Ontogenetic tactics of morphological characteristics of the Betula pendula Roth leaf in the gradient of technogenic soil transformation under changing weather conditions
- Authors: Zhuikova T.V.1, Popova A.S.1
-
Affiliations:
- Nizhny Tagil State Social and Pedagogical Institute (Branch) of Russian State Vocational Pedagogical University
- Issue: Vol 11, No 4 (2022)
- Pages: 30-38
- Section: Biological Sciences
- URL: https://snv63.ru/2309-4370/article/view/321427
- DOI: https://doi.org/10.55355/snv2022114104
- ID: 321427
Cite item
Full Text
Abstract
The variety of types of otnogenetic tactics is shown on the example of the structural features of the leaf of Betula pendula Roth growing under conditions of technogenic soil transformation in the Tagil zone of the Middle Urals (Sverdlovsk oblast). It has been established that the leaf structure of this species contains features that are characterized by various types of ontogenetic tactics, both pure and combined. The most represented are convergent-divergent and convergent tactics. The signs that are characterized by different types of tactics in the lower, middle and upper parts of the leaf are revealed. Conducting research during the growing seasons (2016–2019) with different degrees of favorable weather made it possible to establish that the type of ontogenetic tactics characteristic of individual leaf traits on the technogenic stress gradient can change depending on weather conditions. Such characters include the length of the lateral vein, the angle between the main and lateral veins of the first order, the distance from the tip to the widest part of the leaf, the length of the leaf blade and petiole, the leaf blade index and the leaf index. Along with this, signs were revealed that, in the gradient of technogenic transformation of soils, regardless of the degree of favorable weather, retain the type of tactics: the distance between the ends and bases of the lateral veins, the width of the leaf blade and the width of half of the leaf blade, the distance from the widest part of the leaf to the base.
Full Text
Введение
Разнообразие форм изменения вариабельности признаков является отражением индивидуально-физиологического аппарата растений, позволяет поддерживать вид в оптимальном состоянии, соответствующем данным эколого-ценотическим условиям. Изучая направления изменения уровня варьирования морфологических признаков растений (онтогенетические тактики) и характер изменения целостности морфологической структуры (онтогенетические стратегии) на экоклине, возможно выяснить степень влияния различных факторов окружающей среды на формирование морфологических структур растительных объектов. Основы изучения типов онтогенетических тактик структурных частей растений были заложены Ю.А. Злобиным [1] и активно развиваются в трудах Уфимской школы ботаников под руководством А.Р. Ишбирдина и М.М. Ишмуратовой [2, с. 113–120; 3, с. 80–85; 4, с. 85–98; 5, с. 87–115; 6, с. 103–105; 7, с. 8–9; 8, с. 194–196; 9, с. 8–9; и др.]. Как правило, исследования посвящены изучению направления и характера изменчивости признаков на градиентах природных факторов: в условиях фитоценотического и гидрологического стресса [10, с. 473–480], широтного и высотного градиентов [5, с. 87–115], на заповедных территориях при ухудшении условий роста [4, с. 85–98], на градиентах ухудшения увлажнения, богатства и засоленности почв [11, с. 169–177], освещенности, влажности и кислотности почв [6, с. 103–105]. Менее многочисленные работы по изучению тактик морфологических признаков растений в градиентах полиметаллического загрязнения [12, с. 1622–1626] и климатических факторов [7, с. 8–9]. В связи с этим представляет интерес изучение морфологических признаков растений и их изменчивости в градиентах техногенного стресса и неблагоприятности погодных условий.
Цель исследования: изучить типы онтогенетических тактик морфологических признаков листа Betula pendula, произрастающей в условиях техногенной трансформации почв, и оценить их стабильность при изменяющихся погодных условиях.
В качестве рабочей гипотезы обсуждается: техногенная трансформация среды повышает изменчивость морфологических признаков листа Betula pendula Roth. Тип онтогенетических тактик может корректироваться погодными условиями вегетационных сезонов. Один и тот же признак, связанный с разными частями листа, может проявлять разные онтогенетические тактики.
Материалы и методика исследований
Объект исследования: береза повислая (Betula pendula Roth, 1788), семейство березовые (Betulaceae S.F. Gray), род береза (Betula L.) [13, с. 77]. Биологический материал был собран в четвертой декаде июля 2016–2019 гг. Листья отбирали после остановки роста, с учетом отсутствия признаков заболеваний и повреждений. При сборе листьев и их камеральной обработке на протяжении всего периода исследования использованы единые методические подходы. Полевой материал отбирали с деревьев, находящихся в средневозрастном онтогенетическом состоянии, в пределах нижней части кроны, на уровне поднятой руки, с веток максимально доступных, расположенных с четырех сторон света. Для анализа листья отбирали с брахибластов, расположенных на удлиненных побегах предыдущего года. Листья фиксировали методом гербаризации. Далее листья сканировали с адаксиальной стороны с помощью многофункционального устройства Samsung SCX-3400 (Samsung, Республика Корея) при разрешении 1275 × 1755 пикселей. Измерение морфологических признаков листа выполняли в программе Bio.exe. Полученные числовые значения переводили из пикселей в миллиметры. Ежегодно на каждом участке собирали по 10 листьев с 20 деревьев. Объем выборки – 4000 листьев.
