществ паразитов рыб, ее зависимость от принадлежности хозяина к той или иной группе (в том числе половой) у хозяина одного вида из нескольких местообитаний, в разные годы [11–22].
Целью работы являлось уточнение состава паразитофауны и описание структуры компонентных сообществ паразитов тугуна из рек Хатанга и Енисей во время нерестовой миграции.
Материалы и методики исследования
Материал был собран по общепринятой методике [23] из р. Хатанга (р-н с. Хатанга (Таймырский Долгано-Ненецкий р-н; GPS: 71°59′ с.ш., 102°30′ в.д.) и р. Енисей (р-н с. Ярцево (Енисейский р-н; GPS: 60°14′ с.ш., 90°13′ в.д.), пос. Бор (Туруханский р-н; GPS: 61°36′ с.ш., 90°01′ в.д.) и д. Сумароково (Туруханский р-н; GPS: 61°39′ с.ш., 89°45′ в.д.). Рыбу брали из неводных уловов. Сразу после вылова её фиксировали в 10%-ном растворе формалина. На наличие паразитов просматривали осадок из емкостей, в которых хранили рыбу до вскрытия. Даты отлова тугуна и объемы выборок указаны в табл. 1.
Таблица 1 – Паразитофауна тугуна Coregonus tugun (Pallas, 1814) из рек Хатанга и Енисей
Вид паразита | Р. Хатанга | Р. Енисей | ||||
24.09.2011 | 10.09.2013 | 8–14.09.2014 | Пос. Бор, 09.2011 | С. Ярцево, 29.08.2014 | Д. Сумароково, 22.09.2014 | |
n = 15 | ||||||
1 | 2 | 3 | 4 | 5 | 6 | 7 |
Capriniana piscium (Bütschli, 1889) Jankowski, 1973 | – | 1(0,9) | – | – | 5(1,4) | 3(1,86) |
Epistylis sp. | 1(1,2) | – | – | – | – | – |
Apiosoma sp. 1 | – | 1(0,3) | – | – | – | – |
Apiosoma sp. 2 | – | – | – | – | ?(123) | – |
Apiosoma sp. 3 | – | – | – | – | – | 2(0,53) |
Trichodinа sp. | – | 1(0,1) | – | – | – | – |
Trichodinella epizootica (Raabe, 1950) | – | – | – | – | 3(1,6) | – |
Тrichodinella sp. | 2(1,4) | – | – | – | – | – |
Discocotyle sagittata (Leuckart, 1842) | – | – | – | 2(0,1) | – | – |
Triaenophorus nodulosus (Pallas, 1781) pl | 2(0,2) | 2(0,2) | 2(0,2) | – | – | – |
Triaenophorus crassus Forel, 1868 pl | 1(0,06) | 1(0,06) | 6(0,86) | – | – | – |
Dibothriocephalus ditremus (Creplin, 1825) Lühe, 1899), pl | 5(0,7) | 9(1,3) | 8(2,4) | 2(0,15) | 3(0,2) | 2(0,3) |
Dibothriocephalus dendriticus (Nitzsch, 1824) Lühe, 1899 pl | 3(0,3) | 2(0,3) | – | – | – | 1(0,2) |
Proteocephalus longicollis (Zeder, 1800) Nufer, 1905 | – | – | – | – | – | 1(0,06) |
Crepidostomum sp. | – | 1(0,06) |
| – | – | – |
Phyllodistomum umblae (Fabricius, 1780) Bakke, 1982 | 3(0,3) | 1(0,3) | 4(2,26) | – | – | – |
Azygia sp. | – | 1(0,06) | 1(0,06) | – | – | – |
Diplostomum sp. 1 mc | – | – |
| – | 2(0,3) | – |
Diplostomum sp. 2 mc | – | – |
| – | – | 4(0,3) |
Ichthyocotylurus pileatus (Rudolphi, 1802) Odening, 1969 mc | – | 1(0,8) | – | – | – | – |
Ichthyocotylurus erraticus (Rudolphi, 1809) Odening, 1969 mc | 12(21,4) | 13(54,6) | 15(27,9) | – | 9(2,5) | 8(4,5) |
Cystidicola farionis Fisher, 1798 | 3(0,8) | – | 1(0,06) | 2(0,1) | – | – |
Salmonema ephemeridarum (von Linstow, 1872) Moravec, Santos, Brasil-Sato, 2008 | – | – | – | – | 7(0,6) | ?(0,53) |
Phylonema sibirica (Bauer, 1946) | – | – | 1(0,06) | – | – | – |
Raphidascaris acus (Bloch, 1779) larva | 8(1,3) | 9(3,2) | 2(0,33) | 3(0,4) | – | ?1(0,06) |
Neoechinorhynchus (Neoechinorhynchus) rutili (Müller, 1780) | – | 2(0,2) | 1(0,33) | 1(0,05) | – | – |
Neoechinorhynchus (Neoechinorhynchus) tumidus Van Cleave et Bangham, 1949 | 10(1,5) | 12(6,6) | 12(2,8) | – | – | – |
Corynosoma strumosum (Rudolphi, 1802) Lühe, 1904 acantella | – | – | – | 1(0,05) | – | – |
Echinorhynchus cinctulus (Porta, 1905) Amin, 2013 | – | 1(0,06) | – | – | – | – |
Echinorhynchus salmonis Müller, 1780 | – | – | – | – | 1(0,06) | 5(0,5) |
Acariformes gen. sp. | ?1(0,06) | – | – | – | – | – |
Примечание. За скобками – число зараженных данным видом паразита рыб; в скобках – индекс обилия; ? – паразиты собраны из осадка в материальной банке, в которой рыба хранилась до вскрытия.
