A distance study of seasonal dynamics of the vegetation index (NVDI) of the Mongun-Taiga massif vegetation cover
- Authors: Dongak D.A.1, Mongush A.V.1, Mongush C.B.1,2, Chuldum S.O.1
-
Affiliations:
- Center for Biosphere Research
- Central Siberian Botanical Garden of Siberian Branch of the Russian Academy of Sciences
- Issue: Vol 11, No 4 (2022)
- Pages: 22-29
- Section: Biological Sciences
- URL: https://snv63.ru/2309-4370/article/view/321426
- DOI: https://doi.org/10.55355/snv2022114103
- ID: 321426
Cite item
Full Text
Abstract
This paper analyzes seasonal dynamics of the Mongun-Taiga massif vegetation cover from February to October 2022 based on the application of the NDVI vegetation index using Sentinel-2 satellite imagery data. To analyze the seasonal dynamics of the vegetation index of the Mongun-Taiga massif, 15 points on the valleys of five rivers were selected – they are the Tolaity River (south side), the Holash River (west side), the Balyktyg River (north side), the Right-Mugur River (north-east side) and the Shara-Khoragai river (east side). The graphs of the vegetation cover of different exposures of the massif slopes show that the highest values are represented at the western side of the massif (the Holash River), then on the southern side (the Tolaity River) and then on the northern side of the massif (the Balyktyg River). The valleys of the Shara-Khoragai River (east side) and the Right-Mugur River (north-east side) have the lowest indicators of vegetation cover. Different curves of the vegetation cover graphs for different exposures of the massif explain that the climate in this area is very complex. Terrain, slope exposures, humidity, strength and direction of winds, sunlight, temperature, slopes of selected points, as well as watercourses affect vegetation cover differently. For a more thorough study, it is necessary to obtain higher-resolution images and conduct ground-based measurement work to assess the state of the vegetation cover of the massif and obtain accurate meteorological data.
Full Text
Введение
Горный массив Монгун-Тайга расположен на юго-западе Республики Тыва, на границе с Монголией. Массив находится к югу от главного азиатского водораздела, отделяющегося бассейны рек Северного Ледовитого океана от бессточной Внутренней Азии, и относится к бассейну Котловины больших озер. Фактически массив является водоразделом между водосборными бассейнами бессточных озер Урэг-Нур и Хиргис-Нур, расположенных на территории Монголии. Господствующая вершина массива с абсолютной высотой 3970,5 м является одной из главенствующих в системе Алтае-Саянской горной страны [1, с. 13].
Главными закономерностями климатического режима массива Монгун-Тайга являются большая годовая амплитуда температуры воздуха, относительно низкие температуры воздуха в зимний период, отрицательные среднегодовые значения температуры воздуха и малое количество осадков. Ввиду сложности рельефа массива тепло и влага распределяется неравномерно. Наибольшее количество выпадает на наветренных склонах и в высокогорном поясе массива Монгун-Тайга [2, с. 31].
Больше половины годового количества осадков (70%) приходится на три летних месяца (в с. Мугур-Аксы) и не превышает 310 мм, а в зимнее время имеет место глубокий минимум осадков. Ввиду неравномерности в распределении осадков в некоторых участках массива («орографической тени») их выпадает в среднем 160 мм [1, с. 65].
Повторяемость западных ветров в среднем за год составляет 80% (в с. Мугур-Аксы). Важной особенностью динамики циркуляционных процессов является преобладание в зимний период до высоты 1,5 км над уровнем моря ветров восточного и юго-восточного направлений, а с высоты 2 км над уровнем моря преобладают западные и северо-западные ветра [1, с. 67].
Массив Монгун-Тайга имеет своеобразную поясную структуру растительности, характерными особенностями которой являются выраженность степного, высокогорно-тундрового и нивального поясов, крайняя редукция лесного пояса (в северной части массива произрастает лиственница, рис. 1) и формирование на границе степного и горно-тундрового поясов остепненных кобрезиевников, сочетающих в себе особенности степных и высокогорных сообществ [3–6].
Рисунок 1 – Массив Монгун-Тайга: А – вид с северной стороны; Б – вид с южной стороны, с долины реки Толайты
Почвы представлены тремя основными типами: каштановыми, распространенными на подгорных шлейфах хребтов и в нижних частях склонов; горно-луговыми и горнотундровыми, характерными для высот 2–3 км над уровнем моря. Каштановые почвы проникают высоко в альпийскую область и непосредственно граничат с горно-луговыми и горно-тундровыми почвами [7].
