Ontogenetic changes in the mechanical stability of the main species of woody plants in the ecosystems of the city of Donetsk
- Authors: Kornienko V.O.1, Yaitsky A.S.2
-
Affiliations:
- Donetsk State University
- Samara State University of Social Sciences and Education
- Issue: Vol 13, No 1 (2024)
- Pages: 30-38
- Section: Biological Sciences
- URL: https://snv63.ru/2309-4370/article/view/635532
- DOI: https://doi.org/10.55355/snv2024131104
- ID: 635532
Cite item
Full Text
Abstract
The paper considers the issues of ontogenetic changes in the mechanical stability of 18 species of woody plants growing in the ecosystems of the industrial city of Donetsk: Acer campestre L., Acer negundo L., Acer platanoides L., Acer pseudoplatanus L., Acer saccharinum L., Aesculus hippocastanum L., Betula pendula Roth, Fraxinus excelsior L., Fraxinus lanceolata Borkh., Gleditsia triacanthos L., Populus simonii Carriere, Populus nigra L., Populus balsamifera L., Populus bolleana Lauche, Quercus robur L., Robinia pseudoacacia L., Tilia cordata Mill., Ulmus laevis Pall. It has been established that at the initial stages of the ontogenesis of woody plants, their biomechanics ensures survival through high flexibility. This is due to the low critical mass and load, which are easily achieved when static and dynamic factors act on the plant. Only a significant increase in linear dimensions makes it possible to maintain its own mass weighing several tons and above, as well as withstand the effects of adverse climatic factors. The studied ontogenetic dependences of the mechanical stability of the main species of woody plants in the ecosystems of the city of Donetsk should be used in landscaping the city.
Full Text
Введение
Вопросам онтогенеза механической устойчивости древесных растений к действию экологических факторов при различных условиях произрастания посвящено не так много работ, и в последние годы, в связи с изменением климата в регионах, данные исследования приобретают всё большую актуальность [1–5]. Выделяют несколько видов нагрузок – динамические (влияние ветра), статические (оледенение побегов и стволов, налипание снега и др.), а также комбинация этих факторов при действии ледяных и снежных бурь [6].
В процессе эволюции у древесных растений сформировались адаптивные механизмы роста, которые помогают деревьям справляться с механическими нагрузками в процессе их развития. Большое внимание уделяется вопросам постурального контроля и гравитропизму растений – активному процессу переориентации, позволяющему удерживать дерево в вертикальном положении и тем самым минимизировать влияние действующей массы [7–9]. Другими ключевыми адаптивными механизмами являются тигмоморфогенез [10] и тигмотропизм [11]. Они регулируют рост камбиальных клеток, повышая устойчивость и уменьшая воздействие механических нагрузок. Деревья также демонстрируют пассивные механизмы (например, демпфирование ветвей [12]), которые позволяют рассеивать кинетическую энергию при действии ветра в условиях раскачивающегося дерева, тем самым снижая нагрузку на растение. Пассивные механизмы определяют архитектонику кроны (геометрическую и топологическую конфигурацию системы ветвей), которая играет важную роль в сохранении целостности живой системы. Вклад всех этих механизмов имеет важное значение для обеспечения устойчивости деревьев.
Многие авторы отмечают, что риск повреждения древесных растений от ветровых нагрузок зависит от возрастного класса, к которому они принадлежат [2; 3]. D. Sellier и S. Suzuki установили, что для хвойных деревьев риск потери механической устойчивости под действием динамических нагрузок резко возрастает в 20 лет, переходит в область критических значений в 25 лет (~30 МПа) и выходит на пик при значении 40 лет (~45 МПа) [3]. Вероятность вывала старовозрастных деревьев в возрасте более 50 лет при этом остается высокой, а нагрузки, действующие на ствол дерева, лежат в области критических (отношение напряжения в стволе к модулю разрыва тканей >1,0).
Ожидается, что в ближайшем будущем изменение климатических условий приведет к возрастанию экстремальных факторов (сильные порывы ветра, бури, ураганы), поэтому изучение поведения и механизмов древесных растений в ответ на действие природно-климатических факторов, в том числе экстремальных, является актуальной задачей [13–15].