Абсолютная длина тела рыб из р. Хатанга 100–135 мм (115,0 ± 1,31), масса 7,5–20,4 г. (11,8 ± 0,62), возраст 2+–4+. Выборки тугуна из р. Хатанга за 2011 и 2014 гг. составлены в несколько приемов. Длина тела тугуна из р. Енисей 109–149 мм (126,4 ± 1,47), масса 7,79–25,0 (13,4 ± 0,57), возраст 2+–5+.
Сравнение паразитофауны тугуна из разных мест сбора материала проводили по набору видов и их представленности в сборах с использованием индекса общности Чекановского–Съеренсена в форме b (KCS), в котором исключено влияние различий в объеме сравниваемых коллекций [24, с. 152].
,
где pᵢ₁, – минимальная доля по числу особей или биомассе i-ro вида в 1-й из сравниваемых паразитофаун; рj₂, pz₂ – минимальные доли j-ro и z-ro видов по числу особей или биомассе во 2-й из рассматриваемых фаун паразитов тугуна.
Сопоставление значений индекса разнообразия Шеннона проводилось с помощью критерия tst [25].
Анализ экологического благополучия или напряженности в сообществе паразитов основан на предложенном индексе оценки преобладающей жизненной стратегии видов DE′ сообществ зообентоса [26, с. 48].
,
где H′spB – индекс разнообразия видов (Шеннона) по биомассе; H′spA – индекс разнообразия видов (Шеннона) по количеству особей; N – количество видов в выборке.
Индекс DE′ представляет собой разность информационных оценок выравненностей для видов конкретного сообщества по количеству особей и по биомассе. Будучи безразмерным, он изменяется в интервале между –1 и 1 при критическом переходном значении 0. Значения близкие к –1 указывают на полное отсутствие стресса, что соответствует K-стратегии. Значения близкие к 1 – на наличие сильного стресса, что соответствует r-стратегии [26].
Терминология, расчеты индексов и метод построения графиков, отражающих структуру компонентного сообщества паразитов, изложены в предыдущих публикациях [27, с. 104–105; 28, с. 162; 29, с. 305].
Результаты исследования
Всего у тугуна двух рек было обнаружено 23 вида многоклеточных паразитов, из них в р. Хатанга – 16, в р. Енисей – 13 видов (количество разнится от 5 до 8 в зависимости от участка) (табл. 1). Обнаруженные простейшие: Сapriniana piscium (B.) J., Apiosoma sp., Trichodinа sp., Trichodinella epizootica (R.) и Epistylis sp. встречались единично и были крайне малочисленны, поэтому расчет структуры сообществ паразитов тугуна был произведен без учета этих видов.
У рыб из всех мест сбора материала присутствует только Dibothriocephalus ditremus (C.) L. В наибольшем числе пунктов зарегистрированы метацеркарии Ichthyocotylurus erraticus (R.) O. и личинки Raphidascaris acus (B.).
Только у рыбы из р. Хатанга отмечены 12 видов паразитов, из которых Crepidostomum sp., Ichthyocotylurus pileatus (R.) O. и Echinorhynchus cinctulus (P.) A. для тугуна указаны впервые. В состав паразитофауны тугуна из р. Енисея входят 10 видов, из которых впервые здесь зарегистрированы Diplostomum sp. и Salmonema еphemeridarum (v. L.) M., S., B.-S.
Сравним паразитофауну тугуна из разных водоемов и их участков по набору видов и их представленности по числу особей и биомассе с использованием индекса общности Чекановского–Съеренсена в форме b (табл. 2).
