The effect of xylotrophic basidiomycetes on the photosynthetic pigments of small-leaved trees
- Authors: Maramokhin E.V.1, Sirotina M.V.1,2, Zontikov D.N.1, Golubev V.S.1
-
Affiliations:
- Kostroma State University
- State Natural Reserve «Kologrivsky Forest» named after M.G. Sinitsyn
- Issue: Vol 11, No 4 (2022)
- Pages: 78-84
- Section: Biological Sciences
- URL: https://snv63.ru/2309-4370/article/view/111957
- DOI: https://doi.org/10.55355/snv2022114111
- ID: 111957
Cite item
Full Text
Abstract
Xylotrophic basidiomycetes are an essential component of any biogeocoenosis. It is due to these organisms that one of the most important processes occurs throughout the biosphere, namely the decomposition of organic substances and, first of all, cellulose, which is synthesized by producers. However, these phytopathogens bring significant losses to forestry, making wood unsuitable for industrial use. At the same time, sufficiently effective methods for diagnosing and assessing wood damage by heartwood rot, which are caused by xylotrophic basidiomycetes, have not been developed. The paper studies the peculiarity of the influence of these phytopathogens on the pigment apparatus of valuable small-leaved tree species using the methods of spectroscopy and electrophotocolorimetry, while comparing the rate of degradation of the main pigments of photosynthesis – chlorophylls a and b to pheophytin, as well as assesses the content of chlorophyll, and auxiliary pigments such as carotenoids and xanthophylls in healthy trees and trees with signs of damage by pathogenic xylotrophs. A significant number of effects of phytopathogens on leaf pigment apparatus of small-leaved tree species have been identified. Among those are rapid degradation of primary and secondary pigments, distortion of chlorophyll a concentration data caused by filter properties of photoelectric colorimeter and higher chlorophyll b concentration in affected trees in comparison to control sample. These methods and the results obtained can be actively used both in forestry to assess the phytosanitary state of small-leaved trees, and to further study the features of the interaction of xylotrophic basidiomycetes with woody plants.
Full Text
Введение
Ксилотрофные базидиомицеты являются важнейшим компонентом биоценозов. Особый комплекс ферментов позволяет этим микобионтам разрушать целлюлозу и делать доступным связанный углерод [1, с. 10–12; 2, p. 6070]. Эта группа преимущественно фитопатогенных организмов является типичным обитателем лесных биогеоценозов, а основным питательным субстратом для них является древесина лиственных и хвойных пород [3, p. 1714–1716; 4, p. 118]. При этом они осуществляют как деструкцию древесины погибших пород, так и ведут паразитический образ жизни на живых деревьях [5, с. 178; 6, p. 525]. И если для биоценоза это носит преимущественно положительный эффект за счет редукции целлюлозы, то для лесного хозяйства это является фактором, определяющим качество древесины [7, с. 75; 8, с. 13].
Данные фитопатогены приносят значительные убытки этой важнейшей в Костромской области отрасли [9, с. 4–6; 10, с. 54]. Одновременно не разработаны достаточно эффективные методы диагностики оценки поражения древесины ядровыми гнилями, которые вызываются ксилотрофными базидиомицетами [11, с. 61–65]. Также невозможно оценить степень фитопатогенного влияния на мелколиственные породы (только косвенно, используя общепринятый онтогенетический метод) [12, с. 15–30; 13, с. 5–10]. В связи с этим нами были разработаны методы изучения витальности мелколиственных пород по характеристикам хлорофилла, а также вспомогательных пигментов (каротиноидов и ксантофиллов) для выявления больных и ослабленных деревьев, пораженных ксилотрофными базидиомицетами.