Цель работы: исследовать и спрогнозировать возрастные закономерности изменения механической устойчивости основных видов древесных растений, представленных в экосистемах промышленных городов юга Восточно-Европейской равнины (на примере г. Донецка).
Материалы и методы
Объект исследования
В работе исследовали 18 видов древесных растений, которые превышают 1% встречаемости в экосистемах промышленного города Донецка: Acer campestre L., Acer negundo L., Acer platanoides L., Acer pseudoplatanus L., Acer saccharinum L., Aesculus hippocastanum L., Betula pendula Roth, Fraxinus excelsior L., Fraxinus lanceolata Borkh., Gleditsia triacanthos L., Populus simonii Carriere, Populus nigra L., Populus balsamifera L., Populus bolleana Lauche, Quercus robur L., Robinia pseudoacacia L., Tilia cordata Mill., Ulmus laevis Pall.
Территория исследований
Объекты исследования первой группы (экспериментальной) произрастали в условиях антропогенных нагрузок вдоль 30 крупных автомагистралей: пр. Павших Коммунаров, ул. Челюскинцев, ул. Артема, бул. Шевченко, ул. Красноармейская, ул. Университетская, ул. Петровского, ул. 50-летия СССР, ул. Щорса, пр. Ильича, ул. Светлого Пути, ул. Горького, ул. Кобзева, пр. Маяковского, пр. Ленинский, ул. Постышева, пл. Конституции, ул. Ткаченко, пр. Киевский, пл. Бакинских Комиссаров, пр. Дзержинского, ул. Б. Магистральная, ул. Пухова (мкр-н Боссе), пр. Комсомольский, ул. Р. Люксембург, ул. Ватутина, пл. Буденного, бул. Пушкина (пересечения с основными автомагистралями), ул. Куйбышева, пр. Мира.
Сбор материала по объектам исследования второй группы (контрольной) производили в условиях дендрария Донецкого ботанического сада, парковых зон Донецка, а также жилых кварталов, удаленных от действия антропогенных факторов.
Методика проведения исследований
Оценку жизнеспособности проводили согласно интегральной шкале В.А. Алексеева [16], где 1 балл – здоровое дерево без повреждений кроны и ствола; 2 балла – ослабленное дерево, наблюдалось изреживание скелетной части кроны, её густоты, а также наличие 30% мертвых или усыхающих ветвей в верхней половине кроны (контроль – нет; эксперимент 59% (10 деревьев)); 3 балла – сильно ослабленное дерево, наблюдали изреживание скелетной части кроны, наличие 60% мертвых и (или) усыхающих ветвей в верхней половине кроны, отмирание верхушки кроны (не наблюдался на исследованных территориях); 4 балла – отмирающее дерево, крона разрушена, её густота – не менее 15–20% по сравнению со здоровой, 70% ветвей, в том числе в верхней половине, сухие или бледно-зелёного, желтоватого, оранжево-красного цвета, в комлевой и средней части ствола возможны признаки заселения стволовыми вредителями (не наблюдался на исследованных территориях); 5 баллов – сухостой (не наблюдался на исследованных территориях).
Результаты визуального осмотра исследуемых древесных растений фиксировались с помощью фотоаппарата, дальнейшую обработку и анализ изображений проводили в программе AxioVision Rel. 4.8 с учетом эталонной мерки. Диаметр ствола измеряли мерной вилкой.
Расчет сопротивления древесного ствола растения или его скелетных ветвей изгибу, при действии динамических или статических нагрузок проводили по следующей формуле [17]:
Сопротивление изгибу = EI,
где E – модуль упругости тканей живой древесины, Н × м²; I – второй момент сечения, который равен πr⁴/4 (r – радиус ствола, м).
Результаты и обсуждения
В условиях городской среды крупных промышленных городов, в которых антропогенное влияние факторов действует на биоценозы постоянно во времени [18], оценка онтогенетических особенностей их компонентов (древесных растений) играет важную роль при понимании функционирования и устойчивости экосистем [19; 20].
