Phytoplankton of some rivers in the south of broadleaved forests subzone of the Middle Volga basin in a long-term perspective
- Authors: Kulizin P.V.1, Vodeneeva E.L.1,2, Okhapkin A.G.1
-
Affiliations:
- National Research Lobachevsky State University of Nizhny Novgorod
- Nizhny Novgorod Branch of Russian Research Institute of Fisheries and Oceanography
- Issue: Vol 10, No 2 (2021)
- Pages: 45-53
- Section: General Biology
- URL: https://snv63.ru/2309-4370/article/view/78094
- DOI: https://doi.org/10.17816/snv2021102106
- ID: 78094
Cite item
Full Text
Abstract
The paper provides information on the composition, structure and dynamics of phytoplankton of three morphologically different tributaries of the Cheboksary reservoir (the Vetluga, the Kerzhenets and the Vishnya rivers). The species composition of algae includes 826 species and intraspecific taxa, the flora was formed by diatom, green and euglena algae. It reflects the watercourses particularities of the southern taiga zone. Based on long-term studies of phytoplankton a change in the composition of algoflora by more than half was noticed, especially in the groups of Charophyta, Cryptophyta, Miozoa, Ochrophyta and Euglenophyta. An increase in quantitative indicators of algocoenoses from oligotrophic to oligotrophic-mesotrophic level in the middle reaches of rivers by mesotrophic-eutrophic level in estuarine areas is shown. In a fifty-year research series a tendency of phytoplankton reduction in size by more than 3,5 times has been established. It reflects the impact of eutrophication and gradual warming of the climate. The period of abnormally hot summer of 2010 led to increased vegetation in the middle reaches of rivers of diazotrophic blue-green algae and dinophytes. Since the early 2000s, gradual penetration and naturalization of both planktonic invasive algae species and representatives of benthic algocoenoses have been noticed. The mentioned changes reflect the nature of phytoplankton rearrangements as the essential component of the biota and emphasize the importance of long-term research with a possibility to predict negative consequences.
Full Text
Введение
Система боковой приточности р. Волги играет определяющую роль в формировании стока, основных черт компонентного состава вод рек и водохранилищ, структуры и продуктивности их биоты [1]. Современные макроклиматические тенденции (глобальное потепление, изменение термического режима водотоков) существенным образом влияют на гидрологические и гидрохимические показатели водных объектов, качественные и количественные характеристики их населения, в том числе и фитопланктона [2–4]. Для р. Волги и водотоков ее бассейна обобщающие сведения о главных параметрах альгоценозов планктона приводятся для основной акватории водохранилищ [1; 4–9], Камы [10–12] и Оки [5; 13–15]. Реки меньшей протяженности и водного стока исследованы значительно хуже [12; 16; 17]. Сток левобережных притоков р. Волги формируется в подзоне южной тайги в условиях равнинного зандрового рельефа со значительной степенью залесенности и заболачивания. Степень забуференности их вод много ниже, чем у системы боковой приточности Правобережья. Меньшие значения минерализации, олигонейтральный и слабокислый характер их вод зачастую приводят к снижению их способности химически сопротивляться внешним воздействиям, изменяющим гидрохимический фон водных объектов, что делает их более уязвимыми для антропогенного влияния. Трансформация условий формирования водного режима и качественного состава основных параметров химизма вод (потепление климата, рост концентраций щелочноземельных металлов, сульфатов и др.), несомненно, отражаются на такой чувствительной и многокомпонентной системе, как фитопланктон, который одним из первых реагирует на динамику средообразующих факторов.
Цель исследования: охарактеризовать тенденции изменения состава и структуры количественных показателей (численность и биомасса) фитопланктона некоторых левобережных притоков Чебоксарского водохранилища в многолетнем аспекте (с 1970-х годов по настоящее время) на фоне глобальной динамики климата и усиления инвазионных процессов.
Материал и методы исследования
Для реализации поставленной цели проанализированы результаты исследований состава и структуры фитопланктона трех морфологически различных рек левобережья Средней Волги: р. Ветлуга (большая), р. Керженец (средняя) и р. Вишня (малая), проведенных в 1970-х – 2019-х гг. Отбор проб осуществлялся общепринятыми методами на следующих основных станциях: ст. 1 – р. Ветлуга, пос. Варнавино (2010 г.); ст. 2 – то же, пос. Красные Баки (1987 г.); ст. 3 – то же, д. Чернышиха (2014, 2016, 2018 гг.); ст. 4 – то же, устье (1972–1979 гг.); ст. 5 – р. Керженец, д. Хахалы (1987 г.); ст. 6 – то же, пос. Пионерский (1985 г.); ст. 7 – то же, пос. Рустай (2008, 2014, 2016, 2018, 2019 гг.); ст. 8 – то же, устье (1972–1979, 1981–1990 гг.); ст. 9 – р. Вишня, устье (2002, 2016 гг.) (рис. 1).