Материалы и методы
Исследование витальности Betula pendula Roth и Populus tremula L. по характеристикам фотосинтетических пигментов проводилось в Красносельском, Макарьевском и Кологривском районах Костромской области. В основе применяемых методов лежит скорость деградации хлорофилла до феофитина, которая определяется с помощью спектроскопии с использованием спектроскопа однотрубного лабораторного и сравнительная электрофотоколориметрия для определения концентрации хлорофилла с применением электрофотоколориметра APEL AP-101 [14, с. 98; 15, p. 3–10]. Для проведения исследований в каждом районе подбиралось 3 дерева с соответствующим фитопатогеном, с каждого брали листовые пластинки в количестве достаточном для 3-х спиртовых извлечений, т.е. на контроль и каждый объект было исследовано по 27 образцов, что является репрезентативной выборкой [16, p. 641–650].
Для определения скорости деградации хлорофилла готовилась спиртовая вытяжка пигмента из листьев здоровых и больных деревьев, для этого 0,5 г измельченных листьев заливали 10 мл этилового спирта 70%. Затем каждые два дня проводилась спектроскопия в сравнении со спектральным составом чистого феофитина. Чем быстрей наблюдалась деградация хлорофилла до феофитина в сравнении с хлорофиллом, полученным от здоровых деревьев, тем более дерево оказывалось пораженным ксилотрофными базидиомицетами. По итогам наблюдения в среднем за 10 дней в зависимости от интенсивности поражения отмечалась полная деградация хлорофилла, полученного из листьев здоровых и больных деревьев до феофитина [17, с. 220].
Сравнительную электрофотоколориметрию проводили также с использованием спиртовой вытяжки хлорофилла, как и при спектроскопии. Исследование проводилось на приборе APEL AP-101, при этом определялась концентрация хлорофилла у здоровых и больных деревьев (мг/л) в сравнении со стандартным раствором Гётри. Раствор Гётри по окраске эквивалентен раствору хлорофилла концентрации 85 мг/л. Для исследования листья от здоровых и больных деревьев подбирались при одинаковых условиях освещенности, которая определялась с помощью люксметра Ю 116 с фотоэлементом Ф 55С. В электрофотоколориметре использовался светофильтр на 600 нм для определения концентрации хлорофилл a и 420 нм для определения концентрации хлорофилла b [14, с. 98; 18, с. 568–571].
Также исследовались и вспомогательные пигменты фотосинтеза, а именно каротиноиды и ксантофиллы, с использованием стандарта Русселя. Данный раствор по окраске эквивалентен раствору каротиноидов в концентрации 2,08 мг/л. Для определения концентрации каротина и ксантофилла в приборе APEL AP-101 использовали светофильтр 420 нм. В качестве исследуемого раствора, так же как и в предыдущих опытах, использовали спиртовую вытяжку из листьев мелколиственных пород. Феофитин определялся косвенным методом по деградации хлорофилла [14, с. 98]. Все полученные данные были статистически обработаны по общепринятым методикам.
Результаты и обсуждение
Проведенные спектроскопические исследования вытяжек хлорофилла из листовых пластин P. tremula и B. pendula, пораженных фитопатогенами, в сравнении с контролем показали схожие результаты. В качестве модельного объекта рассмотрим данные спектрограмм хлорофилла P. tremula в контроле и образцы, полученные от деревьев, пораженных P. igniarius. Первые спектрограммы были получены на второй день после выделения хлорофилла. В контроле отмечалось значительное поглощение спектра в синем (400–450 нм) и красном диапазонах (650–700 нм), это говорит о высоком содержании хлорофиллов a и b, поскольку именно в этих участках наиболее высокая поглотительная способность этих пигментов. Кроме этого, в диапазоне 550 нм наблюдалось практически полное поглощение монохроматического света видимой зеленой области спектра, что соотносится с законами Бугера–Ламберта и Бера, это также говорит о высоком содержании основных пигментов фотосинтеза – хлорофиллов (рис. 1). На 10-й день наблюдений внешне вытяжка пигментов приобрела болотную окраску, поскольку часть хлорофилла деградировала до феофитина, изменилась также и спектрограмма, в целом уменьшилась интенсивность поглощения спектра в синем и красном диапазонах, за счет чего эти участки лучше стали проявляться на спектрограмме. Кроме того, появилась видимая зеленая область спектра, поскольку хлорофилла стало меньше и полного поглощения монохроматического света уже не наблюдалось (рис. 1).