Пояс горных тундровых (субальпийских) степей представлен горнотундровыми степями и горнотундровыми лугами с зарослями кустарников и кустарничков. Горно-степной пояс занимает подгорные шлейфы и поднимается до 2300–2400 м. Почвы горно-каштановые каменистые со слабой дерниной, маломощным гумусовым горизонтом, реже встречаются горные черноземы [7].
Настоящие степи приурочены к нижним частям пологих склонов, хорошо развитым долинам рек и озерным долинам на горных темно-каштановых почвах. Горнотундровые луговые степи встречаются небольшими участками на горных склонах, по речным долинам на высотах 2000–2500 м. Почва горнотундровая луговая, глубоко прогумусирована [7].
Горнотундровые степи начинаются с высоты 2400 м. Растительность низкорослая, распространены кустарнички на севере, северо-западе, большое видовое разнообразие, проективное покрытие составляет 55–75%. Почва горнотундровая дерновая [7].
Материалы и методы исследования
В настоящее время исследования растительности при помощи карт вегетационного индекса (NDVI – Normalized Difference Vegetation Index) стали традиционными [8, с. 978]. Вегетационный индекс (NDVI) стал одним из самых распространенных и используемых индексов для оценки общего количества биомассы и ее состояния. Вычисляется как разность интенсивностей отраженного света в красном и инфракрасном диапазонах, деленная на сумму их интенсивностей по формуле [9, с. 34]:
NVDI = (NIR − RED) / (NIR + RED),
где: NIR – отражение в ближней инфракрасной области спектра; RED – отражение в красной области спектра.
Значения индекса NDVI меняются в пределах от −1 до 1. Для растительности отражение в красной зоне спектра всегда меньше, чем в ближней инфракрасной, за счет поглощения солнечной радиации хлорофиллом, поэтому значения NDVI для растительности не могут быть меньше 0. Облачность, снежный покров и водные объекты имеют большую отражающую способность в видимом диапазоне, чем в ближнем инфракрасном, поэтому они имеют отрицательные значения NDVI [10, с. 14].
Расчет NDVI базируется на двух наиболее стабильных участках кривой спектральной отражательной способности растений. На красную зону спектра (0,62–0,75 мкм) приходится максимум поглощения солнечной радиации хлорофиллом, а на ближнюю инфракрасную зону (0,75–1,3 мкм) – максимальное отражение энергии клеточной структурой листа. Высокая фотосинтетическая активность (интенсивный рост растительного покрова) ведет к более низким значениям коэффициентов отражения в красной зоне спектра и большим значениям в ближней инфракрасной. Когда растения находятся в состоянии стресса, содержание хлорофилла в растительности снижается и отражательная способность увеличивается, особенно в красной области спектра, и это приводит к уменьшению значения NDVI [11, с. 33–34].
Нами было проведено моделирование сезонной динамики растительного покрова массива Монгун-Тайга на основе данных спутниковых снимков Sеntinel-2 с разрешением 10 м на пиксель. Расчет вегетационного индекса проводился по данным, прошедшим атмосферную коррекцию на бесплатной географической информационной системе QGIS Desktop 3.18.3.
Для массива Монгун-Тайга с водотоками и примыкающими территориями, в которые вошли части оз. Хиндиктиг-Холь, оз. Урэг-Нур, оз. Ачит-Нур, долины рек Каргы и Моген-Бурен, с февраля по октябрь 2022 года выполнены расчеты вегетационного индекса (NDVI) растительного покрова (рис. 2). Исследуемый массив Монгун-Тайга располагается на территории России, реки Каргы и Моген-Бурен впадают в озера Урэг-Нур и Ачит-Нур соответственно, которые находятся в соседней стране – Монголии.
Рисунок 2 – Схематичная карта массива Монгун-Тайга с прилегающими территориями
Результаты и их обсуждение
Результаты расчета сезонной динамики вегетационного индекса (NDVI) растительного покрова массива Монгун-Тайга на основе данных спутниковых снимков за 9 месяцев 2022 года (с февраля по октябрь) показаны на рисунке 3.