Таблица 2 – Достоверность различий фауны многоклеточных паразитов тугуна Coregonus tugun (Pallas, 1814) из рр. Хатанга и Енисей
Место лова | Р. Хатанга | Р. Енисей | |||||
2011 | 2013 | 2014 | Пос. Бор, 2011 | С. Ярцево, 2014 | Д. Сумароково, 2014 | ||
Р. Хатанга | 2011 |
| 0,942 ± 0,164 0,354 | 0,862 ± 0,167 1,056 | 0,105 ± 0,101 8,888* | 0,027 ± 0,052 18,781* | 0,048 ± 0,070 13,534* |
2013 | 0,589 ± 0,200 2,046 |
| 0,855 ± 0,142 1,015 | 0,070 ± 0,072 12,939* | 0,031 ± 0,049 19,853* | 0,046 ± 0,070 13,656* | |
2014 | 0,550 ± 0,214 2,100* | 0,610 ± 0,199 1,953 |
| 0,089 ± 0,087 10,436* | 0,053 ± 0,099 9,470* | 0,050 ± 0,079 11,923* | |
Р. Енисей | Пос. Бор, 2011 | 0,281 ± 0,180 3,983* | 0,168 ± 0,147 5,667* | 0,170 ± 0,127 6,500* |
| 0,053 ± 0,101 9,395* | 0,051 ± 0,079 12,028* |
С. Ярцево, 2014 | 0,043 ± 0,064 14,962* | 0,032 ± 0,049 19,844* | 0,117 ± 0,097 9,087* | 0,199 ± 0,178 4,484* |
| 0,820 ± 0,248 0,725 | |
Д. Сумаро-ково, 2014 | 0,072 ± 0,085 10,899* | 0,048 ± 0,064 14,915* | 0,158 ± 114 7,382* | 0,112 ± 0,112 7,890* | 0,602 ± 0,250 1,589 |
| |
Примечание. В числителе значение индекса общности Чекановского-Съеренсена в форме b; в знаменателе – tst; * – статистически достоверные различия. В правой части таблицы приведены значения индекса общности, рассчитанные по числу особей паразитов, в левой – по биомассе.
Комплексы паразитов тугуна из р. Хатанга в разные годы статистически одинаковы по набору видов и их представленности по числу особей и биомассе, но отличны от таковых из всех участков сбора материала из р. Енисей. Исключение составила паразитофауна тугуна из р. Хатанга в 2011 и 2014 гг., когда она различалась по индексу Чекановского–Съеренсена, рассчитанному по значению биомассы паразитов. На всех участках р. Енисей комплексы паразитов тугуна (рассчитанные по числу особей и их биомассе), по индексу видового разнообразия достоверно различаются между собой. В то же время паразитофауна тугуна из р-нов д. Сумароково и с. Ярцево статистически одинакова по обоим значениям индекса Чекановского–Съеренсена.
Число видов паразитов, количество их особей и биомасса больше у тугуна из р. Хатанга. Паразитофауну тугуна из обоих водотоков формируют виды-генералисты. У тугуна из р. Хатанга и р. Енисей (в р-не пос. Бор) по биомассе преобладают автогенные, по числу особей – аллогенные виды. У рыбы из р. Енисей (р-ны с. Ярцево и дер. Сумароково) по биомассе и числу особей доминируют автогенные виды.
В комплексе паразитов тугуна из р. Хатанга по числу особей, а в 2011 г и по биомассе, доминируют метацеркарии I. erraticus (R.) O., в 2013 и 2014 гг. по биомассе лидировал Neoechinorhynchus (Neoechinorhynchus) tumidus V.C. et B. В р. Енисей в р-нах с. Ярцево и д. Сумароково по обоим значениям индекса доминирования преобладают метацеркарии I. рileatus (R.) O., в р-не пос. Бор наибольшее число особей отмечено у личинок R. acus (B.), а биомасса – у Discocotyle sagittata (L.).
Для исследованных компонентных сообществ паразитов тугуна характерна значительная разница величин индексов, рассчитанных по значениям числа особей паразитов и их биомассы (табл. 3), за исключением таковых из р. Енисей в р-нах пос. Бор и особенно д. Сумароково. В этих случаях разница в значениях индексов минимальна.