Проведя оценку онтогенетических изменений механической устойчивости основных видов древесных растений в экосистемах города Донецка, установили, что возрастные зависимости сопротивления на изгиб и отношения морфометрического маркера (d/l) имеют сложную структуру.
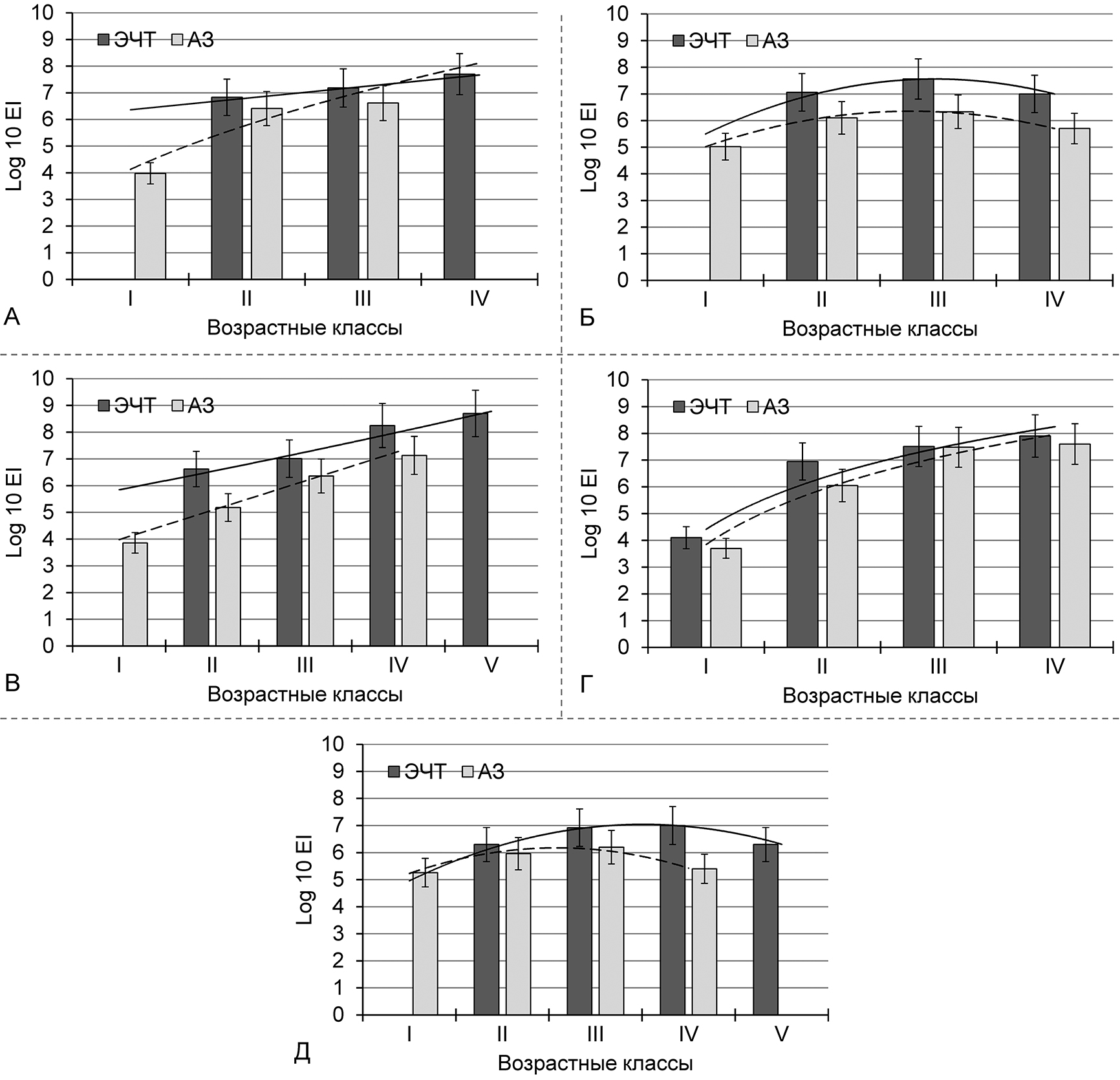
Минимальная устойчивость характерна для I и II (5–25 лет) классов возрастных состояний, когда наблюдается несоответствие между действующими на дерево нагрузками и его размерами (рис. 1).