Изображения, представленные на рисунке 3, наглядно показывают динамику вегетационного индекса (ВИ) растительного покрова массива Монгун-Тайга и близлежащих территорий. Заметно, что с февраля до середины апреля ВИ близки к нулевым значениям и на тот период большая часть массива имеет синюю окраску (рис. 3: А–В). С середины апреля ВИ повышается, что хорошо прослеживается появляющейся зеленой окраской вокруг массива (рис. 3: В).
Рисунок 3 – Результаты расчета сезонной динамики растительного покрова массива Монгун-Тайга на основе данных спутниковых снимков за 9 месяцев 2022 года (с февраля по октябрь): А – февраль, Б – март, В – апрель, Г – май, Д – июнь, Е – июль, Ж – август, З – сентябрь, И – октябрь
Максимальное значение ВИ, согласно графику, приходится на июль, что видно по преобладанию темно-зеленых оттенков в границах массива, исключая ледники и реки. Распределение шкалы значений ВИ (NDVI) растительного покрова отмечено в цветовых гаммах в пределах от −1,00 до 1,00 (рис. 3).
Для анализа сезонной динамики вегетационного индекса растительного покрова массива Монгун-Тайга были выбраны 15 точек на долинах пяти рек массива, таких как р. Толайты (южная сторона), р. Холаш (западная сторона), р. Балыктыг (северная сторона), р. Правый Мугур (северо-восточная сторона), р. Шара-Хорагай (восточная сторона) (рис. 4).
Рисунок 4 – Фрагмент плана массива Монгун-Тайга, с долинами рек и выбранными точками на них: А – р. Толайты; Б – р. Холаш; В – р. Балыктыг; Г – Правый Мугур; Д – Шара-Хорагай; 1, 2, 3 – номера выбранных точек вдоль долины рек с разными высотными отметками
Река Толайты – одна из крупных водотоков массива, течет в южном направлении (рис. 4: А), относится к бассейну р. Моген-Бурен.
К бассейну р. Моген-Бурен относится большая часть рек массива, в том числе и река р. Холаш, которая течет в западном направлении (рис. 4: Б).
Реки северной части массива – это текущая в северном направлении р. Балыктыг (рис. 4: В) и имеющая северо-восточную направленность р. Мугур с начинающимися у концов долинных ледников протоками Правый Мугур (рис. 4: Г).
В восточной части массива выбрана долина реки Шара-Хорагай (рис. 4: Д).
Скорости течения рек значительны, обычно 1–1,5 м/с при глубине водотоков, как правило, около 1 м, ширине в несколько метров [1, с. 172].
Высотные отметки 15 выбранных точек вдоль долин рек (табл. 1) колеблются в пределах от 2250 м до 3209 м над уровнем моря и рассчитаны при помощи использования бесплатного продукта «ArcGIS Earth».
Таблица 1 – Высота над уровнем моря выбранных точек в долинах рек массива Монгун-Тайга, м
№ п/п | Наименование водотоков | Точка 1 | Точка 2 | Точка 3 |
1 | р. Толайты | 2580 | 2429 | 2390 |
2 | р. Холаш | 2316 | 2283 | 2250 |
3 | р. Балыктыг | 2675 | 2630 | 2522 |
4 | р. Правый Мугур | 2594 | 2427 | 2323 |
5 | р. Шара-Хорагай | 3209 | 2819 | 2684 |
Координаты выбранных 15 точек для сравнения значений вегетационных индексов по месяцам года приведены в таблице 2.
Таблица 2 – Координаты точек, расположенных вдоль долины рек
№ п/п | Наименование долины реки | Координаты точки 1 | Координаты точки 2 | Координаты точки 3 | |||
° с.ш. | ° в.д. | ° с.ш. | ° в.д. | ° с.ш. | ° в.д. | ||
1 | р. Толайты | 50,2503724 | 90,0954379 | 50,2048649 | 90,1284757 | 50,1673741 | 90,1316567 |
2 | р. Холаш | 50,2200028 | 89,8751202 | 50,2272220 | 89,8580309 | 50,2258915 | 89,8256048 |
3 | р. Балыктыг | 50,3174804 | 90,0473724 | 50,3305121 | 90,0439181 | 50,3404608 | 90,0365119 |
4 | р. Правый Мугур | 50,3211108 | 90,1627970 | 50,3239119 | 90,1795989 | 50,3328034 | 90,1932123 |
5 | р. Шара-Хорагай | 50,2614725 | 90,1782274 | 50,2589720 | 90,2262348 | 50,2456671 | 90,2515564 |
На рисунке 5 в виде графиков представлены результаты расчета вегетационного индекса растительного покрова долин р. Толайты, р. Холаш, р. Балыктыг, р. Правый Мугур, р. Шара-Хорагай в трех выбранных точках: графики точек 1, 2, 3 (выбранные точки с разными высотными отметками вдоль долины реки).