Таблица 3 – Характеристика компонентных сообществ паразитов тугуна Coregonus tugun (Pallas, 1814) из рр. Хатанга и Енисей
Показатели | Р. Хатанга | Р. Енисей | ||||
2011 | 2013 | 2014 | Пос. Бор, 2011 | С. Ярцево, 2014 | Д. Сумароково, 2014 | |
Исследовано рыб | 15 | 15 | 15 | 15 | 15 | 15 |
Общее число видов паразитов | 10 | 13 | 11 | 6 | 5 | 8 |
Общее число особей паразитов | 399 | 1017 | 560 | 17 | 56 | 97 |
Общее значение условной биомассы | 264,9 | 723,2 | 315,4 | 14,6 | 15,5 | 39,9 |
Количество автогенных видов | 7 | 9 | 9 | 4 | 3 | 4 |
Доля особей автогенных видов | 0,16 | 0,16 | 0,19 | 0,23 | 0,88 | 0,88 |
Доля биомассы автогенных видов | 0,70 | 0,74 | 0,62 | 0,69 | 0,75 | 0,77 |
Количество аллогенных видов | 3 | 4 | 2 | 2 | 2 | 4 |
Доля особей аллогенных видов видов | 0,84 | 0,84 | 0,81 | 0,77 | 0,12 | 0,12 |
Доля биомассы аллогенных видов | 0,30 | 0,26 | 0,38 | 0,31 | 0,25 | 0,23 |
Количество видов-генералистов | 10 | 13 | 10 | 6 | 5 | 8 |
Доля особей видов-генералистов | 1,0 | 1,0 | 0,99 | 1,0 | 1,0 | 1,0 |
Доля биомассы видов-генералистов | 1,0 | 1,0 | 0,99 | 1,0 | 1,0 | 1,0 |
Доминантный вид по числу особей | I. erraticus | I. erraticus | I. erraticus | R. acus | I. pileatus | I. pileatus |
Доминантный вид по значению биомассы | I. erraticus | N. tumidus | N. tumidus | D. sagittata | I. pileatus | I. pileatus |
Характеристика доминантного вида | г/ал | г/ал; г/ав | г/ал; г/ав | г/ав; г/ав | г/ал | г/ал |
Индекс Бергера-Паркера по числу особей | 0,804 | 0,805 | 0,748 | 0,470 | 0,678 | 0,690 |
Индекс Бергера-Паркера по биомассе | 0,240 | 0,536 | 0,289 | 0,242 | 0,354 | 0,332 |
Выравненность видов по числу особей | 0,368 | 0,306 | 0,413 | 0,836 | 0,614 | 0,555 |
Выравненность видов по биомассе | 0,852 | 0,498 | 0,744 | 0,975 | 0,855 | 0,828 |
Индекс Шеннона по числу особей | 0,848 | 0,784 | 0,991 | 1,498 | 0,988 | 1,533 |
Индекс Шеннона по значениям биомассы | 1,962 | 1,278 | 1,784 | 1,747 | 1,376 | 1,722 |
Ошибка уравнений регрессии | 0,392 | 0,253 | 0,130 | 0,239 | 0,121 | 0,316 |
Индекс DE′ | 0,484 | 0,192 | 0,331 | –0,139 | 0,241 | 0,273 |
Примечание. D. sagittata – Discocotyle sagittata (Leuckart, 1842); I. erraticus – Ichthyocotylurus erraticus (Rudolphi, 1809) Odening, 1969 mc; I. pileatus – Ichthyocotylurus pileatus (Rudolphi, 1802) Odening, 1969 mc; R. acus – Raphidascaris acus (Bloch, 1779) larva; N. tumidus – Neoechinorhynchus (Neoechinorhynchus) tumidus Van Cleave et Bangham, 1949; ав – автогенный вид; ал – аллогенный вид; г – вид-генералист.
Статистически значимые различия величин индекса Шеннона, рассчитанные по числу особей, оказались у сообществ паразитов из р. Хатанга и р. Енисей в р-нах пос. Бор и дер. Сумароково, из последнего водотока – в р-нах пос. Бор и с. Ярцево (табл. 4).
Таблица 4 – Достоверность различий значений индекса Шеннона, характеризующего сообщества многоклеточных паразитов тугуна Coregonus tugun (Pallas, 1814) из рр. Хатанга и Енисей
Место лова | Р. Хатанга | Р. Енисей | |||||
2011 | 2013 | 2014 | Пос. Бор, 2011 | С. Ярцево, 2014 | Д. Сумароково, 2014 | ||
Р. Хатанга | 2011 |
| 0,828 | –1,687 | 3,774* | 0,995 | 2,209* |
2013 | 0,056 |
| –3,105 | 4,353* | 1,560 | 2,889* | |
2014 | 0,022 | –0,039 |
| 3,015* | –0,025 | 1,218 | |
Р. Енисей | Пос. Бор, 2011 | –0,043 | 0,042 | –0,006 |
| 2,524* | 1,720 |
С. Ярцево, 2014 | –0,113 | 0,009 | –0,064 | 0,211 |
| –0,951 | |
Д. Сумароково, 2014 | –0,044 | 0,039 | –0,009 | 0,010 | –0,203 |
| |
Примечание. В правой части таблицы приведены значения tst, рассчитанные по числу особей паразитов, в левой – по их биомассе; * – статистически достоверные различия.
Величины индекса DE′, полученные для выборок из р. Хатанга в 2013 г. и р. Енисей, близки к переходному значению, равному нулю. У сообщества паразитов из р. Енисей в р-не пос. Бор индекс имеет отрицательную величину, у других – положительную. У комплекса паразитов тугуна из р. Хатанга в 2011 и 2014 гг. значения DE′ выше 0,3, что указывает на некоторое усиление стрессового воздействия на сообщество (см. табл. 3).