Исследования 1977–1979 гг. и 1981–1990 гг. осуществлялись в приустьевых районах рек Ветлуга и Керженец, в 1985 и 1987 гг. – в их среднем течении (станции 2, 5, 6) в основном посезонно (весна, лето, осень). Ежедекадный отбор проб в период открытой воды осуществлен в 2010–2018 гг. на р. Ветлуга (ст. 3) и в 2008–2019 гг. на р. Керженец (ст. 7). Кроме того, использованы архивные данные ГПБЗ «Керженский» за 1994–1997 и 2000–2002 гг. (ст. 7), полученные Е.Л. Воденеевой.
Рисунок 1 – Карта-схема исследованных водотоков с отметками станций отбора проб фитопланктона (незаштрихованные точки – станции отбора проб в 1970–1990 гг., заштрихованные точки – 2008–2019 гг.)
Основные методические подходы к отбору и обработке проб фитопланктона, к характеристике структуры таксономического состава и показателям обилия фитопланктона, литература, использованная для идентификации водорослей и для оценки их эколого-географических параметров, приведены ранее [18–20]. Наименование таксонов и деление альгофлоры на отделы дается согласно базе данных Algaebase [21]. Степень сходства видового состава водорослей отдельных водотоков оценивалась коэффициентом Сёренсена (Ks), характер гетерогенности сообществ – индексом биотической дисперсии Коха (IBD) [22]. Статистическая обработка проведена с использованием стандартных подходов в ПП Statistica 13.
Исследованные в данной работе водотоки протекают в пределах низинного левобережья Волги и характеризуются заболоченным и залесенным водосбором, что заметно отражается на гидрохимических показателях их вод. Они относятся к восточноевропейскому типу с хорошо выраженным весенним половодьем и снеговым типом питания [23]. Особенностями исследованных рек является низкая минерализация, слабокислая реакция среды и повышенные значения цветности вод [19; 24]. Основные характеристики водотоков в сравнительно-временном аспекте показаны в табл. 1.
Таблица 1 – Основные характеристики водотоков в сравнительно-временном аспекте (1990-е годы / современный период)
Характеристики | р. Ветлуга | р. Керженец | р. Вишня |
Длина, км | 889 | 290 | 27 |
Площадь водосбора, км² | 39400 | 6140 | 250 |
Цветность, град. | 79 / – | 81,2 / 73 | 135 |
pH | 7,0 / 7,9 | 6,6 / 7,09 | 6,54 |
Сумма ионов, мг/л | 133,7 / 145 | 78,9 / 100,7 | 75,3 |
HCO₃⁻ | 83,1 / – | 38,7 / 59,8 | 42,1 |
SO₄²⁻ | 11,4 / 8,02 | 11,7 / 7,4 | 4,0 |
Cl⁻ | 5,2 / 4,97 | 6,0 / 4,0 | 1,0 |
Ca²⁺ + Mg²⁺ | 27,1 / – | 16,4 / 21,1 | 17,5 |
Feобщ., мг/л | – / | – / 0,28 | 0,45 |
Pобщ., мкг P/л | 30 / 35 | 60 / 55 | 63 |
Nмин, мг N/л | 0,3 / 0,45 | 1,1 / 0,5 | 0,82 |
O₂, мг/л | 9,3 / 12,5 | 8,3 / 9,6 | 6,63 |
ХПК, мг O₂/л | 23,7 / 32,1 | 21,0 / 32,7 | 42,6 |
БПК₅, мг O₂/л | 1,3 / 0,81 | 0,5 / 0,77 | 1,36 |
Примечание. * – приведены диапазоны изменений среднегодовых показателей, прочерк означает отсутствие данных.
Результаты исследования
Обобщение собственных результатов и литературных данных [19; 25–27] продемонстрировало богатый совокупный для изученных рек видовой состав водорослей, насчитывающий 746 (826 видов и внутривидовых таксонов – в.в.т.), принадлежащих к 250 родам, 54 порядкам, 17 классами 8 отделам.
