Vegetation and biotopes of the regional botanical natural monument «Kashtak Pine Forest» (Sosnovskiy District of Chelyabinsk Oblast)
- Authors: Nazarenko N.N.1
-
Affiliations:
- South Ural State Humanitarian Pedagogical University
- Issue: Vol 11, No 4 (2022)
- Pages: 85-90
- Section: Biological Sciences
- URL: https://snv63.ru/2309-4370/article/view/321444
- DOI: https://doi.org/10.55355/snv2022114112
- ID: 321444
Cite item
Full Text
Abstract
The vegetation and biotopes of the regional botanical natural monument «Kashtak Pine Forest» have been characterized in this paper. By multivariate statistics and a dominant approach 13 pine and birch-pine plant associations have been identified. But in most cases the associations are detected by dominance or co-dominance of Fragaria vesca L. in the herbage in spite of high biodiversity. The difference of associations is identified by shrub species dominance mainly. The biotopes of the regional botanical natural monument «Kashtak Pine Forest» are not characterized by principal abiotic factors of high variation while the differences are determined by coenotic factors. The classification of Kashtak Pine Forest biotopes is identified by soil acidity and soil nitrogen regimes in the first place. For «Kashtak Pine Forest» three ordination axes have been detected: 1) boreal pine forests of Boreal zone, 2) temperate pine and birch-pine forests of Temperate Forest and Forest-Steppe zones and 3) axe of soil moistening and cryoregime. Three coenotic series have also been detected: hydrosere of Fragaria vesca associations and two trophoseries of boreal pine forests of Boreal zone. These series form an integrated biotopical sere and succession of South-Urals pine forests from temperate forest-steppe pine forests to boreal pine forests of Boreal zone.
Full Text
Введение
Ленточные боры Челябинской области являются уникальными островными лесными сообществами, являющимися реликтами плейстоценовой перигляциальной лесостепи. Детально комплексные исследования биотопов и флоры этих боров, условия их формирования и начавшиеся процессы антропогенной трансформации были проведены во второй половине XX века [1].
Одним из представителей этих боров является Каштакский бор, расположенный на северо-восточной окраине г. Челябинска (Сосновский район области), на правом берегу р. Миасс. Бор является региональным ботаническим памятником природы, имеющим особо важное средозащитное, водоохранное, санитарно-гигиеническое, оздоровительное и рекреационное значение [2].
Каштакский бор является базой для экологического образования, эко-просвещения и эко-деятельности школьников города [3]. Близость к городу и возможность использования бора в качестве базы для научно-исследовательской работы обусловило современные его исследования – онтогенетической структуры ценопопуляций и особенностей экологических ниш видов флоры по фитоиндикационным шкалам [4; 5], орнитофауны [6] и энтомофауны [7; 8].
В настоящий момент бор активно подвержен влиянию выбросов металлургического производства от расположенных в г. Челябинске промышленных предприятий, что негативно сказывается на его растительности. Помимо этого необходимо отметить возросшую антропогенную нагрузку на прилегающие к городу территории бора, а также частичное разрешение лесохозяйственных мероприятий и пастьбы скота в пределах бора, что тоже может негативно отразиться на растительности и биотопах в условиях мощного техногенного воздействия. Также идет процесс отчуждения части территории в связи со строительством гаражей и других объектов [9].
Одни из последних оценок на основании геоботанических исследований и использования методов дистанционного зондирования показали, что деградация лесных сообществ бора происходят преимущественно вблизи Челябинска, поселка Каштак и по берегам реки Миасс (в южной и юго-западной части бора) [10]. В целом территория бора характеризуется слабоизмененным и преобразованными ландшафтами, нарушенными на уровне средней степени антропогенного воздействия, а ценозы бора – угнетенным состоянием, что в целом вызывает сукцессионные изменения в результате того, что бор не справляется с антропогенной нагрузкой [10].
Таким образом, растительность и биотопы Кашатакского бора, несмотря на имеющиеся исследования и в связи с активной антропогенной трансформацией, являются недостаточно изученными. Задачей данной работы является оценка растительности и биотопов регионального ботанического памятника природы «Каштакский бор» (Сосновский район Челябинской области).