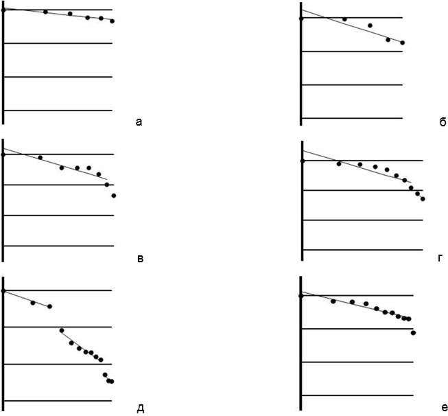
В сообществах паразитов тугуна из р. Енисей в р-нах пос. Бор и с. Ярцево по соотношению биомасс выделяется по 1-й группе видов, в р-не д. Сумароково и р. Хатанга в 2011 и 2014 гг. – 2, в 2013 г. – 3 группы видов (рис. 1).
Суммы ошибок уравнений регрессии (табл. 3), описывающих расположение точек значений биомасс видов в составе сообществ, за исключением случаев из р. Енисей в р-не пос. Бор и р. Хатанга в 2014 г., выше своего критического значения 0,25.
Рисунок 1 – Вариационные кривые условных биомасс паразитов тугуна из рек Енисей и Хатанга. а – р. Енисей, пос. Бор (09.2011); б – р. Енисей, с. Ярцево (29.08.2014); в – р. Енисей, д. Сумароково (22.09.2014); г – р. Хатанга (24.09.2011); д – р. Хатанга (10.09.2013); е – р. Хатанга (8–14.09.2014). По оси абсцисс – упорядоченный ряд значений условных биомасс видов образующих компонентное сообщество; по оси ординат – порядковые номера последовательных (по значениям условных биомасс) членов ряда. Шкала логарифмическая. Прямые, параллельные оси абсцисс, – теоретически рассчитанные критические уровни
Обсуждение результатов исследования
Из года в год комплекс паразитов тугуна из р. Хатанга по набору видов, их представленности по числу особей и биомассе остается статистически одинаковым и отличается от таковых из р. Енисей. Из последнего водотока исследовали на наличие паразитов, видимо, два разных стада тугуна. Одно из них обитает в русле р. Енисей, другое – в р. Подкаменная Тунгуска. Скат тугуна из р. Подкаменная Тунгуска в район устья у пос. Бор происходит между 2-й половиной августа и 1-й половиной сентября, нерест, как и в р. Енисей, в конце сентября и октябре [30, с. 43]. В р. Хатанга эти процессы проходят на 1–2 недели раньше [2, с. 423]. Следовательно, сбор материала для этой работы произведен в период нерестовой миграции тугуна.
Для паразитарных сообществ рыб из сем. Salmonidae Rafinesque, 1815 и сем. Coregonidae Lacepede, 1804 во время нерестовой миграции и в преднерестовый период отмечают высокие значения индекса доминирования Бергера–Паркера, слабую выравненность видов паразитов по обилию, низкие значения индекса Шеннона [11, с. 4]. Это характеристики незрелых сообществ, которые совпадают с таковыми из оз. Байкал [31]. Сообщества паразитов тугуна похожи на незрелые сообщества паразитов рыб Байкала только тем, что в них отсутствуют виды-специалисты (см. табл. 3).
Компонентные сообщества паразитов тугуна из всех мест сбора материала характеризуются высокими значениями индекса Шеннона, рассчитанных по числу особей и биомассе паразитов. В ряде случаев такой результат получен только по биомассе. Характерна существенная разница величин индексов, основанных на количестве экземпляров паразитов и их биомассе. У большинства сообществ отмечено по два вида-доминанта: один по числу особей, другой по биомассе. Разброс величин биомасс видов в «графической» структуре сообщества значителен. Только у одного сообщества в «графической» структуре число уровней более двух. Лишь два сообщества паразитов имеют суммы ошибок уравнений регрессии, описывающих расположение точек биомасс видов в их составе, выше критического значения 0,25. Величины индекса DE′ ниже 0,3 (за исключением двух случаев), т.е. близки к переходному значению, равному нулю [26, с. 48]. Описание сообществ паразитов тугуна, за исключением «графической» структуры (рис. 2, 3), соответствует характеристике зрелого сообщества в фазе разрушения [27, с. 111–112]. Расхождения характеристик отдельных сообществ паразитов тугуна, скорее всего, объясняются несовпадениями в сроках отлова рыбы и различиями погодных условий.
Сделанный вывод о состоянии сообществ паразитов тугуна несколько расходится с наблюдениями за возрастным составом найденных экземпляров инвадентов. Нематоды, использующие рыбу в качестве окончательного хозяина, были половозрелыми; скребни – половозрелыми и молодыми; у трематод, для которых рыба служит дефинитивным хозяином, обнаружены как половозрелые, так и молодые особи; метацеркарии двуусток присутствовали в виде гибнущих, живых крупных и мелких экземпляров; среди плероцеркоидов цестод были крупные и мелкие, недавно оказавшиеся в рыбе, некоторые из них находились еще на стадии процеркоида; личинки R. acus (B.) представлены погибающими и живыми крупными индивидами, а также мелкими, только что попавшими в рыбу.