По числу видов доминировали диатомовые (225 видов, 236 в.в.т., включая номенклатурный тип вида), зеленые (216 видов, 233 в.в.т.) и эвгленовые (75 видов, 107 в.в.т.), что составляло 73,3% общего видового богатства. Вклад других отделов в формирование альгофлоры планктона менее значим. В р. Вишня состав ведущих отделов оказался схожим, при лидировании во флористическом списке диатомей (более трети списка). В целом альгофлору исследованных водотоков можно охарактеризовать как диатомово-зелено-эвгленовую, что является характерной особенностью рек умеренных широт северного полушария [27–30].
В альгофлоре более протяженных рек соотношение зеленых (29,6–32,8%), диатомовых (30,6–31,2%) и эвгленовых (12,1–12,6%) было почти одинаковым с незначительным преимуществом первых Ветлуге, а вторых в Керженце. Для этого водотока заметнее других выражено участие конъюгат (Charophyta – 8,1% состава ее альгофлоры). Отделы Ochrophyta (10,3% и 8,0% соответственно) и Cyanophyta (по 6,5%) представлены беднее, на долю остальных групп приходилось менее 5% списка видов. Р. Вишня отличалась более высокой долей диатомей (33,9%) и разнообразием эвгленовых водорослей (21,2%), зеленые занимали лишь третью позицию (19,8%). Весьма существенным здесь оказался вклад харофитовых водорослей (Conjugatophyceae – 10%) – типичных обитателей болот и водоемов с заболоченным водосбором.
К ведущим порядкам (в сумме 67,6% обобщенного списка) отнесены: Sphaeropleales – 106 видов (121 в.в.т.), Euglenales – 84 (122), – 62 (63) (ранее Chlorellales вместе с Sphaeropleales объединяли в порядке Chlorococcales), Naviculales – 57 (63), Desmidiales – 53 (60), Chlamydomonadales – 35 (37), Chromulinales – 33 (36), Cymbellales – 27 и Eunotiales – 21 (23). Среди десяти ведущих родов (из Bacillariophyta – 3 рода, Chlorophyta – 2, Euglenozoa – 3, Charophyta – 2) стабильно ведущее положение занимал Trachelomanas, что может быть характерной чертой изученной альгофлоры. В р. Ветлуге ведущее положение родов Scenedesmus и Desmodesmus в совокупности с заметной представленностью родов Navicula и Nitzschia отразили особенности гидрохимического состава вод, связанные с большой нагрузкой биогенами, минерализацией и наибольшей среди изученных водотоков pH вод. Для рек Керженец и Вишня характерным оказалось высокое ранговое положение родов Closterium (4,2 и 6,4% от общего числа видов) и Eunotia (р. Вишня – 15%), что, по-видимому, отразило несколько большую заболоченность их водосборной территории.
Основу флористического списка всех рек составляли планктонные виды (41,3% – в р. Керженец, 41,9% в р. Ветлуге и 35,7% в р. Вишне), доля обитателей прибрежно-мелководной зоны закономерно возрастала (с 14,3 до 23,9%) с уменьшением протяженности водотока. Менее представлены в общих списках водорослей отдельных рек компоненты населения бентали (9,7–11,2%) и обрастатели различных субстратов (4,2–4,7%). Основная часть водорослей является космополитами (73,2–76,4%), бореальные (2,7–3,4) и северо-альпийские (1,3–2,0) представлены небогато, субтропические – единичны.
По отношению к содержанию ионов натрия и хлора в воде отмечено преобладание олигогалобов-индифферентов (37,3–39,8%) и олигогалобов-галофилов (5,1–14,3%). Доля олигогалобов-галофобов менее 5%, за исключением р. Вишня (7,4). Среди состава индикаторов рН вод господствовали индифференты (37,0–38,5%) и алкалифилы (от 15,5 до 18,7%).
Больше половины обнаруженных видов водорослей (до 69,3% в р. Вишне) отнесены к показателям сапробности воды. Среди них преобладали индикаторы β-мезосапробной степени органического загрязнения (87–156 в.в.т.), достаточно разнообразны представители более чистых вод – олигосапробы, о-β- и β-о-мезосапробы – 124 (20,2%), 109 (19,3%) и 86 (28,9%) соответственно. Индикаторов повышенного загрязнения (α-мезосапробов, α-β- и β-α-мезосапробов) много меньше (в совокупности 16,7%).