Исследования проводили в пяти фитоценозах, произрастающих в пределах Притагильской зоны Среднего Урала (60° в.д., 58° с.ш., таежная географическая зона, подзона южной тайги). Данные территории характеризуются различным уровнем техногенной трансформации окружающей среды, связанной с загрязнением почв тяжелыми металлами. Физико-химические параметры почвы и содержание в них тяжелых металлов описаны ранее ([14, с. 163–172; 15, с. 83–90; 16, с. 66–70]). Концентрации подвижных форм металлов на исследованных участках изменялись в следующих пределах (мкг/г): по цинку – от 19 до 850; по меди – от 12 до 950; по свинцу – от 8 до 56; по кадмию – от 0,05 до 2,82; по кобальту – от 8 до 124; по марганцу – от 290 до 2365; по железу – 775 до 2737. В соответствие с интегральным показателем загрязнения (Z) исследованные участки отнесены к фоновой (Ф: Z = 1,00 отн. ед.), буферной (Б-1: Z = 3,33 отн. ед. и Б-2: Z = 6,19 отн. ед.) и импактной (И-1: Z = 22,78 отн. ед. и И-2: Z = 30,00 отн. ед.) зонам загрязнения. Названия зон даны в соответствии с номенклатурой ЮНЕП [17].
В контексте данного исследования в качестве второго, действующего на морфологическую структуру листа и ее изменчивость фактора, рассмотрена погода. Алгоритм определения степени благоприятности погоды (СБП) основан на оценке отклонения ряда ведущих погодных факторов за определенные месяцы от климатической нормы. Наблюдения за погодой в Нижнем Тагиле ведутся методом автоматизированного мониторинга состояния атмосферного воздуха и осадков на постах № 2 (поселок Сухоложский Дзержинский район) и № 4 – Техпоселок, Тагилстроевский район) [16, с. 56]. Данные о среднемесячных температурах и сумме эффективных температур, сумме осадков по месяцам и за период с эффективными температурами (выше +10°С), гидротермическому коэффициенту Селянинова за период исследования основаны на материалах сайтов «Погода и климат» и «Расписание погоды» [18; 19]. Комплексная оценка погодно-климатических условий позволила выстроить градиент благоприятности погодных условий: 2017 г. (СБП = 3,24 балла – неблагоприятный год), 2016 г. (3,38 баллов – средний по степени благоприятности), 2018 г. (3,43 баллов – средний по степени благоприятности), 2019 г. (4,0 балла – благоприятный).
Измеряли следующие морфологические признаки: парные (19 признаков) (слева и справа): длина первых пяти боковых жилок (БЖ) первого порядка листовой пластинки (ЛП), углы между центральной и первыми пятью БЖ первого порядка (Угол), расстояние между концами первых пяти БЖ первого порядка (РМКЖ); расстояние между основаниями первых пяти БЖ первого порядка (РМОЖ), ширина половины листовой пластинки (ШПЛ); непарные (5 признаков): расстояние от кончика ЛП до самого широкого места (РКШМ), длина листовой пластинки ДЛП), ширина листовой пластинки (ШЛП), длина черешка (ДЧ), расстояние от самой широкой части ЛП до ее основания (РШО) – разность между ДЛП и РКШМ. Вычисляли следующие индексы (4 признака): индекс формы (ИФ) – отношение расстояния от верхушки ЛП до самого широкого места ЛП к расстоянию от самого широкого места ЛП до основания, индекс листовой пластинки (ИЛП) – отношение ДЛП к ШЛП, индекс листа (ИЛ) – отношение ДЛП к ДЧ, индекс вытянутости верхушки (ИВВ) – отношение расстояния от кончика до самого широкого места ЛП к ДЛП. Всего проведено 58750 измерений одним оператором.
Статистический анализ результатов. Для оценки изменчивости признаков оценивали коэффициент вариации (Cᵥ, %) и его ошибку (Scᵥ). Определение онтогенетических тактик выполнено с учетом характера изменения коэффициента вариации (Cᵥ) признаков в градиенте техногенной трансформации почвы. При выделении типов онтогенетических тактик использовали классификацию Ю.А. Злобина [1], дополненную А.Р. Ишбирдиным и М.М. Ишмуратовой [3, с. 82–83]. Статистическую значимость чистых тактик (конвергентной и дивергентной) подтверждали методом корреляционного анализа с вычислением коэффициента корреляции (r), при p < 0,05. Статистический анализ выполнено в ПСП Statistica v. 13.0 (StatSoft, Inc., 2018).
Результаты исследований
Ю.А. Злобин [1] различает онтогенетические тактики растения и его структурных частей в процессе развития, а также тактики, реализуемые в зависимости от положения ценопопуляций на экологическом градиенте. Характер изменения морфологических параметров оценивается по изменению уровня их варьирования, отражением которого является коэффициент вариации [3, с. 82]. В ходе исследования установлено, что большее число признаков имеют средний уровень варьирования (Cᵥ = 13,00–20,99%), высокий (31,00–40,99%) – характерен индексу формы, низкий (8,00–12,99%) – ИЛП и углам средней и верхней частям листа.
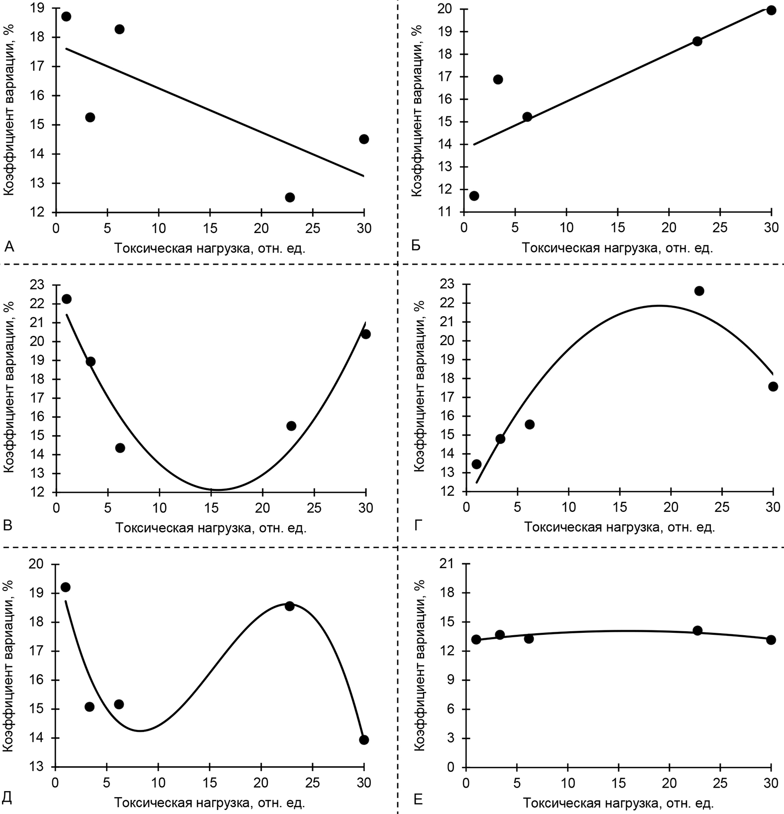
В структуре листа B. pendula присутствуют признаки, которым свойственны различные типы онтогенетических тактик, как чистых (конвергентная, дивергентная, стабилизации, неопределенной изменчивости), так и комбинированных (конвергентно-дивергентная, дивергентно-конвергентная). На рисунке 1 в качестве примера приведены типы онтогенетических тактик отдельных исследуемых признаков.