Таким образом, в паразитарных сообществах тугуна рек Енисей и Хатанга осенью процессы яйцекладки и отрождения личинок, отмирание паразитов генерации прошлых лет рождения и заражение паразитами текущего года рождения протекают одновременно, т.е. стадии формирования и разрушения сообщества налегают друг на друга. Схожее явление отмечено у паразитов гольяна Phoxinus phoxinus (L.) из водоемов Приполярного Урала и Заполярья [29, с. 321]. Сообщества паразитов гольяна среднего течения рек Печора и Вычегда, напротив, разрушаются в июле-августе, а формируются в сентябре и далее [27, с. 111–112; 28, с. 168], т.е. эти процессы разнесены во времени.
Аналогичные результаты получены при наблюдениях за спайником Paradiplozoon homoion (B. et N.). В условиях бассейна среднего течения р. Вычегды на плотве в августе встречаются только неполовозрелые черви генерации этого года [32, с. 122]. На одногодичную продолжительность жизни этих моногеней в водоемах средней полосы указывают и другие авторы [33, с. 59], а в условиях озера в черте г. Нарьян-Мар (устье р. Печоры) в августе на плотве одновременно отмечены дипорпы и моногенеи разных размеров и возрастов.
В тундровых озерах, реках Щугор и Егра (бассейн р. Илыч, приток р. Печоры), пойменных водоемах Нижней Печоры, оз. Кривое на о. Колгуев, где исследования проведены в период с июня по август включительно, на хозяевах обычно одновременно встречались особи паразитов всех возрастов [29, с. 310].
Таким образом, в условиях непродолжительного лета наблюдается налегание друг на друга процессов разрушения и формирования паразитарных сообществ, а также, в некоторых случаях, возможно, и удлинение жизненного цикла паразита.
Обычно система «паразит – хозяин» при условии относительной стабильности среды находится в неравновесном состоянии во время своего становления, т.е. в период появления молоди паразитов и отмирания особей старой генерации. Эти процессы завершаются снижением интенсивности заражения паразитами рыбы [27, с. 111–112; 28, с. 168], возможно, до уровня обеспечивающего равновесное состояние системы.
Сообщества паразитов рыб, как и свободноживущих организмов [34, с. 221], формируются не хаотично [15, p. 471–472; 35, p. 572; 31, с. 155; 36, p. 751], а случайность как определяющий фактор действует только на этапе заражения особей хозяев, что в ходе эволюции паразитического образа жизни компенсируется выполнением закона большого числа яиц и личинок, а также весьма тонким приспособлением паразита к биологии хозяина [37, p. 223]. Последнее показано на примере сообществ паразитов щуки Esox lucius L., исследованных сразу после нереста последней. Видимо, под влиянием изменившегося гормонального фона организма хозяина изменилась их структура. Тогда как у молоди щуки структура сообщества осталась практически прежней. При достижении щукой половой зрелости у Ergasilus sieboldi N. изменяются морфометрические признаки [38, с. 130–132].
Процессы формирования и разрушения паразитарного сообщества тугуна по времени совпадают с его нерестовой миграцией и началом нереста, который проходит при температуре воды +4°С и ниже. После икрометания тугун рассредоточивается по мелководьям, курьям, боковым протокам и переходит к активному питанию [30, с. 43].
Доказано [39, с. 107], что в момент начала заражения и в период интенсивного роста паразита защитные реакции организма хозяина более выражены, что является дополнительной нагрузкой на него. Однако реактивность организма хозяина и агрессивность паразита зависят от состояния среды.
Таким образом, снижение нагрузки на организм хозяина может обеспечиваться низкими температурами среды, которые оказывают влияние на организм рыбы и паразита. Последние, в силу активного питания тугуна, продолжают проникать в хозяина. Низкая температура воды замедляет их развитие, и половозрелого состояния они достигают только к весенне-летнему сезону.
Выводы
Компонентные сообществ паразитов тугуна из рек Хатанги и Енисея в осенний период находятся одновременно на стадиях своего разрушения и формирования. Очевидно, температура воды в условиях рассматриваемого района имеет решающее влияние на состав и структуру сообщества паразитов тугуна, что характерно для паразитарных сообществ Заполярья.
Описанное состояние сообществ инвадентов в период нерестовой миграции тугуна, т.е. в августе и сентябре, имеет приспособительное значение, а именно снижает нагрузку на организм хозяина со стороны паразитов и обеспечивает продолжение существования последних.
About the authors
Kseniya Viktorovna Polyaeva
Krasnoyarsk Branch of Russian Federal Research Institute of Fisheries and Oceanography
Author for correspondence.