Периодичность развития фитопланктона является важной составляющей его многолетней сукцессии, которая в водоемах умеренной зоны определяется последовательной сменой гидролого-климатических фаз [27; 31]. Сезонная сукцессия фитопланктона характеризовалась одним-тремя подъемами численности и двумя-тремя пиками биомассы (1980-е годы) и одним-тремя (численность) и тремя (биомасса) в начале XXI века, с наибольшими показателями, как правило, весной, летом и осенью. В отдельные годы динамика количественных показателей аппроксимировалась многовершинной кривой (рис. 2, 3).
Рисунок 2 – Динамика численности и биомассы фитопланктона р. Керженец в разные годы исследования
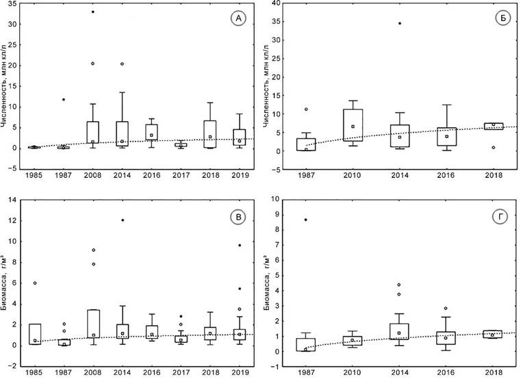
Рисунок 3 – Динамика численности и биомассы фитопланткона р. Ветлуга (А, Б) и р. Вишня (В, Г) в разные годы исследования
Основу обилия фитопланктона в реках большей протяженности создавали зеленые (виды Thoracomonas, Chlamydomonas, диатомовые (Melosira varians Ag., Aulacoseira granulata (Ehr.) Simonsen, A. subarctica (O. Müll.) E.Y. How., A. ambigua (Grun.) Simonsen, мелкие одноклеточные Centrophyceae, Ulnaria ulna (Nitzsch) Compѐre, бентосные виды родов Navicula, Nitzschia, Surirella, Amphora и др.), эвгленовые, реже динофитовые (по биомассе) и золотистые. После аномально жаркого 2010 г. в р. Ветлуге усилилось развитие цианопрокариот (Dolichospermum affine (Lemm.) Wacklin et al., D. spiroides (Kleb.) Wacklin et al. – до 2,75 г/м³, 62,9% общей биомассы) и в обеих реках – динофитовых (Gymnodinium spp., Peridinium spp., Unruhdinium kevei (Grigorszky & F. Vasas) Gottschling in Gottschling & al. и др. – до 70% биомассы в период максимального прогрева воды). Отмеченные с заметным обилием в 1980-х гг. Thoracomonas irregularis Korshikov (подледная вегетация до 1,2 г/м³) и Goniostomum semen (Ehrenberg) Diesing (летом до 6,0 г/м³) современный период либо не развиваются (первый), либо постоянно встречаются в незначительном количестве (второй).
В р. Вишня при низких показателях обилия вегетировали те же группы водорослей с заметно большей представленностью эвгленовых (биомасса более 80% общей, главным образом, различных видов Euglena, Trachelomonas и Phacus), десмидиевых (Closterium spp.), зигнемовых (Spirogyra sp.) и жгутиковых форм из динофлагеллят (Gymnodinium sp.).
Современный период сукцессии фитопланктона рек характеризовался очень богатым составом доминирующих видов альгоценозов, количество которых в летний сезон превышало пять десятков, перечень – участием водорослей всех отделов за редким исключением и значительной межгодовой изменчивостью даже на одной станции. В основном преобладали полидоминантные сообщества, олигодоминантные отмечались много реже, монодоминантные единичны. Кроме того, в составе фитопланктона и массовых видов сообществ постоянно обнаруживались водоросли, считающиеся инвазийными: Goniostomum semen, Unruhdinium kevei, Thalassiosira incerta Makar. и Plagiotropis lepidoptera (Greg.) Küntze, что подтверждает их постепенную натурализацию.