Рисунок 1 – Спектрограмма вытяжки хлорофилла из контрольных образцов P. tremula на 2-й день (А) и на 10-й день (Б)
На спектрограмме вытяжки хлорофилла из листовых пластинок от деревьев, пораженных P. igniarius, на второй день отмечалось поглощение спектров, которое соответствовало примерно спектрограмме 8–10-го дня в контроле. Это значит, что разрушение и деградация основных пигментов фотосинтеза до феофитина шло более быстрыми темпами, что в дальнейшем подтвердилось при проведении электрофотоколориметрии. К тому же в диапазоне 550 нм не наблюдалось поглощения монохроматического света видимой зеленой области спектра, что также говорит о низком уровне хлорофиллов. На 10-й день на спектрограмме синий и красный спектры стали практически соответствовать показаниям прохождения света через простую воду, хлорофилл a и b практически полностью деградировали до феофитина (рис. 2).
Рисунок 2 – Спектрограмма вытяжки хлорофилла из образцов P. tremula, пораженных P. igniarius на 2-й день (А) и на 10-й день (Б)
Электрофотоколориметрический анализ вытяжки пигментов фотосинтеза из листовых пластинок P. tremula показал значительно меньшую концентрацию хлорофилла a (32,1 мг/л) в образцах, полученных от деревьев, пораженных P. igniarius, в сравнении с контрольным образцом (56,6 мг/л), кроме того, и хлорофилл a, и хлорофилл b значительно быстрее разрушались в вытяжке из листьев пораженных деревьев (табл. 1).
Таблица 1 – Электрофотоколориметрический анализ вытяжки пигментов фотосинтеза из листовых пластинок P. tremula здоровых и пораженных P. igniarius деревьев, мг/л
Сутки | Пигменты фотосинтеза | Контроль (n = 18), ± Sₓ | P. igniarius (n = 18), ± Sₓ |
1 | Хлорофилл a | 56,6 ± 1,3 | 32,1 ± 1,71 |
Хлорофилл b | 8,5 ± 0,02 | 7,3 ± 0,12 | |
Каротиноиды | 4,2 ± 0,04 | 3,6 ± 0,06 | |
Феофитин | 0 | 0 | |
3 | Хлорофилл a | 35,4 ± 0,43 | 11,2 ± 1,76 |
Хлорофилл b | 8,0 ± 0,44 | 3,7 ± 0,24 | |
Каротиноиды | 4,0 ± 0,23 | 1,8 ± 0,13 | |
Феофитин | 21,5 ± 1,23 | 24,5 ± 3,16 | |
5 | Хлорофилл a | 32,6 ± 1,35 | 9,7 ± 1,88 |
Хлорофилл b | 7,6 ± 0,28 | 2,8 ± 0,29 | |
Каротиноиды | 3,8 ± 0,12 | 1,4 ± 0,16 | |
Феофитин | 25,0 ± 1,14 | 26,8 ± 3,57 | |
7 | Хлорофилл a | 32,3 ± 1,82 | 9,5 ± 1,63 |
Хлорофилл b | 7,4 ± 0,27 | 2,8 ± 0,26 | |
Каротиноиды | 3,7 ± 0,16 | 1,4 ± 0,12 | |
Феофитин | 25,4 ± 1,28 | 27,2 ± 3,44 | |
9 | Хлорофилл a | 28,7 ± 1,28 | 9,6 ± 1,30 |
Хлорофилл b | 6,7 ± 1,07 | 2,7 ± 0,28 | |
Каротиноиды | 3,4 ± 0,53 | 1,3 ± 0,14 | |
Феофитин | 29,7 ± 1,32 | 27,1 ± 2,98 |
Уже на второй день концентрация феофитина (20,5 мг/л) стала превышать концентрацию хлорофилла a (14,3 мг/л), и эта тенденция сохранялась на протяжении всего периода проведения замеров. В контроле лишь на 9-й день концентрация феофитина (29,7 мг/л) стала больше по сравнению с концентрацией хлорофилла a (28,7 мг/л). Медленнее шла также деградация и окисление хлорофилла b и других вспомогательных пигментов фотосинтеза именно в контрольном образце (рис. 3).