Рисунок 1 – Онтогенетические тактики морфологических признаков листа B. pendula в градиенте техногенной трансформации почвы: А – конвергентная (длина первой от основания листа боковой жилки первого порядка), Б – конвергентно-дивергентная (расстояние между концами 2 и 3 от основания листа боковых жилок первого порядка), В – неопределенная (длина листовой пластинки), Г – дивергентная (ширина половинки листовой пластинки), Д – дивергентно-конвергентная (угол между главной жилкой и первой от основания листа боковой жилки первого порядка), Е – тактика стабилизации (угол между главной жилкой и основанием второй боковой жилки первого порядка)
В ходе исследования важно было установить не только типы тактик, характерные для исследуемых признаков в градиенте техногенной трансформации почвы, но и выяснить, насколько они стабильны в исследуемые вегетационные периоды.
Длина жилки. В наиболее благоприятные по погодным условиям годы (СБП = 4,0–3,43 балла) длины боковых жилок первого порядка нижней части листовой пластинки (1–3 жилки от основания листа) проявляют преимущественно конвергентно-дивергентную тактику – при ухудшении эдафических условий вначале изменчивость признака снижается, происходит его стабилизация, а затем на отрезке «умеренный стресс – сильный стресс» признак дестабилизируется. Для боковых жилок, расположенных в верхней части листовой пластинки (4–5 жилки от основания листа), характерна либо конвергентная онтогенетическая тактика, направленная на снижение изменчивости признака в градиенте техногенной нагрузки, либо тактика стабилизации (табл. 1). Следовательно, в благоприятные годы признак «длина жилок», связанный с верхней частью листа, более стабилен, чем с нижней.
Таблица 1 – Онтогенетические тактики исследуемых морфологических признаков листовой пластинки
СБП, балл | Морфологические признаки | |||||||||
1 | 2 | 3 | 4 | 5 | ||||||
слева | правая | слева | справа | слева | справа | слева | справа | слева | справа | |
Длина боковой жилки первого порядка | ||||||||||
4,00 | к | к-д | к-д | к-д | к-д | к | к | к | к | к |
3,43 | к-д | к-д | к-д | к-д | к-д | к-д | с | с | с | с |
3,38 | д-к | д-к | д-к | д-к | д-к | д-к | д-к | д-к | д-к | д-к |
3,24 | к | к | к | к | к | к | к | к | к | к |
Угол между главной жилкой и основанием боковых жилок первого порядка | ||||||||||
4,00 | к | к | к | к-д | к | к | с | с | с | с |
3,43 | к | д-к | к-д | к-д | к-д | к-д | к-д | к-д | к-д | к-д |
3,38 | к | к-д | к | к-д | к-д | к-д | к-д | к-д | д-к | д-к |
3,24 | д-к | д-к | д-к | д-к | д-к | д-к | д-к | д-к | к | к |
Примечание. СБП – степень благоприятности погодных условий; типы онтогенетических тактик: к – конвергентная, к-д – конвергентно-дивергентная, д-к – дивергентно-конвергентная, с – тактика стабилизации. Числа 1–5 – порядковые номера боковых жилок первого порядка, расположенных от основания к верхушке листовой пластинки.
При неблагоприятных погодных условиях (СБП = 3,24 балла) исследуемый признак переходит на конвергентную онтогенетическую тактику, направленную на стабилизацию морфологической структуры (табл. 1). Таким образом, в благоприятный по погодным условиям год наблюдается дифференциация в онтогенетических тактиках у данного признака в верхней и нижней частях листовой пластинки, в неблагоприятный – ее отсутствие. Неблагоприятные погодные условия приводит к смене онтогенетических тактик, проявляющихся в градиенте увеличения техногенной трансформации почвы.
Угол между главной жилкой и основанием боковых жилок первого порядка. В благоприятный год (СБП = 4,0 балла) для большинства углов нижней и средней частей листовой пластинки характерна конвергентная тактика, верхней – тактика стабилизации (табл. 1). В средние по степени благоприятности годы (СБП = 3,38–3,43 баллов) для большинства углов характерна конвергентно-дивергентная тактика. Отметим, что при СБП = 3,38 баллов углы в верхней части листовой пластинки проявляют обратный дивергентно-конвергентный тип. Эта же тактика характерна практически для всех углов в наименее благоприятный по погодным условиям год. При этом в верхушке листа в этот год исследуемый признак проявляет конвергентную тактику. В благоприятный год онтогенетические тактики у углов более разнообразны, чем в неблагоприятный год. Неблагоприятные погодные условия приводит к смене онтогенетических тактик, аналогично признаку «длина жилок».