Показатели обилия фитопланктона исследованных рек свойственны водоемам низкой или средней продуктивности и имели тенденцию к слабо выраженному росту от 1980-х годов к настоящему времени (рис. 4). Осредненные за безледный период значения биомассы альгоценозов рек Керженец и Ветлуга в их среднем течении в 1980-х гг. колебались от 0,44 до 1,43 г/м³, в первой четверти XXI века – от 0,74 до 2,60 г/м³. При этом в устьевых участках рек обилие фитопланктона было заметно выше (биомасса летнего фитопланктона р. Керженец достигала 11,3 г/м³, в р. Ветлуге – до 12,4 г/м³), особенно после создания Чебоксарского водохранилища [5]. Р. Вишня в связи с незначительной протяженностью и расходом воды более низкими значениями pH и высокой цветностью вод характеризовалась наименьшими показателями развития планктонных водорослей, свойственными водоемам олиготрофного типа (в среднем за вегетационный период 0,15–0,31 г/м³).
Рисунок 4 – Межгодовая динамика средней численности (А, Б) и биомассы (В, Г) фитопланктона рек Керженец (А, В) и Ветлуга (Б, Г)
Обсуждение результатов
Исследованные водотоки характеризовались значительным общим видовым богатством фитопланктона (826 видов и в.в.т.), претерпевшим за пятидесятилетний период заметную трансформацию. При небольшом отличии этого показателя в более крупных реках (р. Керженец – 613 в.в.т., Ветлуга – 564) удельные характеристики разнообразия (число видов на пробу) имели явную тенденцию к снижению от 44,4 ± 1,74 до 22,7 ± 2,02 с уменьшением длины и водности водотока, а также определялись показателями pH и повышением цветности вод. В малой реке с высокими цветностью вод (до 212° Pt-Co) и содержанием железа (максимальные значения до 4,64 мг/л в отдельные годы) (р. Вишня), альгофлора при ее меньшем видовом богатстве (297 в.в.т.) отличалась разнообразием диатомей (более трети) и эвгленовых водорослей (более четверти состава). В целом альгофлора водотоков характеризуется как диатомово-зелено-эвгленовая, что свойственно многим рекам умеренных широт северного полушария [7; 28–30].
Характерная черта альгофлоры водотоков левобережного Заволжья – стабильно ведущее положение рода Trachelomanas в перечне ведущих родов. В р. Ветлуга три первых ранговых места занимали Trachelomonas (6,3%), Scenedesmus (4,2%) и Navicula (3,2%), в р. Керженец на второй позиции оказался род Closterium (4,2), оттесняя Scenedesmus (3,1%) на третью. В р. Вишня при снижении общего видового богатства фитопланктона закономерно усиление доли представителей рода Trachelomonas при повышенных значениях цветности воды и заметное снижение разнообразия видов рода Scenedesmus. Ранее для Средней Волги показано снижение значимости родов Navicula и Nitzschia в формировании альгофлор водных объектов, имеющих заболоченный водосбор [27].
Наибольшую степень сходства имел видовой состав фитопланктона рек Ветлуга и Керженец (0,58) и Керженца и Вишни (0,46), более существенные отличия обнаружены в флористических списках Ветлуги и Вишни (0,39), что определяется размерами водотоков и особенностями водосборной территории. Использование индекса биотической дисперсии Коха для выявления степени гомогенности сообществ показало, что при относительно однородном характере водосборного бассейна сообщества водорослей исследуемых водотоков отличались достаточно высокой гетерогенностью состава (IBD – 0,33).
Сравнение флористических списков, полученных для 1970-х – 1990-х и 2000–2019 гг. для рек Керженец и Ветлуга показало, что их альгофлора претерпела значительные изменения (Ks = 0,48 и 0,40 соответственно) при возрастании сходства общих списков (Ks = 0,67), полученных для 2000–2019 гг. Установлена тенденция снижения общего числа видов и в.в.т. (на 7,5%), видов (на 9,6%), родов (15,4%) и порядков (17%) и упрощение таксономической структуры альгофлоры.
Максимальные изменения в составе фитопланктона р. Ветлуги отмечены в отделах Charophyta (Ks = 0,22), Cryptophyta (соответственно 0,3) и Miozoa (0,44); в р. Керженец – в отделах Charophyta (0,1), Ochrophyta (0,32) и Euglenozoa (0,38). На наш взгляд, это однозначно определяется макроклиматическими изменениями и антропогенным влиянием (эвтрофирование), прежде всего отразившимися на составе альгоценозов. Параллельно установленным изменениям в речных водах наблюдается тенденция роста рН, минерализации, содержания двухвалентных ионов и гидрокарбонатов (в р. Керженце), кислорода и концентрации трудно минерализуемых органических веществ (ХПК) при некотором снижении количества сульфатов и в р. Керженец хлоридов. Эти тенденции, вероятно, связаны с теми же причинами, что и динамика видового состава.