Рисунок 3 – Сравнительная характеристика основных и вспомогательных пигментов фотосинтеза у P. tremula в контроле (А) и при поражении P. igniarius (Б)
По промежуточным результатам исследований можно отметить значительное влияние P. igniarius на жизненность P. tremula, что, безусловно, сказывается как на биологических и физиологических процессах самих деревьев, так и на возможности хозяйственного использования древесины этой породы. Фитопатоген не только замедляет рост дерева, но и значительно ухудшает качество получаемой древесины.
Исследования вытяжек из листовых пластинок B. pendula также позволили выявить определенные закономерности деградации и разрушения основных и вспомогательных пигментов фотосинтеза (табл. 2).
Таблица 2 – Электрофотоколориметрический анализ вытяжки пигментов фотосинтеза из листовых пластинок B. pendula здоровых и пораженных фитопатогенами деревьев, мг/л
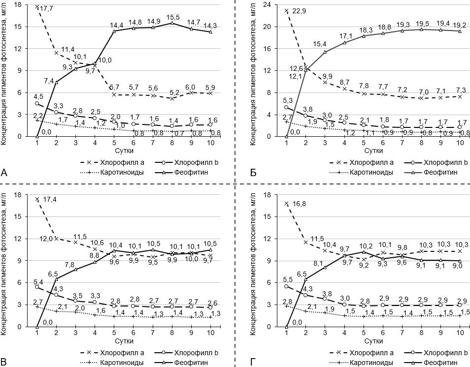
Сутки | Пигменты фотосинтеза | Контроль (n = 18), ± Sₓ | I. obliquus (n = 18), ± Sₓ | F. fomentarius (n = 18), ± Sₓ | P. betulinus (n = 18), ± Sₓ |
1 | Хлорофилл a | 17,7 ± 0,78 | 22,9 ± 2,08 | 17,4 ± 1,51 | 16,8 ± 1,31 |
Хлорофилл b | 4,5 ± 0,08 | 5,3 ± 0,27 | 5,4 ± 0,08 | 5,5 ± 0,14 | |
Каротиноиды | 2,2 ± 0,06 | 2,7 ± 0,13 | 2,7 ± 0,05 | 2,8 ± 0,08 | |
Феофитин | 0 | 0 | 0 | 0 | |
3 | Хлорофилл a | 10,1 ± 0,57 | 9,9 ± 1,12 | 11,5 ± 1,08 | 10,4 ± 0,38 |
Хлорофилл b | 2,8 ± 0,11 | 3,0 ± 0,24 | 3,5 ± 0,60 | 3,8 ± 0,03 | |
Каротиноиды | 1,4 ± 0,05 | 1,5 ± 0,11 | 2,0 ± 0,14 | 1,9 ± 0,03 | |
Феофитин | 9,3 ± 0,50 | 15,4 ± 1,25 | 7,8 ± 1,21 | 8,1 ± 1,76 | |
5 | Хлорофилл a | 5,7 ± 0,61 | 7,8 ± 1,04 | 9,6 ± 0,93 | 9,2 ± 0,23 |
Хлорофилл b | 2,0 ± 0,11 | 2,1 ± 0,14 | 2,8 ± 0,27 | 2,8 ± 0,08 | |
Каротиноиды | 1,0 ± 0,05 | 1,1 ± 0,07 | 1,4 ± 0,14 | 1,4 ± 0,05 | |
Феофитин | 14,4 ± 0,18 | 18,3 ± 1,23 | 10,4 ± 0,63 | 10,2 ± 1,61 | |
7 | Хлорофилл a | 5,6 ± 0,64 | 7,2 ± 1,08 | 9,5 ± 0,90 | 9,8 ± 0,25 |
Хлорофилл b | 1,6 ± 0,09 | 1,7 ± 0,20 | 2,7 ± 0,28 | 2,9 ± 0,12 | |
Каротиноиды | 0,8 ± 0,05 | 0,9 ± 0,09 | 1,3 ± 0,15 | 1,4 ± 0,07 | |
Феофитин | 14,9 ± 0,22 | 19,3 ± 1,06 | 10,5 ± 0,67 | 9,6 ± 1,57 | |
9 | Хлорофилл a | 6,0 ± 0,70 | 7,1 ± 1,00 | 10,1 ± 0,91 | 10,3 ± 0,32 |
Хлорофилл b | 1,6 ± 0,13 | 1,7 ± 0,16 | 2,7 ± 0,32 | 2,9 ± 0,15 | |
Каротиноиды | 0,8 ± 0,07 | 0,9 ± 0,08 | 1,3 ± 0,16 | 1,5 ± 0,08 | |
Феофитин | 14,7 ± 0,28 | 19,4 ± 1,22 | 10,0 ± 0,55 | 9,1 ± 1,47 |