Рисунок 1 – Отношение жесткости на изгиб (EI) стволов деревьев некоторых видов рода Acer L. (А – Acer campestre L., Б – Acer negundo L., В – Acer platanoides L., Г – Acer pseudoplatanus L., Д – Acer saccarinum L.) для разных возрастных классов. Примечания (для рисунков 1, 3–9): ЭЧТ – деревья произрастают на экологически чистой территории (линия тренда – сплошная линия), АЗ – деревья произрастают в условиях антропогенного загрязнения (линия тренда – пунктирная линия); возрастные классы: I – возраст растений 5–15 лет, II – возраст растений 16–25 лет, III – возраст растений 26–55 лет, IV – возраст растений 56–75 лет, V – возраст растений 76–100 лет, VI – возраст растений более 100 лет
Также с учетом того, что в условиях антропогенной нагрузки снижается прочность древесины за счет изменения физико-механических свойств древесины, сезонных изменений температуры, а также повреждения дерева разрушающими грибами, морозами и т.д., растения, произрастающие в условиях города, дополнительно подвержены снижению жизнеспособности и устойчивости к действию природно-климатических факторов.
Для растений рода Acer L. – Acer campestre L., Acer platanoides L. и Acer pseudoplatanus L. (рис. 1: А, В, Г) наибольшая устойчивость характерна в возрастном диапазоне 5–55 лет (I–III возрастные классы). Причем клен остролистный подвержен наибольшим напряжениям в возрасте до 25 лет и имеет адаптации, связанные с большей гибкостью, чем жесткостью, а при достижении спелости механизм изменяется, и растения сопротивляются изгибам, вызванным динамическими нагрузками. Общей тенденцией прочности ствола и скелетных ветвей является закономерное возрастание пропорционально приложенным нагрузкам с возрастом. Однако для некоторых видов (Acer negundo L. и Acer saccharinum L.) наблюдается снижение механических параметров в связи с повреждениями древесины разрушающими грибами (в том числе развитие ядровой гнили), морозами и т.д. и наличию колоколообразной кривой после достижения ими 50 лет и более (рис. 1: Б, Д; рис. 2). Как отмечают некоторые авторы, многочисленные инвентаризации ущерба от природно-климатических факторов свидетельствуют о наличии такой кривой и для хвойных независимо от региона [21–23].
Рисунок 2 – Потеря механической устойчивости после ветровала для Acer negundo L., достигшего критического возраста в условиях городской среды (фотография В.О. Корниенко, 2018 г.)
Значения, рассчитанные для территории с антропогенным загрязнением для явора, практически неотличимы от деревьев, произрастающих в условиях контроля.
Виды рода Populus L. – тополь чёрный, тополь Болле и тополь бальзамический показали высокие значения жесткости на изгиб в зависимости от возрастного класса (рис. 3: А–Г). Тополь чёрный в условиях относительного контроля доживает до 100 и более лет (рис. 3: Б). С увеличением возраста механическая устойчивость возрастает, и с учетом высокого показателя жизнеспособности вид при надлежащем уходе может использоваться при планировочных решениях озеленения городской среды. Раскидистая форма может использоваться в парковых зонах, при наличии достаточного пространства, а пирамидальная форма тополя чёрного – в линейных насаждениях. Тополь Болле также целесообразно использовать при озеленении городской среды и в дальнейшем. Снижение механической устойчивости деревьев после достижения критического возраста (в связи с появлением скрытых гнилей в стволе растения, нарушения корневой системы при ведении строительных работ) не дает основания для исключения вида из зеленых насаждений крупных городов. Повысить механическую устойчивость старовозрастных деревьев можно путем обрезок (например, прореживания кроны). С учетом биомеханических показателей, рассчитанной возрастной зависимости механической устойчивости и при надлежащем уходе Populus L. и в дальнейшем должен оставаться доминантным родом в линейных насаждениях вдоль крупных автомагистралей промышленных городов.