В 1980-х гг. численность и биомасса фитопланктона были низкими, чаще на уровне олиготрофных, реже слабо мезотрофных водоемов, в начале XX в. выросли до уровня мезотрофных, а в устьевых участках, ставших после 1980 г. отрогами Чебоксарского водохранилища – мезотрофно-эвтрофных. При этом после аномально жаркого 2010 г. в р. Ветлуга усилилось летнее развитие цианопрокариот и в обеих реках – динофитовых водорослей. Межгодовые изменения значений биомассы Вишни соответствовали классу олиготрофных вод, несмотря на достаточное содержание фосфора в них. Слабое развитие фитопланктона при этом обусловлено недоступностью фосфора, связанного с гуминовыми соединениями в слабо усвояемые комплексы [32].
Отношение биомассы фитопланктона к его численности отражает особенности размерной структуры альгоценозов и косвенно может служить показателем типа отбора и направленности его изменений. В малой реке с полигумозными слабокислыми водами средний ценотический объем клетки фитопланктера оказался в 1,84 раза больше, чем в средней с более низкими значениями цветности и слабокислыми-олигонейтральными водами и в 4,96 раз больше, чем в большой с малоцветными олигонейтральными водами. Это отражает тенденцию смены типа отбора с K-отбора в р. Вишня к r-отбору в р. Ветлуга. Кроме того, в пятидесятилетнем ряду исследований установлена тенденция измельчания фитопланктона: в р. Керженец – в 3,58 раз, в р. Ветлуга – в 2,5 раза, что отражает совокупное воздействие эвтрофирования и потепления климата и наряду с другими структурными показателями может служить индикатором происходящих изменений.
Несмотря на упрощение таксономической структуры фитопланктона, в реках четко проявилась тенденция к росту разнообразия состава преобладающих видов альгоценозов, в основном для летнего сезона, характеризующегося полидоминантными сообществами. В современный период этот структурный показатель отличался значительной межгодовой изменчивостью, наряду со снижением сходства общего видового состава альгофлор отдельных рек.
На фоне определенного роста (в 1,35–1,56 раз) концентрации трудно минерализуемого органического вещества (по ХПК) в воде обеих рек доля легко окисляемой бактериями органики (по БПК₅) в общем пуле органического вещества в р. Керженец за 50 лет почти не изменилась, а в р. Ветлуга снизилась более, чем в 2 раза. При этом сапробиологический анализ показал, что во все периоды исследований в водотоках качество вод соответствовало уровню умеренно загрязненных (III класс качества) [33].
Заключение
Совокупный состав альгофлоры изученных рек оказался богатым (826 видов и внутривидовых таксонов), альгофлора характеризовалась как диатомово-зелено-эвгленовая, что свойственно водотокам южнотаежной зоны. При этом видовое богатство отдельной взятой реки (Керженец – 613 в.в.т., Ветлуга – 564, Вишня – 297) оказалось в 1,35–2,78 раз ниже совокупного, что отразило своеобразие флорогенеза в каждой из них.
Макроклиматические изменения и динамика антропогенного влияния в бассейне Средней Волги, отразившиеся на гидрохимических свойствах вод левобережных притоков, вызвали мощную перестройку таксономического состава фитопланктона, упрощение его структуры и достоверный рост количественных показателей альгоценозов с преимущественным ростом их численности, что косвенно свидетельствует об измельчании клеток водорослей (r-отбор).
За пятьдесят лет состав альгофлор отдельных водотоков поменялся более чем наполовину, особенно заметно у конъюгат (харовые), криптофитовых, динофлагеллят, охрофитовых и эвгленовых. При этом, несмотря на относительно однородный характер водосборного бассейна, сообщества водорослей исследуемых водотоков отличались достаточно высокой гетерогенностью состава (IBD 0,33).
Уровень количественных показателей альгоценозов за пятьдесят лет возрос от олиготрофного до олиготрофно-мезотрофного, а в устьевых участках, оказавшихся после затопления Чебоксарского водохранилища на его территории, – до мезотрофно-эвтрофного. При этом в них преимущество получили лимнофильные элементы фитопланктона (диатомые и синезеленые), вызывающие периодически весенние и летние «цветения» воды. Потепление климата привело после аномально жаркого 2010 г. к усилению вегетации в среднем течении рек диазотрофных синезеленых (виды рода Dolichospermum) и динофитовых (Unruhdinium, Peridinium, Gymnodinium) водорослей, чего не наблюдалось ранее.