Объект и методы
Геоботанические исследования на территории Каштакского бора проводились в летний период 2021 г. студенткой естественно-технологического факультета Южно-Уральского государственного гуманитарно-педагогического университета Гудковой Антониной Сергеевной, в рамках выполнения выпускной квалификационной работы под научным руководством автора настоящей статьи. Пробные площадки закладывались и описывались согласно общепринятой методике. Всего проведено 50 геоботанических описаний с учетом максимально возможного охвата ненарушенных сообществ бора. Кластеризация описаний в сформированной базе данных на основе коэффициента Сёренсена–Чекановского выполнялась с группировкой по бета-гибкой стратегии Ланса [11; 12]. Ординация описаний проведена методом неметрического многомерного шкалирования [12; 13]. В дальнейшем растительные ассоциации выделялись на основе доминантного подхода, апробированного на примере растительности Челябинского городского бора [14]. Фитоиндикация биотопов выполнялась по унифицированным экологическим шкалам почвенного увлажнения (hd) и его переменности (fh), солевого (sl), азотного (nt) и кислотного (rc), режимов, режима кальция (Са) и почвенной аэрации (аe), термо- (tm), омбро- (оm) и криоклимата (Cr), континентальности (Kn) и освещенности (lc) [15]. Проверка классификации растительности и оценка выделенных биотопов в режимах экологических факторов и осях ординации проводилась методами дискриминантного анализа [11] по алгоритму General Discriminant Analysis (GDA). Оси дискриминантного анализа и многомерного шкалирования сопоставлялись с показателями режимов ведущих экологических факторов методом непараметрической корреляции [16] с использованием коэффициента тау-Кэндалла.
Все расчеты выполнялись в пакетах прикладных программ Microsoft Excel, Statistica и PC-ORD.
Результаты и обсуждение
Всего в описаниях были определены 94 вида сосудистых растений, выверенных по списку видов флоры Челябинской области [17]. В период геоботанических исследований была обнаружена неоттианта клобучковая (Neottianthe cucullata (L.) Schlechter) – редкий вид (EN – вид, находящийся в опасном состоянии), статус. III категория, занесенный в Красную книгу Челябинской области [18].
Изученные растительные сообщества Каштакского бора по материалам описаний характеризуются достаточно высоким видовым разнообразием – характерны преимущественно 14-видовые растительные сообщества с колебаниями от 5-видовых до 25-видовых, но сообщества менее 10 видов встречаются довольно редко.
Кластеризация геоботанических описаний и анализ доминант растительного покрова показал, что большинство сообществ бора представляют собой сосняки, в которых Fragaria vesca L. является доминантным либо содоминантным видом. Отличия зачастую определяются доминантами кустарникового яруса, преимущественно, Cotoneaster melanocarpus Fisch. ex Blytt и Rubus idaeus L. Соответственно, для Каштакского бора характерны следующие ассоциации:
1) березо-сосняки кизильниково-малиново-мужскопапоротниково-земляничные (Pinus sylvestris L. + Betula pendula Roth – Cotoneaster melanocarpus Fisch. ex Blytt + Rubus idaeus L. – Dryopteris filix-mas (L.) Schott + Fragaria vesca L.), характеризуется двумя доминантами кустарникового яруса и травостоя с близкими показателями обилия;
2) сосняки земляничные (Pinus sylvestris L. – Fragaria vesca L.), для древесного яруса характерно внедрение адвентивного вида Acer negundo L.;