Рисунок 3 – Отношение жесткости на изгиб (EI) стволов деревьев некоторых видов рода Populus L. (А – Populus simonii Carriere, Б – Populus nigra L., В – Populus balsamifera L., Г – Populus bolleana Lauche) для разных возрастных классов
В условиях Донецкого кряжа ясень обыкновенный является одним из основных видов степных байрачных лесов, а некоторые экземпляры, согласно изученным кернам, в условиях контроля достигают 100 и более лет [4]. Его возрастная зависимость механической устойчивости в условиях контроля имеет высокие показатели (Log 10 EI ≥ 9,7; рис. 4). При условии роста без конкуренции, в незатененных условиях вид до 45–55 лет (III класс) имеет хорошую жизнеспособность и не подвержен частым обломам скелетных ветвей или ствола в условиях автомагистралей при действии природно-климатических факторов. Редкие исключения облома зафиксированы при ледяных и снежных бурях для растений, у которых угол наклона уже был предельным.
Рисунок 4 – Сопротивление изгибу (EI) стволов деревьев некоторых видов рода Fraxinus L. (А – Fraxinus excelsior L., Б – Fraxinus lanceolata Borkh.) для разных возрастных классов
Fraxinus lanceolata Borkh. характеризуется также высокими показателями жесткости на изгиб. В условиях антропогенного загрязнения вид часто имеет недостаточно развитую корневую систему, поэтому при озеленении необходимо учитывать тип почв. F. lanceolata предпочитает плодородные, хорошо увлажняемые и дренированные почвы, также может произрастать на переувлажненных, а также песчаных почвах с ограниченным количеством доступной влаги. С возрастом наблюдается снижение механической устойчивости.
При озеленении крупных городов деревья Tilia cordata Mill. в последние 10 лет активно заменяют тополь Болле в насаждениях городов юга Восточно-Европейской равнины и даже Среднерусской возвышенности. По показателям параметра жесткости на изгиб, в возрасте 5–15 лет (I возрастной класс), деревья липы сердцелистной имеют наименьшее значение из всех изученных видов. Т.е. обладают наибольшей пластичностью/гибкостью к действию природно-климатических факторов (рис. 5).
Рисунок 5 – Деревья Tilia cordata Mill. в условиях г. Донецка: А – сопротивление изгибу стволов деревьев (EI) для разных возрастных классов; Б – центральная аллея Донецкого ботанического сада с участием Tilia cordata Mill. (фотография В.О. Корниенко, 2021 г.)
В связи с этим можно предположить, что деревьям Tilia cordata Mill. проще изогнуться под действием ветровых нагрузок (как стратегия для выживания), чем сопротивляться изгибу. Поэтому в большинстве случаев при действии, например, высокой положительной температуры наблюдается изменение архитектоники кроны в сторону более раскидистой. Аллея Tilia cordata Mill. Донецкого ботанического сада является ярким доказательством данного утверждения и расчётов (рис. 5: Б).
Произрастая в условиях антропогенного загрязнения, деревья имеют показатели EI меньше, чем в контроле, и тем самым являются более ослабленными к действию абиотических факторов.
Aesculus hippocastanum L. в Донецке – один из самых распространенных видов деревьев. В условиях региона он ветроустойчив, но физико-механические свойства его древесины невысокие (рис. 6: А). В условиях антропогенного загрязнения иногда происходит облом скелетных ветвей и даже ствола, в основном поврежденных и ослабленных дендрофильными насекомыми (рис. 6: Б, В). Для повышения механической устойчивости деревьев рекомендуется санитарная обрезка и повышение коэффициента d/l (отношения диаметра к длине).
Рисунок 6 – Деревья Aesculus hippocastanum L. в условиях г. Донецка: А – сопротивление изгибу стволов деревьев Aesculus hippocastanum L. для разных возрастных классов; Б – типичное повреждение ствола деревьев Aesculus hippocastanum L. независимо от условий произрастания – открытые морозобоины с признаками заселения вредителями, начало процесса развития ядровой гнили (фотография В.О. Корниенко, 2021 г.); В – типичное повреждение ствола деревьев Aesculus hippocastanum L. в виде закрытой радиальной трещины (заросшей), возникающее под действием циклических процессов заморозки/оттаивания (фотография В.О. Корниенко, 2024 г.)