Email: glechoma21@gmail.com
leading specialist of Hydrobiology Laboratory
Russian Federation, KrasnoyarskGennady Nikolaevich Dorovskikh
Pitirim Sorokin Syktyvkar State University
Email: dorovskg@mail.ru
doctor of biological sciences, professor of Life Safety Department
Russian Federation, SyktyvkarYuliya Konstantinovna Chugunova
Krasnoyarsk Branch of Russian Federal Research Institute of Fisheries and Oceanography
Email: jhermann@mail.ru
candidate of biological sciences, head of Hydrobiology Laboratory
Russian Federation, KrasnoyarskReferences
- Попов П.А. Пресноводные рыбы Арктического побережья Сибири // Вестник Томского государственного университета. Биология. 2015. № 4 (32). С. 107–126. doi: 10.17223/19988591/32/6.
- Будин Ю.В., Шадрин Е.Н., Пупина Д.В. Морфоэкологическая характеристика тугуна Coregonus tugun водоемов бассейна Хатанги // Вопросы рыболовства. 2016. Т. 17, № 4. С. 421–431.
- Пугачев О.Н. Каталог паразитов пресноводных рыб Северной Азии. Простейшие. СПб.: ЗИН РАН, 2001. 242 с.
- Пугачев О.Н. Каталог паразитов пресноводных рыб Северной Азии. Книдарии, моногенеи, цестоды. СПб.: Труды ЗИН РАН, 2002. Т. 297. 248 с.
- Пугачев О.Н. Каталог паразитов пресноводных рыб Северной Азии. Трематоды. СПб.: Труды ЗИН РАН, 2003. Т. 298. 224 с.
- Пугачев О.Н. Каталог паразитов пресноводных рыб Северной Азии. Нематоды, скребни, пиявки, моллюски, ракообразные, клещи. СПб.: Труды ЗИН РАН, 2004. Т. 304. 250 с.
- Поляева К.В. Паразитофауна тугуна Coregonus tugun (Pallas) рек Енисея и Хатанги // Труды центра паразитологии. М.: ООО «Товарищество научных изданий КМК», 2016. С. 107–108.
- Чугунова Ю.К., Будин Ю.В. Паразитофауна сиговых рыб р. Хатанги. Современное состояние // Рыбохозяйственные водоемы России: фундаментальные и прикладные исследования: мат-лы II всерос. науч. конф. с междунар. уч. СПб.: ФГБНУ «ГосНИОРХ», 2018. С. 682–687.
- Бауер О.Н. Паразиты рыб реки Енисея // Известия ВНИОРХ. 1948. Т. 27. С. 97–173.
- Орлова М.В., Орлов О.Л. Охрана паразитических видов животных: Проблемы и Перспективы // Nature Conservation Research. Заповедная наука. 2019. Т. 4, № 1. С. 1–21. doi: 10.24189/ncr.2019.011.
- Пугачев О.Н. Паразитарные сообщества и нерест рыб // Паразитология. 2002. Т. 36, вып. 1. С. 3–10.
- Bush A.O., Aho J.M., Kennedy C.R. Ecological versus phylogenetic determinants of helminth parasite community richness // Evolution. Ecol. 1990. Vol. 4, № 1. P. 1–20.
- Kennedy C.R., Guegan J.-F. Regional versus local helminth parasite richness in British freshwater fish: saturated or unsaturated parasite communities? // Parasitology. 1994. Vol. 109, pt. 2. P. 175–185.
- Kennedy C.R. Longterm and seasonal changes in composition and richness of intestinal helminth communities in eels Anguilla anguilla of an isolated English river // Folia Parasitologica. 1997. Vol. 44, № 4. P. 267–273.
- Valtonen E.T., Pulkkinen K., Poulin R., Julkunen M. The structure of parasite component communities in brackish water fishes of the northeastern Baltic Sea // Parasitology. 2001. Vol. 122, № 4. P. 471–481.
- Дугаров Ж.Н., Пронин Н.М. Сообщества паразитов байкальского сига Coregonus baicalensis Dybowski, 1874 и возраст хозяина // Известия РАН. Серия Биологическая. 2010. № 6. С. 731–739.
- Carballo M.C., Cremonte F., Navone G.T., Timi J.T. Similarity in parasite community structure may be used to trace latitudinal migrations of Odontesthes smitti along Argentinean coasts // Journal of Fish Biology. 2012. № 80. P. 15–28. doi: 10.1111/j.1095-8649.2011.03125.x.
- Шухгалтер О.А. Фауна паразитов европейской сардины (Sardina pilchardus Walbaum, 1792) атлантического побережья северной Африки: широтный анализ компонентных сообществ и его использование при изучении внутривидовой структуры хозяина // Паразитология. 2013. Т. 47, вып. 4. С. 273–287.
- Marcos T.-D., Marcos S.B.O., Raissa A.G., Luis M.A.S. Ecology and seasonal variation of parasites in wild Aequidens tetramerus, a Cichlidae from the Amazon // Acta Parasitologica. 2014. Vol. 59 (1). P. 158–164. doi: 10.2478/s11686-014-0225-3.