3) сосняки шиповниково-земляничные (Pinus sylvestris L. – Rosa acicularis Lindl. – Fragaria vesca L.), второй древесный ярус фрагментарный из Sorbus aucuparia L., а в кустарниковом также встречается Frangula alnus Mill.;
4) сосняки кизильниково-малиново-земляничные (Pinus sylvestris L. – Cotoneaster melanocarpus Fisch. ex Blytt + Rubus idaeus L. – Fragaria vesca L.), для фрагментарного второго древесного яруса характерна Sorbus aucuparia, а травостоя – Polygonatum odoratum (Mill.) Druce;
5) сосняки брусничные (Pinus sylvestris L. – Rhodococcum vitis-idaea (L.) Avrorin), во втором ярусе представлена Sorbus aucuparia, а в травостое высокими показателями обилия и проективного покрытия характеризуются Fragaria vesca, Vaccinium myrtillus L., Galium boreale L., Polygonatum odoratum и Rubus saxatilis L., ассоциация является местообитанием Neottianthe cucullata;
6) сосняки костяничные (Pinus sylvestris L. – Rubus saxatilis L.), второй ярус представлен Sorbus aucuparia, а в травостое высокими величинами обилия характеризуются Fragaria vesca и Polygonatum odoratum;
7) березо-сосняки малиново-кизильниково-костянично-земляничные (Pinus sylvestris L. + Betula pendula Roth – Rubus idaeus L. + Cotoneaster melanocarpus Fisch. ex Blytt – Rubus saxatilis L. – Fragaria vesca L.);
8) сосняки малиново-костянично-земляничные (Pinus sylvestris L. – Rubus idaeus L. – Rubus saxatilis L. + Fragaria vesca L.);
9) сосняки малиново-костянично-земляничные (Pinus sylvestris L. – Rubus idaeus L. – Rubus saxatilis L. + Fragaria vesca L.) с Acer negundo в первом и Sorbus aucuparia во втором древесных ярусах, в травостое обильным является Polygonatum odoratum;
10) сосняки караганово-костянично-земляничные (Pinus sylvestris L. – Caragana frutex (L.) K. Koch – Rubus saxatilis L. + Fragaria vesca L.), в травостое обильным является Polygonatum odoratum;
11) сосняки караганово-малиново-костянично-земляничные (Pinus sylvestris L. – Caragana frutex (L.) K. Koch + Rubus idaeus L. – Rubus saxatilis L. + Fragaria vesca L.), в травостое обильным является Polygonatum odoratum;
12) березо-сосняки малиново-земляничные (Pinus sylvestris L. + Betula pendula Roth – Rubus idaeus L. – Fragaria vesca L.), также характеризуются широким внедрением Acer negundo в первый древесный ярус и Sorbus aucuparia во втором ярусе, в травостое обильным является Polygonatum odoratum;
13) березо-сосняки кизильниково-малиново-черничные (Pinus sylvestris L. + Betula pendula Roth – Cotoneaster melanocarpus Fisch. ex Blytt + Rubus idaeus L. – Vaccinium myrtillus L.), ассоциация является местообитанием Neottianthe cucullata.
Биотопическая специфичность выделенных ассоциаций подтверждается методом GDA в рассчитанных по унифицированным фитоиндикационным шкалам режимах ведущих экологических факторов – правильность классификации 100%. Ведущими факторами дискриминации были функции неметрического шкалирования (ценотические факторы) и режимы кислотности почв и содержания в почве азота. В целом же для биотопов Каштакского бора большинство режимов ведущих абиотических факторов колеблются незначительно (табл. 1) в пределах одного типа режима фактора.
Таблица 1 – Характеристика биотопов сосняков Каштакского бора, балл
Ассоциация | Режим биотопа | |||||||||||
hd | fh | rc | sl | Ca | nt | ae | tm | om | Kn | Cr | lc | |
1 | 11,5 | 5,6 | 7,2 | 6,4 | 6,8 | 5,5 | 6,5 | 8,4 | 13,3 | 8,8 | 7,9 | 6,5 |
2 | 11,7 | 6,3 | 7,3 | 6,3 | 7,0 | 5,6 | 6,4 | 8,2 | 13,5 | 8,7 | 7,8 | 7,0 |