Наибольшей механической устойчивостью из всех изученных видов обладают Quercus robur L. и Robinia pseudoacacia L. (рис. 7). Зависимость жесткости на изгиб для обоих видов при переходе из одного возрастного класса в другой непрерывно растет, даже у старовозрастных деревьев [24–26].
Рисунок 7 – Отношение жесткости на изгиб (EI) стволов деревьев Quercus robur L. (А) и Robinia pseudoacacia L. (Б) для разных возрастных классов
Растения достигают 100 и более лет в условиях контроля (Quercus robur L. Log 10 EI ≥ 10,0 и Robinia pseudoacacia L. Log 10 EI ≥ 9,3), в условиях антропогенного загрязнения в возрасте ~80 лет деревья имеют высокие показатели механической устойчивости к действию природно-климатических факторов. При высокой степени жизнеспособности растения изученных видов устойчивы к действию даже снежных и ледяных бурь. В последние годы в условиях высокой антропогенной нагрузки вдоль автомагистралей города Донецка старовозрастные деревья Robinia pseudoacacia f. globossum всё чаще выпадают в связи с достижением критического возраста. Растения теряют декоративные свойства, прекращается выполнение экологических функций, однако физико-механические свойства вида остаются высокими и стволы не падают бесконтрольно. Для дуба черешчатого возможно применение двух форм, в зависимости от условий и требований к территории: раскидистая и пирамидальная формы [27].
Gleditsia triacanthos L. и Ulmus laevis Pall. также имеют достаточную механическую устойчивость (рис. 8: А, Б), но с учетом хорошей жизнеспособности (для V возрастного класса Gleditsia triacanthos L. Log 10 EI ≥ 9,5 и Ulmus laevis Pall. Log 10 EI ≥ 9,1). Однако в условиях антропогенного загрязнения при действии ветровых нагрузок значение критической массы, способное удержать растение, снижается, что приводит к частому облому скелетных ветвей у вышеупомянутых видов.
Рисунок 8 – Отношение жесткости на изгиб (EI) стволов деревьев Gleditsia triacanthos L. (А) и Ulmus laevis Pall. (Б) для разных возрастных классов
После 50 лет следует обязательно проводить санитарные обрезки и оценку состояния растений [28]. Так, например, для гледичии трехколючковой характерна скрытая ядровая гниль в условиях подтопления территории или территории с повышенной влажностью почвы [29]. При этом деревья способны к вывалу с комлем при небольших нагрузках из-за повреждений корневой системы и снижении физико-механических свойств древесины. Для деревьев Ulmus laevis Pall. наибольшую опасность представляют скелетные ветви, т.к. даже при развитии ядровой гнили ствол растения остается в вертикальном положении при значительных нагрузках, когда дерево работает по модели «полый цилиндр».
Betula pendula Roth – вид, который часто искусственно внедряется в экосистему города Донецка. Имеет хорошие физико-механические свойства при условии произрастания на экологически чистой территории (рис. 9) и только до достижения критического возраста (не более 50 лет). При действии циклических процессов заморозки/оттаивания (сезонные изменения климата, характерные для региона в последние годы) подвергается необратимым изгибам. Наиболее подвержены необратимой деформации стволы молодых растений I–II возрастных классов с минимальным значением EI (рис. 9).
Рисунок 9 – Отношение жесткости на изгиб (EI) стволов деревьев Betula pendula Roth для разных возрастных классов
При достижении критического возраста для деревьев березы повислой, особенно тех растений, которые произрастают в плотном древостое, происходит снижение жизнеспособности и критической массы, которое способно растение выдержать при действии динамических или статических нагрузок. В результате происходят частые обломы скелетных ветвей или даже стволов растений. Нежелательно присутствие данного вида в первом ряду вдоль автомагистралей с высоким уровнем антропогенной нагрузки.
Заключение
- В качестве биологической интерпретации полученных результатов можно предположить, что на начальных стадиях онтогенеза древесных растений их биомеханика обеспечивает выживание посредством высокой гибкости. Это связано с небольшой критической массой и нагрузкой, которые легко достигаются при действии на растение разных факторов от осадков и ветра до животных и человека. Лишь значительное увеличение линейных размеров позволяет удерживать собственную массу весом в несколько тонн и выше, а также выдерживать действие неблагоприятных климатических факторов.