Расстояние между концами боковых жилок первого порядка. Наиболее часто реализуется конвергентно-дивергентная тактика (табл. 2). При СБП = 3,38 баллов реализуется дивергентная тактика – изменчивость данного признака возрастает. Отметим, что в неблагоприятный год у данного признака от основания листовой пластинки к ее верхушке наблюдается переход онтогенетической тактики от конвергентно-дивергентной к тактике стабилизации.
Таблица 2 – Онтогенетические тактики признаков «расстояние между концами и основаниями боковых жилок первого порядка»
СБП, балл | Морфологические признаки | |||||||
1 и 2 | 2 и 3 | 3 и 4 | 4 и 5 | |||||
слева | справа | слева | справа | слева | справа | слева | справа | |
Расстояние между концами боковых жилок первого порядка | ||||||||
4,00 | к-д | к-д | к | к-д | к-д | к-д | к-д | к-д |
3,43 | к-д | к-д | к-д | к-д | к-д | д | д | к-д |
3,38 | д | д | д | д | д | д | д | д |
3,24 | к-д | к-д | к-д | к-д | к-д | с | с | с |
Расстояние между основаниями боковых жилок первого порядка | ||||||||
4,00 | к | к | н | н | к-д | к-д | к | к |
3,43 | н | н | н | н | н | н | н | к-д |
3,38 | н | н | н | н | н | н | д-к | д-к |
3,24 | н | н | н | н | н | н | н | к |
Примечание. СБП – степень благоприятности погодных условий; типы онтогенетических тактик: к – конвергентная, к-д – конвергентно-дивергентная, д-к – дивергентно-конвергентная, с – тактика стабилизации, д – дивергентная, н – неопределенная. Числа 1–5 – порядковые номера боковых жилок первого порядка, расположенных от основания к верхушке листовой пластинки.
Расстояние между основаниями боковых жилок первого порядка. Для данного признака в большинстве случаев характерна тактика неопределенного варьирования (табл. 2). В наиболее благоприятный год при переходе от основания к верхушке листа тактики у исследуемого признака меняются в направлении конвергентная → неопределенная → конвергентно-дивергентная → конвергентная. В менее благоприятные по погодным условиям годы исследуемый признак, связанный с верхушкой листовой пластинки (расстояние между основаниями 4 и 5 жилок), проявляет тактики, отличные от основания и средней части листовой пластинки, которые характеризуются сходной неопределенной тактикой. При этом в градиенте ухудшения погодных условий для исследуемого признака, связанного с основанием листовой пластинки, стабильно сохраняется неопределенная тактика, а у верхушки тактика меняется. При СБП = 3,43 балла этот признак, расположенный справа на верхушке листовой пластинки, проявляет конвергентно-дивергентную тактику. При СБП = 3,38 баллов для признака слева и справа характерна дивергентно-конвергентная тактика. В самый неблагоприятный год (СБП = 3,24 балла) – конвергентная.
Таким образом, один и тот же признак, связанный с основанием, средней и верхней частями листвой пластинки, в благоприятный по погодным условиям год может проявлять разные тактики. Неблагоприятные погодные условия приводят к стиранию этих различий в тактиках у данного признака.
Ширина половины листовой пластинки независимо от степени благоприятности погоды проявляет конвергентно-дивергентную тактику (табл. 3). Исключение составляет год с СБП = 3,38 баллов, когда отмечена дестабилизация признака (дивергентная тактика). Таким образом, техногенная трансформация почв независимо от погодных условий года повышает степень изменчивости признака «ширина половины листовой пластинки».
Таблица 3 – Онтогенетические тактики признака «ширина половины листовой пластинки»
СБП, балл | Ширина половины листовой пластинки | |
слева | справа | |
4,00 | к-д | к-д |
3,43 | к-д | к-д |
3,38 | д | д |
3,24 | к-д | к-д |
Примечание. Обозначения см. в таблице 1.
Непарные признаки, индексы листа и листовой пластинки. Для признака «расстояние от кончика до самой широкой части листа» не установлено какой-то единой онтогенетической тактики и общей закономерности изменения тактик в градиенте неблагоприятности погодных условий (табл. 4).
Таблица 4 – Онтогенетические тактики непарных признаков, индексов листа и листвой пластинки
СБП, балл | Морфологические признаки | |||||||
Расстояние от кончика до широкого места | Расстояние от широкого места до основания | ДЛП | ШЛП | ДЧ | ИЛП | ИЛ | ИФ | |
4,00 | к-д | к | к | к | к | к | к | к-д |
3,43 | н | к-д | н | н | н | к | к | к-д |
3,38 | д-к | к-д | д-к | д-к | н | д-к | д-к | к-д |
3,24 | н | к | н | к | д-к | д-к | д-к | к-д |
Примечание. Обозначение онтогенетических тактик см. в таблице 1; ДЛП – длина листовой пластинки, ШЛП – ширина листовой пластинки, ДЧ – длина черешка, ИЛП – индекс листовой пластинки, ИЛ – индекс листа, ИФ – индекс формы листовой пластинки.
Признак «расстояние от самой широкой части листа до основания» в максимально и минимально благоприятные по погодным условиям годы характеризуется конвергентной тактикой. В средние по степени благоприятности погоды годы – проявляет смешанную конвергентно-дивергентную онтогенетическую тактику.
Длина и ширина листовой пластинки характеризуются одинаковыми онтогенетическими тактиками в благоприятный и средние по степени благоприятности годы (табл. 4). Только в неблагоприятный год (СБП = 3,24 балла) для длины листовой пластинки характерна неопределенная онтогенетическая тактика, а для ширины – конвергентная как в благоприятный год. Таким образом, из двух анализируемых признаков более чувствительный к условиям окружающей среды признак «ширина листовой пластинки», изменчивость которого стабилизируется при неблагоприятных эдафических условиях.