В последние десятилетия в исследованных реках активно проходит процесс натурализации не только планктонных инвазийных видов водорослей (Goniostomum semen, Unruhdinium kevei), но и представителей солоновато-водных бентосных сообществ (Plagiotropis lepidoptera), в условиях речной гидродинамики отмечающихся и в планктонных альгоценозах.
Установленные изменения структурных показателей фитопланктона еще раз подтверждают наличие в конце XX – начале XXI века мощнейших перестроек этого наиболее значимого компонента биоты системы боковой приточности р. Волги и подчеркивают дальнейшую необходимость его изучения с целью прогнозирования возможных негативных последствий.
About the authors
Pavel Vladimirovich Kulizin
National Research Lobachevsky State University of Nizhny Novgorod
Email: kulizinpavel@yandex.ru
postgraduate student of Botany and Zoology Department, junior researcher of Botany and Zoology Department
Russian Federation, Nizhny NovgorodEkaterina Leonidovna Vodeneeva
National Research Lobachevsky State University of Nizhny Novgorod; Nizhny Novgorod Branch of Russian Research Institute of Fisheries and Oceanography
Email: vodeneeva@mail.ru
candidate of biological sciences, associate professor of Botany and Zoology Department; junior researcher
Russian Federation, Nizhny Novgorod; Nizhny NovgorodAlexander Gennadievich Okhapkin
National Research Lobachevsky State University of Nizhny Novgorod
Author for correspondence.
Email: okhapkin@bio.unn.ru
doctor of biological sciences, professor, head of Botany and Zoology Department
Russian Federation, Nizhny NovgorodReferences
- Волга и ее жизнь. Л.: Наука, 1978. 348 с.
- Climate change 2007: the physical science basis: contribution of Working Group I to the Fourth Assessment Report of the Intergovernmental Panel on Climate Change. Cambridge, United Kingdom and New York: Cambridge, 2007. 996 p.
- Груза Г.В., Мещерская А.В., Алексеев Г.В., Анисимов О.А. и др. Изменения климата России за период инструментальных наблюдений // Оценочный доклад об изменениях климата и их последствиях на территории Российской Федерации. Т. 1. Изменения климата. М.: Росгидромет, 2008. С. 31–87.
- Корнева Л.Г. Фитопланктон водохранилищ бассейна Волги / под ред. А.И. Копылова. Кострома: Костромской печатный дом, 2015. 283 с.
- Охапкин А.Г. Фитопланктон Чебоксарского водохранилища. Тольятти: Самарский научный центр РАН, 1994. 275 с.
- Герасимова Н.А. Фитопланктон Саратовского и Волгоградского водохранилищ. Тольятти: ИЭВБ РАН, 1996. 200 с.
- Охапкин А.Г., Микульчик И.А., Корнева Л.Г., Минеева Н.М. Фитопланктон Горьковского водохранилища. Тольятти, 1997. 224 с.
- Корнева Л.Г., Минеева Н.М., Елизарова В.А., Пырина И.Л., Сигарева А.Е., Генкал С.И., Митропольская И.В., Литвинов И.С., Шарапова Н.А. Экология фитопланктона Рыбинского водохранилища. Тольятти: ИЭВБ РАН, 1999. 264 с.
- Экологические проблемы Верхней Волги. Ярославль: Изд-во Ярослав. гос. тех. ун-та, 2001. 427 с.
- Генкал С.И., Охапкин А.Г. Диатомовые водоросли (класс Centrophyceae) в фитопланктоне Камских водохранилищ // Поволжский экологический журнал. 2010. № 3. С. 254–262.
- Тарасова Н.Г., Буркова Т.Н. Фитопланктон реки Камы и ее притоков // Экология малых рек в XXI веке: биоразнообразие, глобальные изменения и восстановление экосистем: тез. докл. всерос. конф. с междунар. уч. (г. Тольятти, 5–8 сентября 2011 г.) / отв. ред. Т.Д. Зинченко, Г.С. Розенберг. Тольятти: Кассандра, 2011. С. 162.
- Тарасова Н.Г., Буркова Т.Н. Альгофлора планктона бассейна реки Цивиль в летнюю межень 2013 г. // Известия Самарского научного центра Российской академии наук. 2013. Т. 15, № 3 (7). С. 2263–2267.