В целом контрольный образец B. pendula имел значительные отличия от контрольного образца P. tremula. Хлорофилл a уже к 4-му дню деградировал так, что его стало меньше по сравнению с концентрацией феофитина (9,7 мг/л против 10,0 мг/л). В целом такая тенденция обнаруживается для всех образцов, полученных из листовых пластинок B. pendula, в том числе и для растений, пораженных ксилотрофными базидиомицетами, в связи с этим по данному показателю нельзя оценить влияние фитопатогенов на пигментный аппарат растения. По начальной концентрации хлорофилла a (17,7 мг/л) контроль уступал только вытяжке, полученной из листовых пластинок B. pendula, пораженных I. obliquus (22,9 мг/л), хотя это объясняется тем, что данный фитопатоген может жить только на живых деревьях, в связи с этим, это может быть проявлением компенсаторной реакции дерева в ответ на жизнедеятельность фитопатогена [19, с. 20; 20, с. 402]. Кроме этого, об умеренном фитопатогенном действии I. obliquus говорит и тот факт, что характер и скорость деградации хлорофилла a схож с контрольным образцом, что видно на графиках (рис. 4). Если же рассматривать начальную концентрацию в контроле хлорофилла b (4,5 мг/л), можно заметить, что в извлечениях, полученных от пораженных деревьев, его почти на 1 мг больше, это также реакция компенсации в ответ на ксилотрофное действие фитопатогенов.
Рисунок 4 – Сравнительная характеристика основных и вспомогательных пигментов фотосинтеза у B. pendula в контроле (А) и при поражении фитопатогенами: I. obliquus (Б), F. fomentarius (В), P. betulinus (Г)
При выполнении замеров был обнаружен также вираж концентрации хлорофилла a во всех образцах. Вираж характеризуется тем, что после ряда дней стабильной деградации хлорофилла до феофитина со снижением концентрации первого и повышением концентрации второго вдруг возникает повышение концентрации хлорофилла и в дальнейшем отмечается непрогнозируемое колебание этих показателей. Это связано с тем, что не весь хлорофилл деградирует до феофитина, часть его окисляется до других продуктов метаболизма, что не может отразить электрофотоколориметр с заданными параметрами длины волны. Чем быстрей наступает вираж, тем сильней влияние фитопатогена на жизненность растения. В норме вираж обычно отмечается к 9–10-му дню замеров, что можно видеть в контрольном образце (9-й день), для деревьев, пораженных I. obliquus, вираж также отмечен на 9-й день. А у образцов, полученных из листовых пластинок B. pendula, пораженных F. fomentarius и P. betulinus, вираж отмечен уже на 6-й день. В целом это соотносится с тем, что отбор листовых пластинок, как правило, производился с деревьев, которые относились к сенильным растениям с низкой жизненностью, поскольку на молодых и здоровых растениях этих фитопатогенов обнаружить не удавалось.
