Complex composts influence on the growth and dynamics of vermiculture number
- Authors: Nakonechniy N.V.1, Ibragimova D.V.1
-
Affiliations:
- Surgut State University
- Issue: Vol 9, No 4 (2020)
- Pages: 121-124
- Section: General Biology
- URL: https://snv63.ru/2309-4370/article/view/59442
- DOI: https://doi.org/10.17816/snv202094118
- ID: 59442
Cite item
Full Text
Abstract
The paper examines the influence of complex composts from waste water residues and brewer’s grains on the growth dynamics of Eisenia foetida vermiculture in greenhouse conditions as a regional aspect of sustainable development of the Ugra territory. The substrates were used: soil with a total humus content of 1,83 ± 0,51%, waste water residues, brewer’s pellet, plants, food waste, paper, bird droppings, microbiological additive «Tamir», as well as 50 immature worms «Prospector». The experience lasted 30 days. Each compost variant contained 7 replications with microbiological additive «Tamir» and worms, as well as 2 controls without worms: with and without microbiological additive «Tamir». Composite composts showed a positive trend in the increase in the number of earthworms and their total weight. A decrease in the mass of the substrate after vermicomposting using the microbiological preparation «Tamir» was observed in all variants. A statistically regular decrease in the mass of the substrate with time was established due to the growth of worms. The optimum temperature for the development of worms is +21°C, and the pH values at which a high number of worms were observed are in the range from 7,8 to 8,2. Thus, all types of complex composts can be used. The process of decomposition and positive dynamics of growth of worms was observed everywhere at different rates. The use of brewer’s grains in a raw state is possible with the introduction of 10–25% of the total mass of the compostable substrate with organic components having a sorption capacity.
Full Text
Введение
Проблема переработки органических отходов является одной из актуальных тем в экологии города. Наиболее выгодным и безопасным является метод вторичной переработки отходов, требующий раздельного сбора отходов, финансовых затрат, экологической культуры и современных технологий [1, с. 35; 2; 3, с. 12].
Основным отходом пивоварения является пивная дробина, объем которой велик, а разработка способов ее утилизации остается актуальной. Предварительные опыты по ее утилизации с помощью дождевых червей показали, что количество пивной дробины в субстрате должно быть меньше 25% [4, с. 349; 5, с. 540].
Накапливающиеся городские остатки сточных вод (ОСВ) в разных городах России отличаются по своим физико-химическим свойствам и микроэлементному составу, что обусловлено видом промышленных предприятий, соотношением в общем объеме бытовых и промышленных отходов, а также применяемых технологических схем очистки и обезвоживания ОСВ. При этом использование неорганических и органических реагентов для разделения твердой и жидкой фаз сточных вод приводит к снижению содержания в ОСВ как макроэлементов азота, фосфора и калия, так и микроэлементов, в том числе и тяжелых металлов. Отсутствия эффективных технологий утилизации сточных вод сдерживает его широкое использование в качестве удобрений. Для экологически обоснованного использования ОСВ как удобрений целесообразно организовать всестороннее изучение их химического, бактериологического, экотоксикологического состава, а также изучать влияние ОСВ на почву и агрофитоценоз [6, с. 130; 7, с. 9].
Использование дождевых червей для производства органических удобрений приобрело широкую известность. Наиболее продуктивным для переработки органических отходов оказался компостный червь Eisenia fоetida. При этом решаются практические проблемы: с хранением ОСВ и пивной дробины, повышение плодородия почв и продуктивный рост растений [3, с. 9; 8, с. 40; 9; 10, с. 20; 11, с. 51; 12, с. 9].
Целью исследования был поиск оптимальных соотношений отходов для продуктивного вермикомпостирования в закрытом грунте на территории лесной зоны Западной Сибири. В задачи входил поиск методов по снижению массы нетрадиционных органических отходов в нескольких вариантах сложных вермикомпостов, созданию биогумуса и прироста популяции червей.
Материалы и методы
Для подготовки компостов использованы: почвенный грунт с общим содержанием гумуса 1,83 ± 0,51%, ил ОСВ, пивная дробина, листья растений (растения), пищевые отходы, бумага, птичий помет, МП «Тамир» и по 50 неполовозрелых червей Eisenia fetida гибрида «Старатель» (всего задействовано 2100 особей). Опыт длился 30 дней. В каждом варианте компоста было 7 повторностей с МП и червями, а также 2 контроля без червей: с МП и без нее. Варианты субстратов: 1) кофе (100 г), почва (250 г), ОСВ (100 г), дробина (100 г), растения (50 г), отходы (100 г), Тамир (100 мл), черви; 2) кофе (100 г), почва (250 г), ОСВ (100 г), дробина (100 г), растения (50 г), Тамир (100 мл), черви; 3) почва (250 г), ОСВ (100 г), растения (50 г), отходы (100 г), Тамир (100 г), черви; 4) почва (250 г), ОСВ (100 г), растения (50 г), Тамир (100 мл), черви; 5) почва (250 г), ОСВ (100 г), отходы (100 г), бумага (100 г), Тамир (100 мл), черви; 6) кофе (100 г), почва (250 г), ОСВ (100 г), дробина (100 г), навоз (100 г), отходы (100 г), бумага (100 г), Тамир (100 мл), черви.
Контейнеры с субстратом устанавливались в темное помещение с температурой воздуха +18…+25°С. Влажность субстрата была доведена до 75–80%.
Связь и зависимость увеличения червей от объемов субстрата определяли с помощью коэффициента корреляции Спирмена (r) и уравнения регрессии в программе Statistica 10.0 [13; 14, с. 184].