3 | 11,3 | 5,7 | 7,5 | 6,2 | 7,1 | 5,7 | 6,4 | 8,2 | 13,2 | 9,2 | 7,7 | 6,4 |
4 | 11,5 | 5,9 | 7,3 | 6,3 | 7,3 | 5,3 | 6,6 | 8,1 | 13,2 | 9,0 | 7,6 | 6,5 |
5 | 11,3 | 5,9 | 7,0 | 6,1 | 6,5 | 5,0 | 6,3 | 7,8 | 13,5 | 8,8 | 7,4 | 6,3 |
6 | 11,3 | 6,1 | 7,5 | 6,4 | 6,6 | 5,3 | 6,5 | 8,0 | 13,4 | 8,5 | 7,7 | 6,3 |
7 | 11,4 | 6,0 | 7,7 | 6,4 | 6,7 | 5,4 | 6,3 | 8,0 | 13,3 | 8,8 | 7,6 | 6,5 |
8 | 11,3 | 6,1 | 7,5 | 6,6 | 6,8 | 5,3 | 6,2 | 8,0 | 13,2 | 8,9 | 7,5 | 6,6 |
9 | 11,4 | 6,2 | 7,6 | 6,7 | 6,9 | 5,4 | 6,3 | 8,0 | 13,3 | 8,8 | 7,7 | 6,6 |
10 | 10,7 | 6,4 | 7,6 | 6,8 | 7,2 | 5,2 | 6,1 | 8,3 | 13,0 | 9,3 | 7,7 | 6,9 |
11 | 11,6 | 6,1 | 7,3 | 6,5 | 6,6 | 5,8 | 6,4 | 8,1 | 13,3 | 9,0 | 7,6 | 6,4 |
12 | 11,1 | 6,3 | 7,6 | 6,6 | 7,2 | 5,7 | 6,4 | 8,3 | 13,3 | 8,7 | 7,9 | 6,7 |
13 | 11,6 | 5,6 | 6,9 | 6,2 | 6,3 | 5,3 | 6,7 | 7,9 | 13,6 | 8,7 | 7,4 | 5,8 |
Фитоиндикацией определяются следующие режимы ведущих абиотических факторов:
– почвенное увлажнение свежего мезофильного типа с полным промачиванием корнеобитаемого слоя почвы атмосферными осадками и талыми водами, наименьшие величины (переходные к свежеватому типу) характерны для сосняков караганово-костянично-земляничных;
– переменность почвенного увлажнения умеренно равномерная;
– кислотность почв от среднекислых (березо-сосняки черничные) к слабокислым (большинство биотопов) и близким к нейтральным (березо-сосняки малиново-кизильниково-костянично-земляничные);
– солевой режим соответствует режиму небогатых солями (большинство биотопов) и переходных к достаточно богатым (сосняки караганово-костянично-земляничные) солями почв;
– для биотопов характерно отсутствие либо незначительное (сосняки кизильниково-малиново-земляничные) содержание почвенного кальция;
– почвы биотопов характеризуются как бедные минеральным азотом (0,2–0,3%);
– почвы биотопов определяются как умеренно аэрированные с полным промачиванием корнеобитаемого слоя почвы;
– терморежим близкий к субмезотермному типу, омброрежим (атмосферные осадки) пергумидного типа, климат гемиконтинентальный при умеренно холодных зимах (−14…−10°С);
– режим освещенности – от полутеневого (березо-сосняки черничные) до полуосветленного (сосняки земляничные) типа экологической структуры (по А.Л. Бельгарду [19]).
Неметрическое многомерное шкалирование биотопов по показателям стресса определяет три оси ординации, при этом наблюдается сложный характер взаимосвязи первых двух осей с режимами ведущих абиотических факторов (табл. 2). Первая ось по эдафическим режимам определяется снижением режима почвенного кальция и азота и снижением аэрации почв (нарастание содержания физической глины и снижение порозности) и ростом переменности увлажнения почв, а по климатическим – падением терморежима и уменьшением амплитуды колебаний температур (континентальности). Это трофосерия сосновых боров климатопов бореальной лесной зоны. Вторая ось характеризуется более сложными взаимосвязями с эдафическими факторами – нарастание сухости, переменности увлажнения и кислотности почв с ростом содержания в почве кальция и снижением аэрации почв. С учетом того, что по климатическим режимам вторая ось связана с увеличением термоклиматических характеристик и снижением показателей омброклимата (нарастание сухости), ее можно охарактеризовать как трофосерию боров (сосняков и березо-сосняков) климатопов умеренной лесной и лесостепной зоны. Третья ось – рост почвенного увлажнения и криорежима.