Анализ вытяжки из листовых пластинок B. pendula с использованием электрофотоколориметрического метода показал более разнородный результат, что, по-видимому, связано с особенностями влияния того или иного фитопатогена на основные и вспомогательные пигменты фотосинтеза. Однако метод электрофотоколориметрии можно применять для исследования как явного, так и скрытого влияния ксилотрофных базидиомицетов на рост и жизнедеятельность B. pendula и в дальнейшем проводить оценку возможностей хозяйственного использования древесины этой мелколиственной породы.
Заключение
Использование методов спектроскопии и электрофотоколориметрии для исследования и определения концентрации основных и вспомогательных пигментов фотосинтеза и последующей оценки влияния фитопатогенов на фотосинтетический аппарат деревьев мелколиственных пород показали свою эффективность. С помощью этих методов было установлено значительное влияние ксилотрофных базидиомицетов на жизненность P. tremula и B. pendula, что отражается не только на биологических и физиологических процессах самих деревьев, но и на возможности хозяйственного использования древесины этих пород. С помощью электрофотоколориметрии удалось установить целую серию воздействий на пигментный аппарат фитопатогенов, таких как скорость деградации и вираж хлорофилла a, более высокая концентрация хлорофилла b у пораженных деревьев в сравнении с контролем. Данные методы и полученные результаты можно активно применять как в лесном хозяйстве для оценки фитосанитарного состояния деревьев мелколиственных пород, так и для дальнейшего изучения особенностей взаимодействия ксилотрофных базидиомицетов с древесными растениями.
About the authors
Eduard Vladimirovich Maramokhin
Kostroma State University
Author for correspondence.
Email: maramokhin91@mail.ru
senior lecturer of Biology and Ecology Department
Russian Federation, KostromaMarina Valerievna Sirotina
Kostroma State University; State Natural Reserve «Kologrivsky Forest» named after M.G. Sinitsyn
Email: mvsirotina@gmail.com
doctor of biological sciences, associate professor, head of Biology and Ecology Department, researcher
Russian Federation, Kostroma; Kologriv, Kostroma RegionDmitry Nikolaevich Zontikov
Kostroma State University
Email: zontikovd@mail.ru
candidate of agricultural sciences, senior researcher, head of Plant Biotechnology Laboratory
Russian Federation, KostromaVladislav Sergeevich Golubev
Kostroma State University
Email: vladislav.golubew2016@yandex.ru
postgraduate student of Economics and Management Department
Russian Federation, KostromaReferences
- Бондарцева М.А. Эколого-биологические закономерности функционирования ксилотрофных базидиомицетов в лесных экосистемах // Грибные сообщества лесных экосистем / под ред. В.Г. Стороженко, В.И. Крутова, Н.Н. Селочник. М.–Петрозаводск: Карельский научный центр РАН, 2000. С. 9–25.
- Shang J., Yan S., Wang Q. Degradation mechanism and chemical component changes in Betula platyphylla wood by wood-rot fungi // BioResources. 2013. Vol. 8, iss. 4. P. 6066–6077. doi: 10.15376/biores.8.4.6066-6077.
- Knogge W. Fungal infection of plants // The Plant Cell. 1996. Vol. 8, iss. 10. P. 1711–1722. doi: 10.1105/tpc.8.10.1711.
- Zarzynski P. Correlations between phenolic compounds in wood and its decay by chosen species of saprotrophic and parasitic fungi // Forest Research Papers. 2009. Vol. 70, iss. 2. P. 113–122.