Анализ результатов расчета ВИ растительного покрова на 15 точках долин рек показывает, что кроме основных климатических факторов, влияющих на данные ВИ растительного покрова в отдельно взятой точке местности, немаловажную роль играет рельеф местности, как зависимость от экспозиции расположения, высота над уровнем моря, близость к водотоку, уклон местности и т.д.
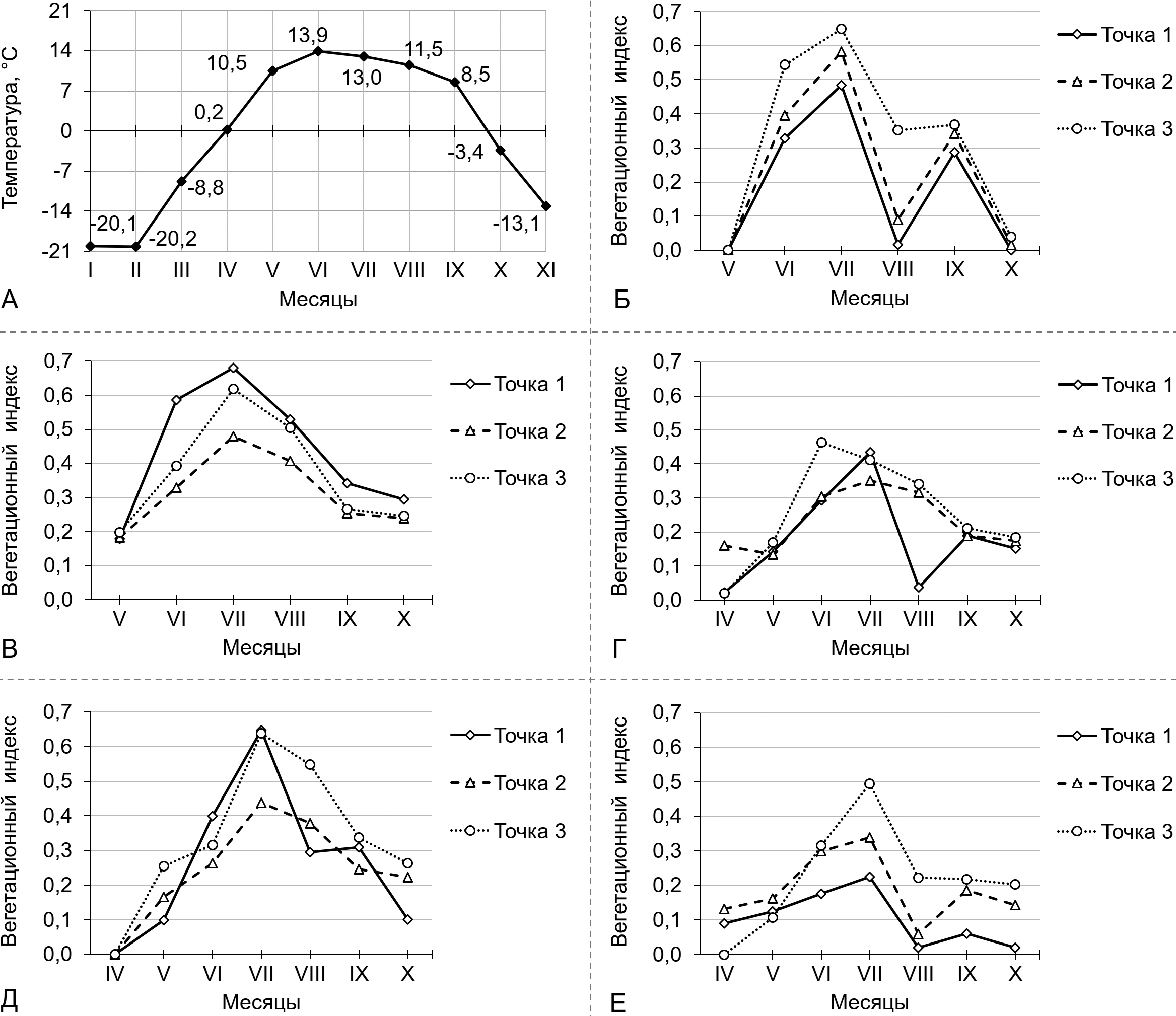
На северном склоне в долине реки Балыктыг ВИ растительного покрова с февраля до середины мая имеют нулевые значения. Ввиду нулевых значений ВИ на рисунке 5 (Б) данные за февраль-апрель не представлены. Динамика ВИ растительности на северном склоне массива намного опаздывает, чем на других склонах, а по сравнению с аналогичными данными ВИ растительности южного склона (долины реки Толайты) задерживается на целый месяц.