Изменчивость признака «длина черешка» в благоприятный год снижается в градиенте техногенной трансформации почвы – конвергентная онтогенетическая тактика. В условиях средней неблагоприятности погоды для него характерна неопределенная тактика. В неблагоприятный год – дивергентно-конвергентная.
Индекс листовой пластинки и индекс листа характеризуются сходными онтогенетическими тактиками при разных погодных условиях. В наиболее благоприятные годы (СБП = 4,0 и 3,43) – это конвергентная тактика, в менее благоприятные (СБП = 3,43 и 3,24) – дивергентно-конвергентная тактика. То есть данные признаки вне зависимости от года проявляют тактики, которые стабилизируют морфологическую структуру в условиях стресса. Признак индекс формы независимо от степени благоприятности погоды проявляет конвергентно-дивергентную тактику.
Статистическая значимость конвергентной и дивергентной онтогенетических тактик. Для подтверждения наличия определенных типов онтогенетических тактик морфологических признаков листа B. pendula был проведен корреляционный анализ зависимости их изменчивости (Cᵥ, %) от уровня токсической нагрузки на исследуемых территориях (Z, отн. ед.). В анализ включены все признаки, которые проявили чистые конвергентные и дивергентные онтогенетические тактики (табл. 5).
Таблица 5 – Результаты корреляционного анализа зависимости изменчивости морфологических признаков листа от уровня техногенной трансформации почвы (N = 5)
Морфологические признаки листа | r | p |
Конвергентная тактика | ||
Длина первой БЖ первого порядка (слева) – 2017 г. | −0,60 | >0,05 |
Длина первой БЖ первого порядка (справа) в 2017 г. | −0,74 | >0,05 |
Длина второй БЖ первого порядка (слева) в 2017 г. | −0,62 | >0,05 |
Длина второй БЖ первого порядка (справа) в 2017 г. | −0,69 | >0,05 |
Длина третьей БЖ первого порядка (слева) в 2017 г. | −0,72 | >0,05 |
Длина третьей БЖ первого порядка (справа) в 2017 г. | −0,52 | >0,05 |
Длина четвертой БЖ первого порядка (слева) в 2017 г. | −0,70 | >0,05 |
Длина четвертой БЖ первого порядка (справа) в 2017 г. | −0,54 | >0,05 |
Длина пятой БЖ первого порядка (слева) в 2017 г. | −0,87 | <0,05 |
Длина пятой БЖ первого порядка (справа) в 2017 г. | −0,76 | >0,05 |
Длина первой БЖ первого порядка (слева) в 2019 г. | −0,64 | >0,05 |
Длина третьей БЖ первого порядка (справа) в 2019 г. | −0,81 | <0,05 |
Длина четвертой БЖ первого порядка (слева) в 2019 г. | −0,83 | <0,05 |
Длина четвертой БЖ первого порядка (справа) в 2019 г. | −0,98 | <0,05 |
Длина пятой БЖ первого порядка (слева) в 2019 г. | −0,66 | >0,05 |
Длина пятой БЖ первого порядка (справа) в 2019 г. | −0,53 | >0,05 |
Угол между главной жилкой и 1 БЖ (слева) в 2016 г. | −0,77 | >0,05 |
Угол между главной жилкой и 2 БЖ (слева) в 2016 г. | −0,81 | <0,05 |
Угол между главной жилкой и 5 БЖ (слева) в 2017 г. | −0,80 | <0,05 |
Угол между главной жилкой и 5 БЖ (справа) в 2017 г. | −0,87 | <0,05 |
Угол между главной жилкой и 1 БЖ (слева) в 2018 г. | −0,48 | >0,05 |
Угол между главной жилкой и 1 БЖ (слева) в 2019 г. | −0,59 | >0,05 |
Угол между главной жилкой и 1 БЖ (справа) в 2019 г. | −0,39 | >0,05 |
Угол между главной жилкой и 2 БЖ (слева) в 2019 г. | −0,73 | >0,05 |
Угол между главной жилкой и 3 БЖ (слева) в 2019 г. | −0,57 | >0,05 |
Угол между главной жилкой и 3 БЖ (справа) в 2019 г. | −0,56 | >0,05 |
Длина листовой пластинки в 2019 г. | −0,89 | <0,05 |
Длина черешка в 2019 г. | −0,71 | >0,05 |
Индекс листа в 2018 г. | −0,31 | >0,05 |
Индекс листа в 2019 г. | −0,37 | >0,05 |
Индекс листовой пластинки в 2018 г. | −0,48 | >0,05 |
Индекс листовой пластинки в 2019 г. | −0,83 | <0,05 |
Расстояние между концами 2 и 3 БЖ (слева) в 2019 г. | −0,78 | >0,05 |
Расстояние между основаниями 4 и 5 БЖ (справа) в 2017 г. | −0,69 | >0,05 |
Расстояние между основаниями 1 и 2 БЖ (слева) в 2019 г. | −0,47 | >0,05 |
Расстояние между основаниями 1 и 2 БЖ (справа) в 2019 г. | −0,78 | >0,05 |
Расстояние между основаниями 4 и 5 БЖ (слева) в 2019 г. | −0,93 | <0,05 |
Расстояние между основаниями 4 и 5 Ж (справа) в 2019 г. | −0,96 | <0,05 |
Расстояние от самого широкого места до основания ЛП в 2017 г. | −0,53 | >0,05 |
Расстояние от самого широкого места до основания ЛП в 2019 г. | −0,31 | >0,05 |
Ширина листовой пластинки в 2017 г. | −0,59 | >0,05 |
Ширина листовой пластинки в 2019 г. | −0,52 | >0,05 |
Дивергентная тактика | ||
Расстояние между концами 1 и 2 БЖ (слева) в 2016 г. | 0,73 | >0,05 |
Расстояние между концами 1 и 2 БЖ (справа) в 2016 г. | 0,84 | >0,05 |
Расстояние между концами 2 и 3 БЖ (слева) в 2016 г. | 0,96 | <0,05 |
Расстояние между концами 2 и 3 БЖ (справа) в 2016 г. | 0,93 | <0,05 |
Расстояние между концами 3 и 4 БЖ (слева) в 2016 г. | 0,98 | <0,05 |
Расстояние между концами 3 и 4 БЖ (справа) в 2016 г. | 0,95 | <0,05 |
Расстояние между концами 4 и 5 БЖ (слева) в 2016 г. | 0,78 | >0,05 |
Расстояние между концами 4 и 5 БЖ (справа) в 2016 г. | 0,88 | >0,05 |
Расстояние между концами 3 и 4 БЖ (справа) в 2018 г. | 0,74 | >0,05 |
Расстояние между концами 4 и 5 БЖ (слева) в 2018 г. | 0,40 | >0,05 |
Ширина половины листа (слева) в 2016 г. | 0,85 | >0,05 |
Ширина половины листа (справа) в 2016 г. | 0,84 | >0,05 |