Таблица 2 – Идентификация осей многомерного шкалирования биотопов сосняков Каштакского бора
Оси | Режим биотопа | |||||||||||
hd | fh | rc | sl | Ca | nt | ae | tm | om | Kn | Cr | lc | |
NMS 1 | −0,15 | 0,24 | 0,03 | 0,16 | −0,34 | −0,29 | −0,19 | −0,40 | 0,17 | −0,25 | −0,19 | −0,15 |
NMS 2 | −0,22 | 0,25 | 0,23 | 0,15 | 0,48 | −0,06 | −0,23 | 0,23 | −0,27 | 0,19 | 0,16 | 0,40 |
NMS 3 | 0,22 | 0,04 | 0,11 | 0,16 | 0,02 | −0,02 | −0,02 | 0,12 | −0,05 | −0,08 | 0,20 | 0,17 |
Примечание. Полужирным выделены статистически значимые величины тау-Кендалла.
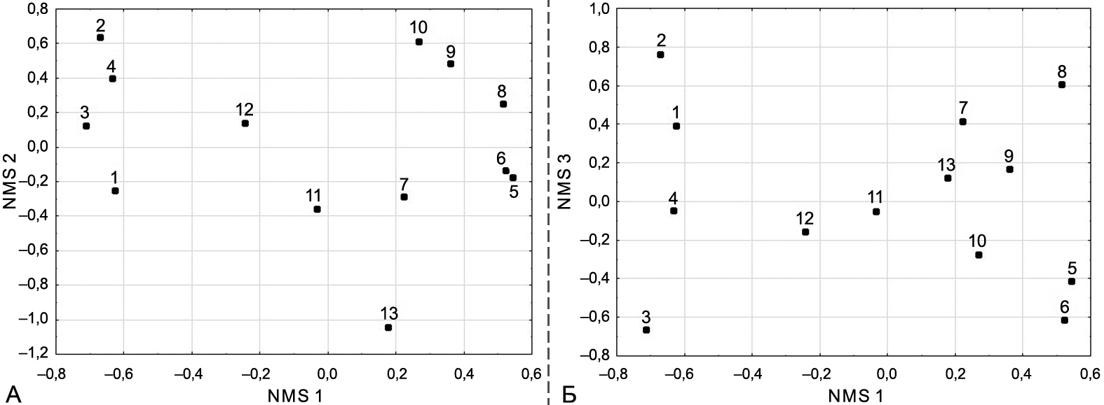
Ценотическая ординация в трех осях неметрического многомерного шкалирования (NMS) показала наличие трех ценотических рядов (рис. 1).
Рисунок 1 – Ординация растительности сосняков Каштакского бора в осях неметрического многомерного шкалирования (А – NMS 1 и NMS 2; Б – NMS 1 и NMS 3)
Первый ряд (рис. 1: А и Б – слева) – гидросерия земляничников без участия костяники. Второй ряд ценотического замещения (рис. 1: А – в центре сверху вниз; рис. 1: Б – в центре слева направо) – бореальная трофосерия малиновых костянично-земляничников к соснякам черничным, связанная в первую очередь с режимами кислотности и азотным почв. Третий ряд (рис. 1: А и Б – справа) – бореальная трофосерия и гидросерия костянично-земляничников к соснякам брусничным. Вторая и третья серии – классические сукцессионные ряды бореальных сосняков.
В эколого-ценотическом пространстве ординация биотопов ассоциаций растительности выполнялись по матрице квадрата расстояния Махаланобиса методом максимального корреляционного пути [20] (рис. 2: А) и в пространстве первых двух дискриминантных функций (рис. 2: Б). Ординация в эколого-ценотическом пространстве показала единый ряд биотопического и ценотического замещения сосняков Каштакского бора с тремя биотопическими «центрами» (рис. 2: А). С одной стороны ряда находятся мезофильные сосняки земляничные (2) полуосветленной экологической структуры, являющиеся, вероятно, типичными для лесостепных сосновых боров Южного Урала. Следующей стадии являются сосняки малиново-костянично-земляничные (8) и их антропогенно нарушенный вариант с Acer negundo, формирующие первый биотопический «центр» ряда замещения. Далее через кизильниковые (7) и карагановые малиново-костянично-земляничные ценозы боры ряд переходит ко второму, слабо выраженному, биотопическому «центру» малиново-земляничных березо-сосняков (12) и сосняков караганово-костянично-земляничных (10). От него прослеживаются два варианта ряда замещения: 1) через мужскопапоротниково-земляничных (1) к черничным березо-соснякам (13) и 2) к третьему биотопическому «центру» сосняков костяничных (6) и брусничных (5). Последний «центр», судя по всему, является типичным для боров Южного Урала бореального типа.