- Представленные онтогенетические зависимости механической устойчивости основных видов древесных растений в экосистемах города Донецка могут быть использованы для планирования разумного озеленения территории. Так, при озеленении автомагистралей с ограниченным количеством территории рекомендуется использовать пирамидальные формы дуба черешчатого и тополя чёрного, которые обладают высокими физико-механическими показателями и значениями критического возраста в условиях региона.
About the authors
Vladimir Olegovich Kornienko
Donetsk State University
Author for correspondence.
Email: kornienkovo@mail.ru
candidate of biological sciences, head of Research Department, associate professor of Biophysics Department
Russian Federation, DonetskAndrey Stepanovich Yaitsky
Samara State University of Social Sciences and Education
Email: yaitsky@sgspu.ru
senior lecturer of Biology, Ecology and Methods of Teaching Department
Russian Federation, SamaraReferences
- Dahle G.A., Grabosky J.C. Variation in modulus of elasticity (E) along Acer platanoides L. (Aceraceae) branches // Urban Forestry & Urban Greening. 2010. Vol. 9, iss. 3. P. 227–233. doi: 10.1016/j.ufug.2010.01.004.
- Корниенко В.О. Биомеханика ствола Robinia pseudoacacia L. в онтогенезе // Вестник Воронежского государственного университета. Серия: Химия. Биология. Фармация. 2017. № 4. С. 48–50.
- Sellier D., Suzuki S. Age dynamics of wind risk and tree sway characteristics in a softwood plantation // Frontiers in Forests and Global Change. 2020. Vol. 3 (89). doi: 10.3389/ffgc.2020.00089.
- Корниенко В.О., Калаев В.Н. Эколого-биологические особенности и механическая устойчивость древесных растений, используемых в озеленении города Донецка: монография. Воронеж: Изд. дом ВГУ, 2021. 107 с.
- Korniyenko V.O., Kalaev V.N. Impact of natural climate factors on mechanical stability and failure rate in silver birch trees in the city of Donetsk // Contemporary Problems of Ecology. 2022. Vol. 15, iss. 7. P. 806–816. doi: 10.1134/s1995425522070150.
- Nock C.A., Lecigne B., Taugourdeau O., Greene D.F., Dauzat J., Delagrange S., Messier Ch. Linking ice accretion and crown structure: towards a model of the effect of freezing rain on tree canopies // Annals of Botany. 2016. Vol. 117, iss. 7. P. 1163–1173. doi: 10.1093/aob/mcw059.
- Fourcaud T., Blaise F., Lac P., Castera P., de Reffye Ph. Numerical modelling of shape regulation and growth stresses in trees. II. Implementation in the AMAPpara software and simulation of tree growth // Trees. 2003. Vol. 17. P. 31–39. doi: 10.1007/s00468-002-0203-5.
- Coutand C., Fournier M., Moulia B. The gravitropic response of poplar trunks: key roles of prestressed wood regulation and the relative kinetics of cambial growth versus wood maturation // Plant Physiology. 2007. Vol. 144, iss. 2. P. 1166–1180. doi: 10.1104/pp.106.088153.
- Almeras T., Fournier M. Biomechanical design and long-term stability of trees: morphological and wood traits involved in the balance between weight increase and the gravitropic reaction // Journal of Theoretical Biology. 2009. Vol. 256, iss. 3. P. 370–381. doi: 10.1016/j.jtbi.2008.10.011.
- Jaffe M.J. Thigmomorphogenesis: the response of plant growth and development to mechanical stimulation // Planta. 1973. Vol. 114. P. 143–157. doi: 10.1007/bf00387472.
- Telewski F.W. Is windswept tree growth negative thigmotropism? // Plant Science. 2012. Vol. 184. P. 20–28. doi: 10.1016/j.plantsci.2011.12.001.