Установлено, что статистически значимая конвергентная тактика в градиенте техногенной трансформации почвы характерна только в благоприятный год для признаков: длина четвертой боковой жилки первого порядка слева и справа, длина листовой пластинки, индекс листовой пластинки, расстояние между основаниями четвертой и пятой боковой жилки первого порядка слева и справа. Проявление дивергентных тактик у отдельных признаков в градиенте техногенной трансформации почвы отмечено в менее благоприятный по погодным условиям год (СБП = 3,38 балла). Статистически значимые дивергентные тактики характерны для следующих морфологических признаков листа B. pendula: расстояние между концами 2–3-й боковой жилок и 3–4-й боковых жилок первого порядка. Это свидетельствует о их большей чувствительности у растений с техногенно трансформированных территорий к неблагоприятным погодным факторам. Следовательно, сочетанное действие неблагоприятных погодных условий и техногенной трансформации почвы снижает целостность морфологической структуры листа из-за чувствительности выше указанных признаков к исследуемым экологическим факторам.
Обсуждение результатов
Полученные результаты свидетельствуют о разнообразии реакции морфологических параметров листа B. pendula на техногенную трансформацию почвы, что проявляется в реализации 6 различных типов онтогенетических тактик. Для большинства признаков листа характерно 3–4 типа тактик, для четырех – две тактики и лишь для индекса формы листовой пластинки характерна только конвергентно-дивергентная тактика. Анализ типов тактик, реализуемых признаками в различные вегетационные сезоны, показал, что наиболее представлены конвергентно-дивергентная (32%) и конвергентная (23%). В меньшей степени представлены дивергентная (7%) и тактика стабилизации (6%).
Один и тот же признак в разных частях листа может характеризоваться разными тактиками. К таким признакам относятся длина боковой жилки, расстояние между основаниями и концами боковых жилок первого порядка, угол между главной и боковой жилкой.
Погодные условия корректируют тактики, характерные для признаков в градиенте техногенной трансформации: длина боковой жилки, угол между главной жилкой и боковой жилкой первого порядка, расстояние от кончика до самой широкой части листа, длина листовой пластинки, длина черешка, ИЛП, ИЛ. Наиболее разнообразны тактики у признака «угол»: все четыре вегетационных сезона отличаются по составу тактик, реализуемых в различных частях листа.
Конвергентная тактика направлена на снижение изменчивости признака в градиенте техногенной нагрузки. С точки зрения ряда авторов, стрессовый фактор может приводить к избыточной активации метаболизма растительного организма, следствием чего является повышение общих адаптивных механизмов неспецифической устойчивости [20, с. 83–93; 21, с. 296–305; 22, с. 53–61; 23, с. 145–149] и уровня варьирования признака. Статистическая значимость такого типа тактики установлена для признаков только в благоприятный по погодным условиям год.
Снижение изменчивости отдельных исследуемых признаков листа у B. pendula при росте почвенного загрязнения может быть следствием ее онтогенетической стратегии. Для вида характерна либо защитная [24, с. 71], либо комбинированная стрессово-защитная онтогенетическая стратегия с усилением защитной компоненты в условиях техногенного стресса. Защитная компонента характеризует адаптационные изменения, направленные на компенсацию негативных экологических и ценотических воздействий, включает изменения морфологической структуры адаптивного характера, направленные на сохранение целостности организма при усилении негативного воздействия факторов окружающей среды [1, с. 49]. Стратегия защиты характеризует устойчивость растительного организма к неблагоприятным условиям внешней среды, при этом организм сохраняет свою целостность [1, с. 87–89]. Следовательно, действие только одного стрессового фактора (техногенное загрязнение почвы) при его усилении запускает защитные механизмы в организме.
Дивергентная тактика, характерная для морфологических признаков листа B. pendula, демонстрирует «разбалансировку» развития системы и дестабилизацию целостности морфологической структуры. Такой тип тактик отмечен у признаков в менее благоприятные годы. В этот период проявляется сочетанное действие неблагоприятных погодных условий и техногенной трансформации окружающей среды, которое приводит к повышению изменчивости признака на участках с высоким уровнем загрязнения почвы тяжелыми металлами. Наряду с этим есть признаки, которые в благоприятный и неблагоприятный годы сохраняют вид онтогенетической тактики.
Как правило, снижение изменчивости какого-либо изменяющегося признака в стрессовых условиях связывают с превышением защитного потенциала организма и рассматривают в качестве показателя его низкой устойчивости [25, с. 173; 26, с. 23–25; 27, с. 448; 28, с. 156–158; 29, с. 3667]. Однако наряду с этим есть мнение о том, что низкая степень изменчивости – это показатель высокой адаптированности организмов к неблагоприятным условиям среды [30, с. 43; 31, с. 122; 32, с. 256; 33, с. 56–58; 34, с. 427; 35, с. 187–189]. Низкая степень изменчивости может быть причиной устойчивости признака к действию неблагоприятных условий среды и обусловлена генотипическими особенностями растительного организма [36, с. 102].