Рисунок 2 – Ординация биотопов ассоциаций сосняков Каштакского бора: А – методом максимального корреляционного пути (цифрами указан квадрат расстояния Махаланобиса); Б – в первых осях дискриминантных функций (Root_1, Root_2)
В пространстве первых двух дискриминантных функций (рис. 2: Б) этот единый ряд также хорошо прослеживается, в том числе видно, как выделенные ранее ценотические ряды (рис. 1) входят в единую систему ряда биотопического замещения. Таким образом, полученный ряд биотопического и ценотического замещения, состоящий из трех ценотических рядов и трех биотопических «центров» является и одним из сукцессионных рядов южно-уральских сосновых боров от сосняков лесостепных умеренного климата к бореальным соснякам лесной зоны.
Выводы
Таким образом, проведено геоботаническое обследование территории регионального ботанического памятника природы «Каштакский бор». Лесные сообщества Каштакского бора характеризуются высоким растительным разнообразием и небольшим количеством доминантных и содоминантных видов травостоя и кустарникового яруса.
Для Каштакского бора методами многомерной статистики выделено 13 сосновых и березово-сосновых ассоциаций, большинство которых являются ассоциациями земляничными, отличающимися доминантами кустарникового яруса, либо ассоциациями с содоминированием земляники. При этом выделенные ассоциации характеризуются биотопами, специфичными по режимам экологических факторов и ценотической структуре. Установлены ассоциации, характерные для местопроизрастания Neottianthe cucullata (L.) Schlechter, обнаруженного в период геоботанических исследований вида, занесенного в Красную книгу Челябинской области, что, по нашему мнению, подтверждает правомерность статуса изучаемой территории как регионального ботанического памятника природы.
Лесорастительные условия Каштакского бора однообразные, показатели режимов абиотических факторов варьируют в пределах одного типа режима, различия определяются в первую очередь ценотическими особенностями растительного покрова, ведущими факторами дискриминации лесных биотопов являются режимы кислотности почв и содержания в почве азота.
Методами многомерной статистики с оценкой ведущих абиотических факторов установлено наличие трех осей ординации растительности Каштакского бора: сосновых боров бореальной лесной зоны, сосняков и березо-сосняков умеренной лесной и лесостепной зоны и ряд роста почвенного увлажнения и криорежима. Наблюдается сложный характер взаимосвязи ценотической структуры боров с режимами ведущих абиотических факторов, который определяет три ценотические серии: гидросерия земляничников без участия костяники, бореальная трофосерия малиновых костянично-земляничников к соснякам черничным и бореальная трофосерия и гидросерия костянично-земляничников к соснякам брусничным. Выделенные ценотические серии формируют единый ряд биотопического и ценотического замещения сосняков Каштакского бора с тремя биотопическими «центрами». Крайние в серии «центры» идентифицируются как сосняки земляничные и сосняки костяничные и брусничные, образуя между собой сукцессионный ряд южноуральских сосновых боров от сосняков лесостепных умеренного климата к бореальным соснякам лесной зоны.
Благодарность
Автор выражает благодарность А.С. Гудковой за помощь в сборе полевого материала.
About the authors
Nazar Nikolayevich Nazarenko
South Ural State Humanitarian Pedagogical University
Author for correspondence.
Email: nnazarenko@hotmail.com
doctor of biological sciences, professor of Chemistry, Ecology and Chemistry Methodology Department
Russian Federation, ChelyabinskReferences
- Самарин В.П., Волгин А.М. Ленточные боры Челябинской области и некоторые вопросы их сохранения // Флора и растительность Урала и пути их охраны: сб. ст. / отв. ред. А.Г. Чуйков. Челябинск: ЧГПИ, 1983. С. 15–21.
- Потапова Н.А., Назырова Р.И., Забелина Н.М., Исаева-Петрова Л.С., Коротков В.Н., Очагов Д.М. Сводный список особо охраняемых природных территорий Российской Федерации (справочник). Ч. II / отв. ред. Д.М. Очагов. М.: ВНИИприроды, 2006. 364 с.