Как правило, южные склоны прогреваются больше, чем остальные склоны массива. Поэтому расчетные данные ВИ растительного покрова южной стороны (долины р. Толайты) начинаются раньше остальных и позже завершаются. Числовые значения ВИ растительности на южной стороне массива в начале вегетационного периода, в середине лета (июле), осенью (октябре) показывают большие значения, чем аналогичные данные ВИ остальных экспозиций массива (рис. 5: Д).
Рисунок 5 – Графики температуры воздуха и вегетационного индекса растительности: А – среднемесячная температура воздуха в п. Мугур-Аксы за 11 месяцев 2022 года. Вегетационный индекс растительности: Б – долины реки Балыктыг (северная часть массива); В – долины реки Холаш (западная часть массива); Г – долины реки Правый Мугур; Д – долины реки Толайты (южная часть массива); Е – долины реки Шара-Хорагай (восточная часть массива)
Динамика ВИ растительного покрова, его числовые значения на выбранных точках на долине р. Холаш (западная сторона массива) уступают данным графика р. Толайты южной экспозиции, но больше аналогичных данных других экспозиций. Только в июле числовые значения ВИ растительности на долине р. Холаш (западная сторона массива) меньше аналогичных данных с долины р. Балыктыг (северная сторона массива) (рис. 5: Б, В).
Числовые значения ВИ растительности долины реки Шара-Хорагай, расположенной в восточной экспозиции массива, имеют показатели, уступающие южной (р. Толайты), западной (р. Холаш) и даже северной (р. Балыктыг) экспозициям (рис. 5). Самые низкие значения динамики ВИ растительного покрова имеются на выбранных точках долины р. Правый Мугур, что на северо-востоке массива.
Результаты расчета ВИ растительного покрова, взятых с разных частей склонов вдоль водотоков массива Монгун-Тайга, показывают соответствие таким общеизвестным факторам, как климат и рельеф, которые указываются в работе Г.Г. Соколовой [12]. Согласно данному исследованию, самыми холодными и сырыми являются северные склоны, по поверхности которых солнечные лучи скользят, слабо прогревая почву и воздух и незначительно испаряя влагу. Южные склоны наиболее жаркие и сухие. Если склоны ориентированы на восток, то максимальная температура достигается утром, а если на запад – то вечером. От экспозиции склона зависит уровень радиации, зимнее распределение снега и скорость ветра [12, с. 38].
На рис. 6 приведены графики ВИ растительного покрова на разных экспозициях склона массива Монгун-Тайга со следующими высотными отметками: в долинах р. Толайты (юг, Н = 2580 м), р. Холаш (запад, Н = 2316 м), р. Балыктыг (север, Н = 2522 м), р. Правый Мугур (северо-запад, Н = 2427 м), р. Шара-Хорагай (восток, Н = 2684 м) (рис. 6).
Рисунок 6 – Графики динамики ВИ растительного покрова разных экспозиций склонов массива Монгун-Тайга (долина р. Толайты (юг, Н = 2580 м), р. Холаш (запад, Н = 2316 м), р. Балыктыг (север, Н = 2522 м), р. Правый Мугур (северо-запад, Н = 2427 м), р. Шара-Хорагай (восток, Н = 2684 м))
Графики ВИ растительного покрова разных экспозиций склонов массива показывают, что максимальные значения имеются в точке западной стороны массива (р. Холаш), затем – на южной стороне (р. Толайты) и далее – северной стороне массива (р. Балыктыг) (рис. 6).