Выводы
- Разнообразие реакции морфологических признаков листа B. pendula на техногенную трансформацию почвы проявляется в реализации 6 различных типов онтогенетических тактик: конвергентная, дивергентная, стабилизации, неопределенной изменчивости, конвергентно-дивергентная, дивергентно-конвергентная. Наиболее представлены конвергентно-дивергентная (32%) и конвергентная (23%) тактики.
- В структуре листа определены признаки, которые в градиенте техногенной трансформации почвы, независимо от степени благоприятности погоды, сохраняют онтогенетическую тактику (индекс формы и расстояние между основаниями второй и третьей боковых жилок). Признаки, которые редко изменяют тип тактики: расстояние между концами и основаниями боковых жилок, угол между главной жилкой и 1–2-й боковыми жилками первого порядка, ширина половинки листа. Признаки, которые изменяют тактику в зависимости от погодных условий: длина боковой жилки, угол между главной и боковыми жилками в средней и верхней частях листа, расстояние от кончика до самой широкой части листа, расстояние от самой широкой части листа до основания, длина и ширина листовой пластинки, длина черешка, индекс листовой пластинки, индекс листа.
- Признаки длина боковой жилки, расстояние между основаниями и концами боковых жилок, угол между главной и боковой жилкой характеризуются разными типами тактик в разных частях листа.
About the authors
Tatyana Valerievna Zhuikova
Nizhny Tagil State Social and Pedagogical Institute (Branch) of Russian State Vocational Pedagogical University
Author for correspondence.
Email: hbfnt@rambler.ru
doctor of biological sciences, associate professor, dean of Natural Sciences, Mathematics and Computer Science Faculty
Russian Federation, Nizhny Tagil, Sverdlovsk RegionAnastasia Sergeevna Popova
Nizhny Tagil State Social and Pedagogical Institute (Branch) of Russian State Vocational Pedagogical University
Email: stassy.popova@yandex.ru
junior researcher of Ecological Laboratory
Russian Federation, Nizhny Tagil, Sverdlovsk RegionReferences
- Злобин Ю.А. Принципы и методы изучения ценотических популяций растений: учеб.-метод. пособие. Казань: Изд-во Казанского ун-та, 1989. 145 с.
- Ишбирдин А.Р., Ишмуратова М.М. Адаптивный морфогенез и эколого-ценотические стратегии выживания травянистых растений // Методы популяционной биологии: сб. мат-лов VII всерос. популяционного семинара (Сыктывкар, 16–21 февраля 2004 г.). Ч. 2. Сыктывкар, 2004. С. 113–120.
- Ишбирдин А.Р., Ишмуратова М.М. К оценке виталитета ценопопуляций Rhodiola iremelica Boriss. по размерному спектру // Ученые записки НТГСПА: мат-лы VI всерос. популяционного семинара «Фундаментальные и прикладные проблемы популяционной биологии» (г. Нижний Тагил, 2–6 декабря 2004 г.). Нижний Тагил: НТГСПА, 2004. С. 80–85.
- Ишбирдин А.Р., Ишмуратова М.М., Жирнова Т.В. Стратегии жизни ценопопуляции Cephalanthera rubra (L.) Rich. на территории Башкирского государственного заповедника // Вестник Нижегородского университета им. Н.И. Лобачевского. Серия: Биология. 2005. № 1. С. 85–98.
- Ишмуратова М.М. Родиола иремельская на Южном Урале. М.: Наука, 2006. 249 с.
- Пушкарева О.В. Стратегия жизни Epipactis helleborine (L.) Crantz. // Известия Самарского научного центра Российской академии наук. 2011. Т. 13, № 5 (2). С. 103–105.
- Шамигулова А.С. Особенности биологии и экологии, динамика ценопопуляций Orchis militaris L. (Orchidaceae) в степной зоне Башкирского Зауралья: автореф. дис. … канд. биол. наук: 03.02.01. Уфа, 2012. 18 с.
- Бобокалонов Дж.М., Давлатзода С.Х., Эргашева Г.Н. Изучение онтогенетических тактик в морфогенезе листа Platanus orientalis L. на территории г. Душанбе // Вестник Таджикского национального университета. Серия естественных наук. 2017. № 1/4. С. 194–196.
- Рахмангулов Р.С. Морфологическая структура и изменчивость листьев березы (Betula L.) на высотном градиенте (Южный Урал) и в условиях антропогенной нагрузки: автореф. дис. … канд. биол. наук: 03.02.01. Уфа, 2017. 18 с.
- Егорова Н.Ю. Онтогенетические тактики и стратегии выживания Oxycoccus palustris Pers. в болотных экосистемах таежной зоны (Кировская область) // Известия Саратовского ун-та. Новая серия. Серия: Химия. Биология. Экология. 2019. Т. 19, вып. 4. С. 473–480. doi: 10.18500/1816-9775-2019-19-4-473-480.
- Федорова А.И. Онтогенетические стратегии и тактики некоторых доминирующих видов злаков прибрежно-водной растительности Лено-Вилюйского междуречья // Естественные и математические науки в современном мире. 2014. № 15. С. 169–177.
- Куянцева Н.Б., Чащина О.Е., Андреева П.О. Оценка виталитета ценопопуляций Phragmites australis (Cav.) Trin. ex Steud. в условиях разнотипного химического загрязнения (Южный Урал) // Наука ЮУРГУ: мат-лы 66-й науч. конф. Секции технических наук. Челябинск: Издат. центр ЮУрГУ, 2014. С. 1622–1626.
- Князев М.С., Подгаевская Е.Н., Третьякова А.С., Золотарёва Н.В., Куликов П.В. Конспект флоры Свердловской области. Ч. III: Двудольные растения (Aristolochiaceae – Monotropaceae) // Фиторазнообразие Восточной Европы. 2018. Т. XII, № 2. С. 4–95. doi: 10.24411/2072-8816-2018-00021.