- Буторина Т.Е., Резник И.В. Фауна и структура сообществ паразитов гольяна Phoxinus phoxinus рек южной Якутии // Паразитология. 2015. Т. 49, вып. 3. С. 145–159.
- Sehgal Ravinde N.M. Manifold habitat effects on the prevalence and diversity of avian blood parasites // International Journal for Parasitology: Parasites and Wildlife. 2015. № 4. P. 421–430.
- Зарипова Ф.Ф., Файзулин А.И. Характеристика функционирования сообщества гельминтов озерной лягушки (Pelophylax ridibundus (Pallas, 1771)) (Amphibia, Anura) в следующие друг за другом годы в условиях Зауралья Республики Башкоркостан // Современная герпетология. 2016. Т. 15, вып. 1/2. С. 14–19.
- Быховская-Павловская И.Е. Паразиты рыб: руководство по изучению. Л.: Наука, 1985. 121 с.
- Песенко Ю.А. Принципы и методы количественного анализа в фаунистических исследованиях. М.: Наука, 1982. 250 с.
- Мэгарран Э. Экологическое разнообразие и его измерение. М.: Мир, 1992. 184 с. (Magurran A.E. Ecological diversity and its measurement. London: Croom Helm, 1983. 170 p.).
- Денисенко С.Г., Барбашова М.А., Скворцов В.В., Беляков В.П., Курашов Е.А. Результаты оценки экологического благополучия сообществ зообентоса по индексу «разности выравненностей» (DE′) // Биология внутренних вод. 2013. № 1. С. 46–55. doi: 10.7868/S032096521040079.
- Доровских Г.Н., Степанов В.Г. Структура компонентного сообщества паразитов ерша Gymnocephalus cernuus (Linnaeus, 1758) в разные сезоны года // Паразитология. 2011. Т. 45, вып. 2. С. 104–113.
- Доровских Г.Н., Степанов В.Г. Сезонная динамика паразитофауны и структуры компонентных сообществ паразитов гольяна Phoxinus phoxinus (L.) из реки Печоры. 2 // Паразитология. 2012. Т. 46, вып. 3. С. 161–170.
- Доровских Г.Н. Итоги изучения географической изменчивости паразитофауны и структуры компонентных сообществ паразитов гольяна Phoxinus phoxinus (L.). 2. Водоемы севера восточно-европейской части России // Паразитология. 2016. Т. 50, вып. 4. С. 303–324.
- Юрьев А.Л., Юрьев И.И., Вокин А.И., Хлуднев Г.Б., Хлыстов В.С. Ихтиофауна бассейна среднего течения реки Нижней Тунгуски: состав и современное состояние // Известия Иркутского государственного университета. 2015. Т. 14. Серия «Биология. Экология». С. 39–56.
- Русинек О.Т. Анализ паразитарных сообществ рыб озера Байкал // Паразитология. 2006. Т. 40, вып. 2. С. 155–170.
- Доровских Г.Н. Некоторые данные по экологии диплозоид (Monogenea, Diplozоidae) – паразитов рыб бассейна среднего течения р. Вычегды // Экология редких, малоизученных и хозяйственно важных животных европейского Северо-Востока СССР. Сыктывкар: Коми науч. центр УрО АН СССР, 1989. С. 116–124. (Тр. Коми НЦ УрО АН СССР. № 100).
- Хотеновский И.А. Фауна СССР. Моногенеи. Подотряд Octomacrinea Khotenovsky. Л.: Наука, 1985. 263 с.
- May R.M. Patterns in multi-species communities // Theoretical Ecology: Principles and Applications. Oxford: Blackwell, 1981. P. 197–227.
- González M.T., Poulin R. Nested patterns in parasite component communities of a marine fish along its latitudinal range on the Pacific coast of South America // Parasitology. 2005. Vol. 131. P. 569–577. doi: 10.1017/S0031182005007900.
- Behnke J.M. Structure in parasite component communities in wild rodents: predictability, stability, associations and interactions … or pure randomness? // Parasitology. 2008. Vol. 135. P. 751–766. doi: 10.1017/S0031182008000334.
- Gómez A., Nichols E. Neglected wild life: Parasitic biodiversity as a conservation target // International Journal for Parasitology: Parasites and Wildlife. 2013. № 2. P. 222–227.
- Доровских Г.Н., Черняй М.И. Зависимость морфометрических признаков Ergasilus sieboldi Nordmann, 1832 (Copepoda, Ergasilidae) от размера и возраста хозяина // Труды Коми научного центра УрО РАН. Сыктывкар: Коми науч. центр УрО РАН, 1994. № 136. С. 121–132.
- Иешко Е.П., Высоцкая Р.У., Сереженко Л.П. Паразито-хозяинные отношения как неспецифический адаптивный синдром // Эколого-популяционный анализ паразитов и кровососущих членистоногих. Петрозаводск: КНЦ АН СССР, 1991. С. 103–109.
Supplementary files