Результаты
При переработке компостов наблюдался прирост числа дождевых червей (в 2–4 раза) и их общей массы (в 4–5 раз). Снижение массы субстрата после вермикомпостирования с применением МП наблюдали во всех вариантах. Значительное (в 3 раза) снижение массы субстрата выявлено в варианте № 6, в контроле без червей и МП уменьшение массы составило на 1/3 от первоначальной массы.
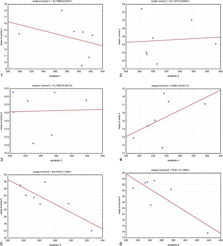
В 4-м варианте (рис. 3) отмечались низкие прирост массы червей и убыль массы субстрата. Обратная тенденция выявлена в 6-м варианте. Установлены слабая (варианты 2 r = −0,14 и 3 r = −0,07) и средняя (варианты 1 r = −0,5, 5 r = −0,57, 6 r = −0,43) отрицательные связи прироста массы червей в субстратах. Закономерно уменьшение массы субстрата со временем за счет роста червей.
Оптимальная температура окружающей среды для роста и развития червей +21°C (рис. 1), обеспечивающая равномерное их увеличение. Наименее благоприятные условия для прироста червей находятся в температурном диапазоне менее +18°C и более +25°C. Формированию щелочной среды способствовало внесение пивной дробины. Оптимальные значения pH, при которых наблюдалась высокая численность червей, находятся в диапазоне от 7,8 до 8,2 (рис. 2).
Рисунок 1 – Влияние температуры субстрата на прирост численности червей
Рисунок 2 – Влияние кислотности субстрата на прирост численности червей
Рисунок 3 – Зависимость прироста массы червей от массы субстрата (варианты компоста 1–6)
Заключение
Таким образом, возможно применение всех вариантов сложных компостов при вермикомпостировании. Положительную динамику по приросту дождевых червей с последующим снижением массы первоначальных компостов с применением МП наблюдали во всех вариантах. Установлено статистически закономерное уменьшение массы субстрата со временем за счет роста червей. Наиболее оптимальные для развития червей значения температуры +21°C и pH в диапазоне от 7,8 до 8,2. Использование ОСВ и пивной дробины в сыром состоянии (при внесении 10–25% от общей массы компоста) продуктивно с органическими компонентами, обладающими сорбционной способностью.
About the authors
Nikolay Vladimirovich Nakonechniy
Surgut State University
Author for correspondence.
Email: yyd@list.ru
candidate of biological sciences, researcher of Scientific and Educational Center of Institute of Natural and Technical Sciences
Russian Federation, SurgutDinara Vladimirovna Ibragimova
Surgut State University
Email: danaya_21@mail.ru
candidate of biological sciences, lecturer of Biology and Biotechnology Department
Russian Federation, SurgutReferences
- Иларионов С.А., Калашникова И.Г. Биоконверсия органических отходов с помощью вермикультивирования // Дождевые черви и плодородие почв: мат-лы I междунар. конф. Владимир, 21–23 ноября 2002 г. Владимир, 2002. С. 34–36.
- Титов И.Н. Дождевые черви. Руководство по вермикультуре в двух частях. Ч. I: Компостные черви. М.: ООО «МФК Точка Опоры», 2012. 284 с.
- Игонин А.М. Как повысить плодородие почвы в десятки раз с помощью дождевых червей. М.: Маркетинг, 2002. 30 с.
- Князева В.А., Кравец А.В., Терещенко Н.Н. Оценка эффективности вермикомпостирования для утилизации пивной дробины // Аграрная наука – сельскому хозяйству: XIV междунар. науч.-практ. конф. 7–8 февраля 2019 г. Барнаул: РИО Алтайского ГАУ, 2019. С. 348–350.
- Моисеев А.А., Наконечный Н.В. Вермикультивирование компостных червей гибрида Старатель в субстратах из остатков сточных вод и пивной дробины // Отходы, причины их образования и перспективы использования: сб. науч. тр. по мат-лам междунар. науч. экол. конф. / сост. Л.С. Новопольцева; под ред. И.С. Белюченко. Краснодар: КубГАУ, 2019. С. 538–541.
- Еськов А.И. Органические удобрения в земледелии России // Дождевые черви и плодородие почв: мат-лы II междунар. науч. конф. Владимир, 2004. С. 129–131.
- Варламова Л.Д. Эколого-агрохимическая оценка и оптимизация применения в качестве удобрений органосодержащих отходов производства: автореф. дис. … д-ра с/х. наук: 20.09.07. Саранск, 2007. 42 с.
- Касатиков В.А. К вопросу о влиянии вермикомпостирования осадков сточных вод на их агроэкологические свойства // Плодородие. 2006. № 6. С. 40–42.
- Малахова С.Д. Агроэкологическое обоснование почвенного пути утилизации осадков городских сточных вод: на примере г. Калуги: дис. … канд. биол. наук: 03.00.16. Калуга, 2007. 279 с.
- Титов И.Н. Вермикультура: переработка органической фракции отходов // Твердые бытовые отходы. 2008. № 8. С. 18–25.
- Янин Е.Н. Осадки городских сточных вод как источник биологического загрязнения окружающей среды // Экологическая экспертиза. 2009. № 2. С. 48–77.
- Мутиков В.М., Филиппова С.М., Фадеева М.Ф., Васильев Н.И. Рекомендации: по применению биогумуса (вермикомпоста) в полеводстве, садоводстве, овощеводстве и цветоводстве: метод. пособие. Чебоксары, 2009. 46 с.
- Терентьев П.В., Ростова Н.С. Практикум по биометрии. Л.: ЛГУ, 1977. 152 с.
- Тарасов С.И. Нормативно-правовое регулирование оборота органических удобрений // Вестник Всероссийского научно-исследовательского института механизации животноводства. 2019. Т. 2 (34). С. 182–192.
Supplementary files