- Жуйкова Т.В., Мелинг Э.В., Кайгородова С.Ю., Безель В.С., Гордеева В.А. Особенности почв и травянистых растительных сообществ в условиях техногенеза на Среднем Урале // Экология. 2015. № 3. С. 163–172. [Zhuikova T.V., Meling E.V., Kaigorodova S.Yu., Bezel V.S., Gordeeva V.A. Specific features of soils and herbaceous plant communities in industrially polluted areas of the Middle Urals // Russian Journal of Ecology. 2015. Vol. 46, № 3. P. 213–221]. doi: 10.7868/s0367059715030130.
- Ившина И.Б., Костина Л.В., Каменских Т.Н., Жуйкова В.А., Жуйкова Т.В., Безель В.С. Почвенный микробиоценоз как показатель стабильности луговых сообществ при химическом загрязнении среды тяжелыми металлами // Экология. 2014. № 2. С. 83–90. [Ivshina I.B., Kostina L.V., Kamenskikh T.N., Zhuikova V.A., Zhuikova T.V., Bezel V.S. Soil microbiocoenosis as an indicator of stability of meadow communities in the environment polluted with heavy metals // Russian Journal of Ecology. 2014. Vol. 45, № 2. P. 83–89]. doi: 10.1134/s1067413614020039.
- Жуйкова Т.В. Растительные системы в условиях техногенной трансформации среды. М.: Наука, 2022. 339 с.
- Munn R.E. Global environmental monitoring system (GEMS): action plan for phase I. Toronto: ICSU-SCOPE, 1973. 130 p.
- Погода и климат [Электронный ресурс] // http://pogodaiklimat.ru.
- Архив погоды в Нижнем Тагиле [Электронный ресурс] // Расписание погоды. https://rp5.ru/Архив_погоды_в_Нижнем_Тагиле.
- Ishikawa M., Robertson A.J., Gusta L.V. Comparison of viability tests for assessing cross-adaptation to freezing, heat and salt stresses induced by abscisic acid in bromegrass (Bromus inermis Leyss) suspension cultured cells // Plant Science. 1995. Vol. 107, iss. 1. P. 83–93. doi: 10.1016/0168-9452(95)04100-9.
- Hughes M.A., Dunn M.A. The molecular biology of plant acclimation to low temperature // Journal of Experimental Botany. 1996. Vol. 47, № 296. P. 291–305.
- Franco E., Alessandrelli S., Masojı́dek J., Margonelli A., Giardi M.T. Modulation of D1 protein turnover under cadmium and heat stress monitored by [³⁵S]methionine incorporation // Plant Science. 1999. Vol. 144, iss. 2. P. 53–61. doi: 10.1016/s0168-9452(99)00040-0.
- Шакирова Ф.М. Неспецифическая устойчивость растений к стрессовым факторам и ее регуляция. Уфа: Гилем, 2001. 160 с.
- Жуйкова Т.В., Попова А.С., Мелинг Э.В. Морфологическая изменчивость листьев Betula pendula Roth в условиях техногенной трансформации окружающей среды // Самарский научный вестник. 2021. Т. 10, № 1. С. 65–73. doi: 10.17816/snv2021101109.
- Ловелиус Н.В. Изменчивость прироста деревьев: дендроиндикация природных процессов и антропогенных воздействий. Л.: Наука. Ленингр. отд-ние, 1979. 231 с.
- Веселова Т.В., Веселовский В.А., Чернавский Д.С. Стресс у растений (биофизический подход). М.: Изд-во Моск. ун-та, 1993. 144 с.
- Безель В.С., Позолотина В.Н., Бельский Е.А., Жуйкова Т.В. Изменчивость популяционных параметров: адаптация к токсическим факторам среды // Экология. 2001. № 6. С. 447–453.
- Северцов А.С. Направленность эволюции. M.: Изд-во Московского университета, 1990. 272 с.
- Северцов А.С. Внутривидовое разнообразие как причина эволюционной стабильности // Русский орнитологический журнал. 2014. Т. 23, экспресс-выпуск 1072. С. 3659–3673.
- Симинел В.Д., Кильчевская О.С. Особенности биологии цветения, опыления и оплодотворения тритикале / отв. ред. Ф.Г. Кириченко. Кишинев: Штиинца, 1984. 152 с.
- Авров Ф.Д. Экология и селекция лиственницы. Томск: Спектр, 1996. 213 с.
- Титов С.В., Кузьмин А.А., Шмыров А.А. Репродуктивная стратегия как фактор межвидовой гибридизации и изоляции симпатрических видов сусликов // Современные проблемы биологической эволюции (к 100-летию Государственного Дарвиновского музея): мат-лы конф. М.: ГДМ, 2007. С. 255–257.
- Чернодубов А.И. Сосна обыкновенная в островных борах Восточно-Европейской равнины. Воронеж: Воронежская государственная лесотехническая академия, 2009. 156 с.
- Машкина О.С., Кузнецова Н.Ф., Исаков Ю.Н., Буторина А.К. Самофертильность у сосны обыкновенной как один из механизмов ее устойчивости к химическим мутагенам // Экология. 2009. № 6. С. 423–428.
- Чекменева Ю.В. Изучение индивидуальной изменчивости хвойных интродуцентов для мониторинга в городской среде: дис. … канд. с/х. наук: 06.03.01. Воронеж, 2011. 227 с.
- Хлебова Л.П., Ерещенко О.В. Ритмы суточной митотической активности у березы повислой (Betula pendula Roth) в условиях Алтайского края // Известия Алтайского государственного университета. 2014. № 3–1 (83). С. 100–104. doi: 10.14258/izvasu(2014)3.1-18.
Supplementary files