Самые низкие показатели ВИ растительного покрова имеют долины рек Шара-Хорагай (восточная сторона массива) и р. Правый Мугур (северо-восток массива) (рис. 6).
По идее, южная сторона массива должна иметь максимальные значения ВИ растительного покрова, но в графиках они уступают данным западной части массива, хотя в начале и до середины мая вегетационного индекса растительности южная часть массива опережает все остальные числовые значения ВИ растительности на других экспозициях, в том числе и западную сторону (р. Холаш).
Различные кривые графиков ВИ растительного покрова по разным экспозициям массива (рис. 6) объясняют, что климат в таком высокогорном массиве как Монгун-Тайга очень сложный, рельеф, экспозиции склонов, влажность, сила и направления ветров, солнечный свет, температура, уклоны выбранных точек для исследования, а также водотоки влияют на растительный покров неодинаково.
Точки перегиба на графиках ВИ растительного покрова соответствуют выбранным датам сьемок спутников Земли над массивом Монгун-Тайга (12.02.2022, 09.03.2022, 15.04.2022, 09.06.2022, 27.07.2022, 21.08.2022, 22.09.2022, 15.10.2022). Безусловно, для изучения вегетационного периода, ВИ растительного покрова такого высокогорного массива, как Монгун-Тайга, нужно значительное количество баз данных за короткий промежуток времени (спутниковые снимки, метеоданные и т.д.). Однако ежедневное скачивание спутниковых снимков требует большого объема емкости для их хранения, снимки не всегда получаются успешными (облачность не дает приемлемых для дальнейшей обработки снимков). Для такого района желательно работать со снимками более высокого разрешения, например 0,5 м или 1 м на пиксель.
Кроме того, важен и выбор оптимальных вегетационных индексов для мониторинга. В настоящее время существуют более 160 вариантов расчета ВИ – арифметическими комбинациями значений уровней сигналов (или их функций) в отдельных спектральных каналах, чтобы оценить состояния растительности.
Заключение
Таким образом, для высокогорного массива Монгун-Тайга проведен расчет сезонной динамики ВИ растительного покрова с февраля по октябрь 2022 г. Как показывают графики (рис. 5, 6), ВИ характеризует вегетационный период растительности в соответствии с устоявшимся климатом, влажностью, рельефом по высоте, ветром, температурой, теневой частью, солнечным светом и др. [13, с. 7].
Значения ВИ близки к нулевым показателям в зимне-весенние месяцы (февраль – середина апреля), достигают высоких значений в летние месяцы (июнь, июль) и далее снижаются в осенние месяцы (сентябрь, октябрь). По мере смены фаз вегетативного развития меняются состав и содержание пигментов в листьях растений, увеличивается биомасса, количество хлорофилла в зеленых листьях растений. В осенние месяцы уменьшение значений индекса связано с усыханием растительности и, следовательно, низким содержанием хлорофилла в ней [14, p. 20].
Для более точного изучения необходимо получение снимков более высокого разрешения (0,5 м или 1 м на пиксель), которые, как правило, являются коммерческими. Кроме того, при обосновании результатов расчета графиков ВИ растительного покрова требуются более точные метеоданные, на основе одной метеостанции в с. Мугур-Аксы затруднительно обосновать результаты полученных кривых графиков по различным экспозициям склонов массива. Также необходимо проведение наземных измерительных работ по оценке состояния растительного покрова массива и получению метеорологических данных с различных частей массива.
Индекс NDVI является наиболее распространенным и простым индексом, показывающим количество фотосинтетически активной биомассы. Интерес представляют и другие варианты ВИ, которые в перспективе можно применить к горному массиву Монгун-Тайга, сравнить полученные результаты и сопоставить с результатами наземных приборов и оборудования.
Тем не менее следует отметить, что любые вегетационные индексы не дают абсолютных количественных показателей исследуемого свойства, и их значения зависят от характеристик сенсора (ширина спектральных каналов, разрешения), условий съемки, освещенности, состояния атмосферы. Они дают только относительные оценки свойств растительного покрова, которые могут быть интерпретированы и с привлечением полных данных пересчитаны в абсолютные.