- Кабирова Р.Р. Изучение воздействия трутовых грибов на древесные насаждения Уфимского промышленного центра // Экология и природопользование: прикладные аспекты: мат-лы IX междунар. науч.-практ. конф. Уфа, 2019. С. 176–180.
- Burdon J.J., Thrall P.H. Spatial and temporal patterns in coevolving plant and pathogen associations // The American Naturalist. 1999. Vol. 153, № S5. P. 515–533. doi: 10.1086/303209.
- Марамохин Э.В., Малахова К.В. Изучение лесных фитопатогенов группы ксилотрофных базидиомицетов на примере Piptoporus betulinus (Bull.) P. Karst. и Phellinus igniarius (L.) Quеl. в культуре in vitro // Инженерные кадры – будущее инновационной экономики России. 2018. № 2. С. 74–77.
- Марамохин Э.В., Сиротина М.В., Зонтиков Д.Н. Культивирование мицелия и изучение фитопатогенности некоторых ксилотрофных базидиомицетов в условиях in vitro // Вестник Нижневартовского государственного университета. 2020. № 2. С. 12–18. doi: 10.36906/2311-4444/20-2/02.
- Марамохин Э.В. Ксилотрофные базидиомицеты мелколиственных лесов Костромской области // Вестник Нижневартовского государственного университета. 2020. № 1. С. 4–9. doi: 10.36906/2311-4444/20-1/01.
- Стороженко В.Г. Пораженность осинников Костромской области ложным осиновым трутовиком // Лесное хозяйство. 1979. № 10. С. 54–55.
- Сафонов М.А., Остапенко А.В. Влияние экологических факторов на распространение стволовых гнилей осины // Научная жизнь. 2017. № 6. С. 61–70.
- Степанова Н.Т., Мухин В.А. Основы экологии дереворазрушающих грибов. М.: Наука, 1979. 100 с.
- Стороженко В.Г. Научные основы устойчивости лесов к дереворазрушающим грибам. М.: Наука, 1992. 221 с.
- Марамохин Э.В. Научные основы изучения влияния ксилотрофных базидиомицетов на свойства хлорофилла деревьев мелколиственных пород // Ступени роста – 2020: тез. 72-й межрегион. науч.-практ. конф. молодых ученых / сост. и отв. ред. Л.А. Исакова. Кострома, 1–25 апреля 2020 г. Кострома: Костромской государственный университет, 2020. С. 98–99.
- Shigo A.L. Biology of decay and wood quality // Biological transformation of wood by microorganisms / ed. W. Liese. Berlin–Heidelberg: Springer, 1975. P. 1–15. doi: 10.1007/978-3-642-85778-2_1.
- Hawksworth D.L. The fungal dimension of biodiversity: magnitude, significance, and conservation // Mycological Research. 1991. Vol. 95, iss. 6. P. 641–655. doi: 10.1016/s0953-7562(09)80810-1.
- Ипатова Е.У., Демин В.А., Пахучая Л.М. ИК-Фурье-спектроскопия древесины березы, пораженной березовым трутовиком // Февральские чтения: сб. мат-лов науч.-практ. конф. по итогам науч.-исслед. работы 2017 года преподавателей Сыктывкарского лесного института. Сыктывкар, 2018. С. 218–221.
- Корнилина В.В. Влияние ложного осинового трутовика (Phellinus tremulae Bond et Boriss) на содержание пигментов в листьях осины в лесах Ульяновской области // Фундаментальные исследования. 2012. № 9. С. 568–572.
- Баландайкин М.Э. Начала системного подхода в изучении экологии и биологии ксилотрофного базидиомицета Inonotus obliquus (Pers.) Pil // Вопросы современной науки и практики. Университет им. В.И. Вернадского. 2012. № 4 (42). С. 18–27.
- Белова Н.В. О необходимости изучения биологии и биохимической активности Inonotus obliquus // Микология и фитопатология. 2014. Т. 48, вып. 6. С. 401–403.
Supplementary files