- Охапкин А.Г., Горохова О.Г., Генкал С.И., Паутова В.Н. К альгофлоре нижнего течения реки Ока // Ботанический журнал. 2010. Т. 95, № 10. С. 1422–1436.
- Охапкин А.Г., Максимова В.А., Шарагина Е.М., Воденеева Е.Л., Андриянова Н.В. Динамика гидрохимического состава вод нижнего течения р. Оки // Вода: химия и экология. 2015. № 5. С. 15–21.
- Паутова В.Н., Охапкин А.Г., Горохова О.Г., Генкал С.И., Номоконова В.И. Состав и динамика обилия массовых видов фитопланктона низовьев р. Ока в конце XX столетия // Известия Самарского научного центра Российской академии наук. 2013. Т. 15, № 3. С. 177–184.
- Воденеева Е.Л., Охапкин А.Г., Лебедева М.В. Оценка состояния экосистемы р. Пьяны (Нижегородская область) по фитопланктону // Вестник Нижегородского университета им. Н.И. Лобачевского. 2010. № 2 (2). С. 388–395.
- Горохова О.Г., Зинченко Т.Д. Фитопланктон равнинной р. Уса и её притоков (бассейн Куйбышевского водохранилища) // Поволжский экологический журнал. 2018. № 4. С. 391–403.
- Методика изучения биогеоценозов внутренних водоемов / под ред. Ф.Д. Мордухай-Болтовского. М.: Наука, 1975. 239 с.
- Воденеева Е.Л. Динамика биомассы и доминирующие виды фитопланктона водных объектов заповедника «Керженский» // Труды ГПБЗ «Керженский». Т. 3. Нижний Новгород, 2006. С. 46–57.
- Воденеева Е.Л., Кулизин П.В., Охапкин А.Г. О развитии инвазийного вида Peridiniopsis kevei Grigor. et Vasas (Dinophyta) в среднем течении р. Керженец (Нижегородская область) // Труды ГПБЗ «Керженский». Т. 8. Нижний Новгород, 2016. С. 68–75.
- Guiry M.D., Guiry G.M. AlgaeBase. World-wide electronic publication, National University of Ireland, Galway [Internet] // https://www.algaebase.org.
- Koch L.F. Index of biotaldispersity // Ecology. 1957. Vol. 38, № 1. P. 145–148.
- Природа Горьковской области. Горький: Волго-Вятское кн. изд-во, 1974. С. 126–179.
- Охапкин А.Г., Воденеева Е.Л., Юлова Г.А. Фитопланктон водоемов заповедника «Керженский» (Нижегородская область) // Ботанический журнал. 2004. Т. 89, № 8. С. 1264–1275.
- Юлова Г.А. Фитопланктон р. Волги от Городца до Чебоксар: дис. … канд. биол. наук. Горький, 1981. 288 с.
- Юлова Г.А. Водоросли водоемов Керженского заповедника // Труды ГПЗ «Керженский». Т. 1. Нижний Новгород, 2001. С. 172–213.
- Охапкин А.Г. Структура и сукцессия фитопланктона при зарегулировании речного стока (на примере р. Волги и её притоков): дис. … д-ра биол. наук. СПб., 1997. 280 с.
- Корнева Л.Г. Формирование фитопланктона водоемов бассейна Волги под влиянием природных и антропогенных факторов: автореф. дис. … д-ра биол. наук. Борок, 2009. 434 с.
- Габышев В.А. Фитопланктон крупных рек Якутии и сопредельных территорий Восточной Сибири: автореф. дис. … канд. биол. наук. М., 2015. 46 с.
- Афонина Е.А. Структура и динамика фитопланктона реки Великой: дис. … канд. биол. наук. СПб., 2015. 168 с.
- Корнева Л.Г. Альгофлора планктона водохранилищ волжского бассейна // Ботанический журнал. 2008. Т. 93, № 11. С. 1673–1690.
- Лазарева В.И., Степанова И.К., Комов В.Т. Органическое вещество и особенности распределения биогенных элементов в болотных озерах, подверженных антропогенному закислению: азот и фосфор // Биология внутренних вод. 2000. № 1. С. 118–124.
- Кулизин П.В., Воденеева Е.Л., Охапкин А.Г. Опыт использования функциональной классификации фитопланктона для оценки качества воды некоторых левобережных притоков р. Волги (бассейн Чебоксарского водохранилища) // Принципы экологии. 2020. № 2. С. 48–59.
Supplementary files