- Скрипова Н.Е., Коржова Н.Б. Характеристика психолого-педагогических механизмов становления у школьников уважительного отношения к производительному труду с использованием потенциала школьного лесничества в условиях мегаполиса // Казанский педагогический журнал. 2019. № 2 (133). С. 81–85.
- Гетманец И.А., Левченко П.В. Экологическая оценка некоторых растительных сообществ Каштакского бора – памятника природы Челябинской области // Труды IX междунар. конф. по экологической морфологии растений, посв. памяти Ивана Григорьевича и Татьяны Ивановны Серебряковых (к 100-летию со дня рожд. И.Г. Серебрякова). Т. 1 / под общ. ред. В.П. Викторова. М., 2014. С. 135–138.
- Левченко П.В., Гетманец И.А. Оценка экологической валентности видов основных эколого-ценотических групп сообществ Каштакского бора – памятника природы Челябинской области // Вестник Пензенского государственного университета. 2016. № 1 (13). С. 81–85.
- Гашек В.А., Красуцкий Б.В., Рябицев А.В. Итоги орнитологических исследований в степных и лесостепных районах Челябинской области в 2018 году // Фауна Урала и Сибири. 2019. № 1. С. 128–141. doi: 10.24411/2411-0051-2019-10112.
- Красуцкий Б.В., Гашек В.А. Некоторые итоги мониторинга охраняемых и редких видов беспозвоночных Челябинской области // Фауна Урала и Сибири. 2020. № 1. С. 18–26. doi: 10.24411/2411-0051-2020-10103.
- Красуцкий Б.В. Первые данные по фауне булавоусых чешуекрылых памятника природы «Каштакский бор» (Челябинская область) // Фауна Урала и Сибири. 2020. № 2. С. 37–45.
- Рубцова И.Д., Рубцов П.И. Перспективы развития системы озеленения // Международный научный журнал «Символ науки». 2017. № 5. С. 70–71.
- Ищенко А.И. Оценка экологического состояния Каштакского бора на основе комплексного физико-географического описания с применением данных дистанционного зондирования // Степи Северной Евразии: мат-лы IX междунар. симпозиума / под науч. ред. А.А. Чибилёва. Оренбург: ОГУ, 2021. С. 341–343. doi: 10.24412/cl-36359-2021-341-343.
- Ханина Л.Г., Смирнов В.Э., Бобровский М.В. Новый метод анализа лесной растительности с использованием многомерной статистики (на примере заповедника «Калужские засеки») // Бюллетень Московского общества испытателей природы. Отдел биологический. 2002. Т. 107, вып. 1. С. 40–48.
- McCune B., Grace J.B. Analysis of ecological communities. MjM SoftWare Design, 2002. 300 p.
- Legendre L., Legendre P. Numerical ecology. Amsterdam: Elsevier Science B.V., 1998. 853 p.
- Назаренко Н.Н., Новгородова М.Д. Эколого-ценотическая структура растительности памятника природы «Челябинский городской бор» // Самарский научный вестник. 2019. Т. 8, № 2 (27). С. 38–44. doi: 10.17816/snv201982107.
- Didukh Ya.P. The ecological scales for the species of Ukrainian flora and their use in synphytoindication. Kiev: Phytosociocentre, 2011. 176 p.
- Persson S. Ecological indicator values as an aid in the interpretation of ordination diagrams // Journal of Ecology. 1981. Vol. 69, № 1. P. 71–84.
- Куликов П.В. Конспект флоры Челябинской области (сосудистые растения). Екатеринбург–Миасс: Геотур, 2005. 537 с.
- Меркер В.В., Снитько Л.В. Неоттианта клобучковая Neottianthe cucullata (L.) Schlechter // Красная книга Челябинской области. Животные. Растения. Грибы. М.: Реарт, 2017. С. 271.
- Бельгард А.Л. Степное лесоведение. М.: Лесная промышленность, 1971. 321 с.
- Терентьев П.В. Метод корреляционных плеяд // Вестник Ленинградского государственного университета. 1959. № 9. С. 137–141.