- Theckes B., Boutillon X., de Langre E. On the efficiency and robustness of damping by branching // Journal of Sound and Vibration. 2015. Vol. 357. P. 35–50. doi: 10.1016/j.jsv.2015.07.018.
- Ulbrich U., Pinto J.G., Kupfer H., Leckebusch G.C., Spangehl T., Reyers M. Changing northern hemisphere storm tracks in an ensemble of IPCC climate change simulations // Journal of Climate. 2008. Vol. 21. P. 1669–1679. doi: 10.1175/2007jcli1992.1.
- Gastineau G., Soden B.J. Model projected changes of extreme wind events in response to global warming // Geophysical Research Letters. 2009. Vol. 36, iss. 10. doi: 10.1029/2009gl037500.
- Корниенко В.О., Калаев В.Н. Влияние природно-климатических факторов на механическую устойчивость и аварийность деревьев березы повислой в г. Донецке // Лесоведение. 2022. № 3. С. 321–334.
- Алексеев В.А. Диагностика жизненного состояния деревьев и древостоев // Лесоведение. 1989. № 4. С. 51–57.
- Niklas K.J., Spatz H.-C. Worldwide correlations of mechanical properties and green wood density // American Journal of Botany. 2010. Vol. 97, iss. 10. P. 1587–1594. doi: 10.3732/ajb.1000150.
- Корниенко В.О. Ретроспективный анализ антропогенного загрязнения города Донецка. Вибрационно-акустическое зашумление // Вестник Донецкого национального университета. Серия А: Естественные науки. 2024. № 1. С. 93–100. doi: 10.5281/zenodo.12532574.
- Корниенко В.О., Яицкий А.С. Жизнеспособность древесных растений в условиях зашумления городской территории (на примере г. Донецка) // Естественные и технические науки. 2022. № 12 (175). С. 166–170.
- Корниенко В.О., Яицкий А.С. Экологические последствия шумового загрязнения города Донецка // Современная наука: актуальные проблемы теории и практики. Серия: Естественные и технические науки. 2022. № 11–2. С. 28–34.
- Nakao H., Kim S., Mataki Y., Fujimoto N. Factorial analysis of forest damage by T9117 and T9119 // Bulletin of the Kyushu University Forests. 1993. Vol. 68. P. 11–48.
- Abe T. Factorial Analysis of Forest Damage Occurred in the Oji Paper Company in Tomakomai City and Hazard Map // 18th Report of Forest Wind Damage Analysis by RemoteSensing: A Damage Survey for 2004 Typhoon. 2005. P. 51–54.
- Sato H., Abe T. Factorial analysis of forest damage by T0418 // Kosyunaikiho. 2006. Vol. 143. P. 7–11.
- Корниенко В.О., Калаев В.Н., Харченко Н.Н. Механическая устойчивость старовозрастных деревьев Quercus robur L. в условиях города Донецка // Ученые записки Крымского федерального университета имени В.И. Вернадского. Биология. Химия. 2021. Т. 7, № 4. С. 60–68.
- Netsvetov M., Sergeyev M., Nikulina V., Korniyenko V., Prokopuk Yu. The climate to growth relationships of pedunculate oak in steppe // Dendrochronologia. 2017. Vol. 44. P. 31–38. doi: 10.1016/j.dendro.2017.03.004.
- Корниенко В.О., Нецветов М.В. Влияние отрицательных температур на механическую устойчивость дуба красного (Quercus rubra L.). // Промышленная ботаника. 2013. Вып. 13. С. 180–186.
- Филимонова Л.В. Биоэкологическое обоснование применения пирамидальной формы дуба черешчатого в благоустройстве и озеленении городов // Актуальные проблемы лесного комплекса. 2008. № 21 (3). С. 169–172.
- Дерев'янко В.М., Левон Ф.М. Гледичія на Півдні України. Киев: ННЦ ІАЕ, 2007. 148 с.
- Корниенко В.О., Калаев В.Н. Эколого-морфологические и биомеханические особенности Gleditsia triacanthos L. в условиях антропогенного загрязнения города Донецка // Вестник Воронежского государственного университета. Серия: Химия. Биология. Фармация. 2018. № 2. С. 143–151.
Supplementary files