About the authors
Dzhamil Aiyr-Sanaaevich Dongak
Center for Biosphere Research
Email: jamildongak@yandex.ru
candidate of technical sciences, head of Scientific Support for Regional Development Department
Russian Federation, KyzylArtysh Valerievich Mongush
Center for Biosphere Research
Email: artysh1003@gmail.com
chief specialist of Scientific Support for Regional Development Department
Russian Federation, KyzylChinchi Buyanovna Mongush
Center for Biosphere Research; Central Siberian Botanical Garden of Siberian Branch of the Russian Academy of Sciences
Author for correspondence.
Email: chinchi96@mail.ru
chief specialist of Scientific Support for Regional Development Department, postgraduate student, leading engineer of Mycology, Algology and Lichenology Laboratory
Russian Federation, Kyzyl; NovosibirskShydar Orlanovich Chuldum
Center for Biosphere Research
Email: chuldum1997@mail.ru
chief specialist of Scientific Support for Regional Development Department
Russian Federation, KyzylReferences
- Горный массив Монгун-Тайга / под ред. К.В. Чистякова. СПб.: Арт-Экспресс, 2012. 310 с.
- Москаленко И.Г., Селиверстов Ю.П., Чистяков К.Ю. Горный массив Монгун-Тайга (Внутренняя Азия) (Опыт эколого-географической характеристики). СПб., 1993. 94 с.
- Соболевская К.А. Растительность Тувы / отв. ред. В.В. Ревердатто. Новосибирск, 1950. 140 с.
- Маскаев Ю.М., Намзалов Б.Б., Седельников В.П. Геоботаническое районирование // Растительный покров и естественные кормовые угодья Тувинской АССР / отв. ред. И.Ю. Коропачинский. Новосибирск: Наука, 1985. С. 210–247.
- Седельников В.П. Высокогорная растительность Алтае-Саянской горной области. Новосибирск: Наука. Сиб. отд-ние, 1988. 223 с.
- Дирксен В.Г., Смирнова М.А. Характеристика растительности северного макросклона высокогорного массива Монгун-Тайга (Юго-Западная Тува) // Ботанический журнал. 1997. Т. 82, № 10. С. 120–131.
- Носин В.А. Почвы Тувы. М.: Изд-во Акад. наук СССР, 1963. 342 с.
- Федотова Е.В., Жолудев А.А., Изосимов В.Г., Шпирук Ю.Д., Маглинец Ю.А., Цибульский Г.М. Анализ сезонной динамики растительного покрова на основе данных дистанционного зондирования Земли // Журнал Сибирского федерального университета. Серия: Техника и технологии. 2014. Т. 7, № 8. С. 976–983.
- Цветкова А.А., Марков Д.С. Оценка экологического состояния биотопов Ивановской области на основе расчета NDVI // Успехи современного естествознания. 2011. № 7. С. 34–35.
- Мунзер Н. Разработка методики применения данных космических съемок для мониторинга лесов: автореф. дис. … канд. тех. наук: 25.00.34. М., 2021. 24 с.
- Замалитдинова М.Г., Ткачева И.П., Ергалиев Д.С., Сейткожина А.С. Исследование изменения растительности в зоне Аральского моря на основе космических снимков с использованием вегетационного индекса NDVI // Вестник Евразийского национального университета имени Л.Н. Гумилева. Серия: Технические науки и технологии. 2019. № 3 (128). С. 32–38.
- Соколова Г.Г. Влияние высоты местности, экспозиции и крутизны склона на особенности пространственного распределения растений // Acta Biologica Sibirica. 2016. Т. 2, № 3. С. 34–45.
- Суворова Г.Г., Попова Е.В. Фотосинтетическая продуктивность хвойных древостоев Иркутской области / отв. ред. Р.К. Саляев. Новосибирск: Академическое изд-во «Гео», 2015. 95 с.
- Adamovich T.A., Kantor G.Ya., Ashikhmina T.Ya., Savinykh V.P. The analysis of seasonal and long-term dynamics of the vegetative NDVI index in the territory of the State Nature Reserve «Nurgush» // Theoretical and Applied Ecology. 2018. № 1. P. 18–24.
Supplementary files







